免费智能真题库 > 历年试卷 > 系统架构设计师 > 2024年下半年 系统架构设计师 上午试卷 综合知识
  第19题      
  知识点:   时间管理
  关键词:   可用性        章/节:   开发管理       

 
()不属于可用性。
 
 
  A.  可用时间
 
  B.  可用时间间隔
 
  C.  数据延迟时间
 
  D.  故障间隔
 
 
 

  相关试题:开发管理          更多>  
 
  第61题    2012年下半年  
   43%
某公司欲开发一个在线交易系统,在架构设计阶段,公司的架构师识别出3个核心质量属性场景。其中“在并发用户数量为1000人时..
  第23题    2010年下半年  
   36%
项目时间管理包括使项目按时完成所必需的管理过程,活动定义是其中的一个重要过程。通常可以使用(23)来进行活动定义。
  第22题    2011年下半年  
   40%
软件产品配置是指一个软件产品在生存周期各个阶段所产生的各种形式和各种版本的文档、计算机程序、部件及数据的集合。该集合的每..
   知识点讲解    
   · 时间管理
 
       时间管理
        在给定的时间内完成项目是项目的重要约束性目标,能否按进度交付是衡量项目是否成功的重要标志。因此,进度控制是项目控制的首要内容,是项目的灵魂。同时,由于项目管理是一个带有创造性的过程,项目不确定性很大,进度控制是项目管理中的最大难点。
                      活动排序
                      在项目中,一个活动的执行可能需要依赖于另外一些活动的完成,也就是说它的执行必须在某些活动完成之后,这就是活动的先后依赖关系。一般说来,依赖关系的确定应首先分析活动之间本身存在的逻辑关系,在此逻辑关系确定的基础上再加以充分分析,以确定各活动之间的组织关系,这就是活动排序。
                             前导图法
                             前导图法(Precedence Diagramming Method,PDM)也称为单代号网络图法(Active on the Node,AON),即一种用方格或矩形(结点)表示活动,并用表示依赖关系的箭线将结点连接起来的一种项目网络图的绘制法。在PDM中,每项活动有唯一的活动号,每项活动都注明了预计工期。每个结点的活动有最早开始时间(ES)、最迟开始时间(LS)、最早结束时间(EF)和最迟结束时间(LF)。PDM结点的几种表示方法如下图所示。
                             
                             结点表示法
                             PDM包括4种依赖关系或先后关系:
                             .完成对开始(FS):后一活动的开始要等到前一活动的完成。
                             .完成对完成(FF):后一活动的完成要等到前一活动的完成。
                             .开始对开始(SS):后一活动的开始要等到前一活动的开始。
                             .开始对完成(SF):后一活动的完成要等到前一活动的开始。
                             以上4种关系的表示如下图所示。
                             
                             活动依赖关系图
                             在PDM图中,完成对开始是最常用的逻辑关系类型。开始对完成关系很少用,通常仅有专门制订进度的工程师才使用。
                             箭线图法
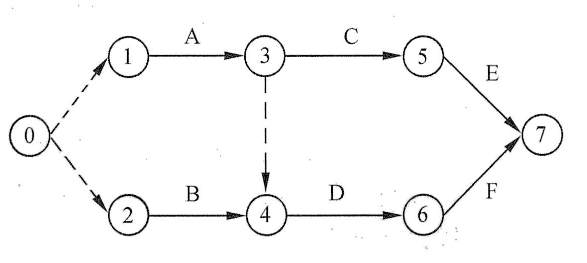
                             箭线图法(Arrow Diagramming Method,ADM)也称为双代号网络图法(Active On the Arrow,AOA),是一种利用箭线表示活动,并在结点处将其连接起来,以表示其依赖关系的一种项目网络图的绘制法。在ADM中,给每个事件而不是每项活动指定一个唯一的号码。活动的开始(箭尾)事件叫做该活动的紧前事件(precedeevent),活动的结束(箭线)事件叫做该活动的紧随事件(successor event,紧后事件)。在ADM中,有3个基本原则:
                             (1)网络图中每一事件必须有唯一的一个代号,即网络图中不会有相同的代号。
                             (2)任何两项活动紧前事件和紧随事件代号至少有一个不相同,结点序号沿箭线方向越来越大。
                             (3)流入(流出)同一事件的活动,均有共同的后继活动(或先行活动)。
                             ADM只使用完成-开始依赖关系,因此可能要使用虚活动(dummy activity)才能正确地定义所有的逻辑关系。虚活动不消耗时间和资源,用虚箭线表示。在复杂的网络图中,为避免多个起点或终点引起的混淆,我们也可以用虚活动来解决,如下图所示。
                             
