免费智能真题库 > 历年试卷 > 系统架构设计师 > 2021年下半年 系统架构设计师 下午试卷 案例
  第3题      
  知识点:   功能描述   注册

 
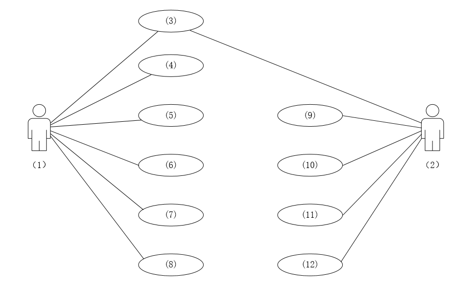
某医院拟委托软件公司开发一套预约挂号管理系统,以便为患者提供更好的就医体验,为医院提供更加科学的预约管理。本系统的主要功能描述如下:(a)注册登录,(b)信息浏览,(c)账号管理,(d)预约挂号,(e)查询与取消预约,(F)号源管理,(g)报告查询,(h)预约管理,(i)报表管理和(j)信用管理等。

 
问题:3.1    (6 分)
若采用面向对象方法对预约挂号管理系统进行分析,得到如图2-1所示的用例图。请将合适的参与者名称填入图2-1中的(1)和(2)处,使用题干给出的功能描述(a)~(j),完善用例(3)~(12)的名称,将正确答案填在答题纸上。

 
问题:3.2    (10分)
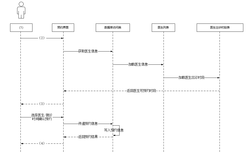
预约人员(患者)登录系统后发起预约挂号请求,进入预约界面。进行预约挂号时使用数据库访问类获取医生的相关信息,在数据库中调用医生列表,并调取医生出诊时段表,将医生出诊时段反馈到预约界面,并显示给预约人员;预约人员选择医生及就诊时间后确认预约,系统反馈预约结果,并向用户显示是否预约成功。
采用面向对象方法对预约挂号过程进行分析,得到如图2-2所示的顺序图,使用题干中给出的描述,完善图2-2中对象(1),及消息(2)~(4)的名称,将正确答案填在答题纸上,请简要说明在描述对象之间的动态交互关系时,协作图与顺序图存在哪些区别。

 
问题:3.3    (9分)
采用面向对象方法开发软件,通常需要建立对象模型、动态模型和功能模型,请分别介绍这3种模型,并详细说明它们之间的关联关系,针对上述模型,说明哪些模型可用于软件的需求分析?
 
 
 

   知识点讲解    
   · 功能描述    · 注册
 
       功能描述
        与PC端一样,移动端登录是商务活动不可或缺的功能。用户应用社交、电商、金融等App必须进行注册登录,如微信、QQ、支付宝、淘宝、美团等。移动端用户账号登录注册主要有几种形式:第三方账号、手机号、邮箱。
        (1)第三方账号(QQ、微信、微博等)。使用第三方账号优势是用户操作简单,方便用户快速的体验产品;其缺点是通过第三方平台获取到的用户信息太少,手机没有安装对应App时,通过网页进行登录认证需要输入账号密码,复杂度很高。移动端第三方登录模块的基本功能如下图所示。
        
        移动第三方登录模块基本流程图
        (2)手机号注册登录。通过手机获取验证码(短信),验证后设置密码进行注册;登录时使用手机号和密码登录。获取验证码的优点是可以很大程度上防止恶意注册,可以导入通讯录关系而且用户不需要记忆成本;其缺点是短信验证码需要成本,用户隐私可能泄露,手机号丢失后找回复杂。移动端手机号注册登录模块的基本功能如下图所示。
        
        移动手机号注册登录模块基本流程图
        (3)邮箱登录注册。邮箱登录验证成本低,对用户来说隐私性更好,但是移动端邮箱输入复杂,验证不方便,普及率不高普及率高。
 
       注册
        移动IP通信的第二个阶段是注册。当移动主机已经移动到外地网络并且已经发现了外地代理后,就必须注册。关于注册涉及以下3点:
        (1)移动主机必须向外地代理注册。
        (2)如果截止期到了,移动主机必须重新注册。
        (3)如果移动主机离开某个外地网络,则必须注销。
        具体步骤是:移动主机把注册请求发送给外地代理,并把归属地址和归属地代理地址发送给外地代理。外地代理收到这些信息后,把这些信息转发给移动主机的归属地代理以认证上述信息,如果认证通过,那么移动主机就在外地代理这里注册成功。同时,移动主机的归属地代理也知道了外地代理的地址(转交地址)。
   题号导航      2021年下半年 系统架构设计师 下午试卷 案例   本试卷我的完整做题情况  
1 /
2 /
3 /
4 /
 
第3题    在手机中做本题