                             箭线图法
                             确定依赖关系
                             活动之间的先后顺序称为依赖关系,依赖关系包括工艺关系和组织关系。在时间管理中,通常使用3种依赖关系来进行活动排序,分别是强制性依赖关系、可自由处理的依赖关系和外部依赖关系。
                             (1)强制性依赖关系:也称为硬逻辑关系、工艺关系。这是活动固有的依赖关系,这种关系是活动之间本身存在的、无法改变的逻辑关系。
                             (2)可自由处理的依赖关系:也称为软逻辑关系、组织关系、首选逻辑关系、优先逻辑关系。这是人为组织确定的一种先后关系,例如可以是项目管理团队确定的一种关系。
                             (3)外部依赖关系:是涉及项目与非项目活动之间的关系。
                             逻辑关系的表达可以分为平行、顺序和搭接3种形式。
                             (1)平行关系:也称为并行关系,相邻两项活动同时开始即为平行关系。例如,在上图中,活动A和B是平行关系。
                             (2)顺序关系:相邻两项活动先后进行即为顺序关系。如前一活动完成后,后一活动马上开始则为紧连顺序关系。如后一活动在前一活动完成后隔一段时间才开始,则为间隔顺序关系。在顺序关系中,当一项活动只有在另一项活动完成以后才能开始,并且中间不插入其他活动,则称另一项活动为该活动的紧前活动;反之,当一项活动只有在完成之后,另一项活动才能开始,并且中间不插入其他活动,则称另一活动为该活动的紧后活动。例如,在上图中,活动A和C为紧连顺序关系,A和E是间隔顺序关系,A是C的紧前活动,C是A的紧后活动。
                             (3)搭接关系:两项活动只有一段时间是平行进行的,则称为搭接关系。
                      活动历时估算
                      活动历时估算直接关系到各项具体活动、各项工作网络时间和完成整个项目所需要总体时间的估算。活动历时估算通常同时要考虑间隔时间。项目团队需要对项目的工作时间做出客观、合理的估计。在估算时,要在综合考虑各种资源、人力、物力、财力的情况下,把项目中各工作分别进行时间估计。若活动时间估算太短,则在工作中会出现被动紧张的局面;反之如果活动时间估算太长,则会使整个项目的完工期限延长,从而造成损失。
                             软件项目的工作量
                             软件项目的工作量和工期的估算历来是比较复杂的事,因为软件本身的复杂性、历史经验的缺乏、估算工具缺乏,以及一些人为错误,导致软件项目的规模估算往往和实际情况相差甚远。因此,估算错误已被列入软件项目失败的四大原因之一。
                             软件开发项目通常用LOC(Line of Code)衡量项目规模,LOC指所有的可执行的源代码行数,包括可交付的工作控制语言语句、数据定义、数据类型声明、等价声明、输入/输出格式声明等。可以根据对历史项目的审计来核算组织的单行代码价值。
                             例如,软考在线公司开发部王总统计发现,该公司每一万行Java语言源代码形成的源文件约为250KB,视频点播系统项目的源文件大小为3.75MB,则可估计该项目源代码大约为15万行,该项目累计投入工作量为240人月,每人月费用为10000元(包括人均工资、福利、办公费用公摊等),则该项目中1LOC的价值为:
                             (240×10000)/150000=16元/LOC
                             该项目的人月平均代码行数为:
                             150000/240=625LOC/人月
                             德尔菲法
                             德尔菲法(Delphi法)是最流行的专家评估技术,该方法结合了专家判断法和三点估算法,在没有历史数据的情况下,这种方式适用于评定过去与将来,新技术与特定程序之间的差别,但专家“专”的程度及对项目的理解程度是工作中的难点,尽管德尔菲法可以减轻这种偏差,专家评估技术在评定一个新软件实际成本时用得不多,但是,这种方式对决定其他模型的输入时特别有用。
                             德尔菲法的步骤如下:
                             (1)组织者发给每位专家一份软件系统的规格说明书(略去名称和单位)和一张记录估算值的表格,请他们进行估算。
                             (2)专家详细研究软件规格说明书的内容,对该软件提出3个规模的估算值,即:
                             ai:该软件可能的最小规模(最少源代码行数)。
                             mi:该软件最有可能的规模(最可能的源代码行数)。
                             bi:该软件可能的最大规模(最多源代码行数)。
                             无记名地填写表格,并说明做此估算的理由。在填表的过程中,专家互相不进行讨论,但可以向组织者提问。
                             (3)组织者对专家们填在表格中的答复进行整理,做以下事情:
                             ①计算各位专家(序号为ii=1,2,...,n,共n位专家)的估算期望值Ei,并综合各位专家估算值的期望中值E
                             
                             ②对专家的估算结果进行分类摘要。
                             (4)在综合专家估算结果的基础上,组织专家再次无记名地填写表格。然后比较两次估算的结果。若差异很大,则要通过查询找出差异的原因。
                             (5)上述过程可重复多次。最终可获得一个得到多数专家共识的软件规模(源代码行数)。在此过程中不得进行小组讨论。
                             最后,通过与历史资料进行类比,根据过去完成软件项目的规模和成本等信息,推算出该软件每行源代码所需要的成本。然后再乘以该软件源代码行数的估算值,就可得到该软件的成本估算值。
                             此方法的缺点是人们无法利用其他参加者的估算值来调整自己的估算值。宽带德尔菲法技术克服了这个缺点。在专家正式将估算值填入表格之前,由组织者召集小组会议,专家们与组织者一起对估算问题进行讨论,然后专家们再无记名填表。组织者对各位专家在表中填写的估算值进行综合和分类后,再召集会议,请专家们对其估算值有很大变动之处进行讨论,请专家们重新无记名填表。这样适当重复几次,得到比较准确的估计值。由于增加了协商的机会,集思广益,使得估算值更趋于合理。
                             总的来说,德尔菲法的不足之处在于,易受专家主观意识和思维局限影响,而且技术上,征询表的设计对预测结果的影响较大。德尔菲法对减少数据中人为的偏见、防止任何人对结果不适当地产生过大的影响尤其有用。
                             类比估算法
                             类比估算法适合评估一些与历史项目在应用领域、环境和复杂度等方面相似的项目,通过新项目与历史项目的比较得到规模估计。由于类比估算法估计结果的精确度取决于历史项目数据的完整性和准确度,因此,用好类比估算法的前提条件之一是组织建立起较好的项目后评价与分析机制,对历史项目的数据分析是可信赖的。
                             其基本步骤是:
                             (1)整理出项目功能列表和实现每个功能的代码行。
                             (2)标识出每个功能列表与历史项目的相同点和不同点,特别要注意历史项目中做得不够的地方。
                             (3)通过步骤(1)和步骤(2)得出各个功能的估计值。
                             (4)产生规模估计。
                             软件项目中用类比估算法,往往还要解决可重用代码的估算问题。估计可重用代码量的最好办法就是由程序员或系统分析员详细地考查已存在的代码,估算出新项目可重用的代码中需重新设计的代码百分比、需重新编码或修改的代码百分比,以及需重新测试的代码百分比。根据这3个百分比,可用下面的计算公式计算等价新代码行:
                             等价代码行=[(重新设计%+重新编码%+重新测试%)/3]×已有代码行
                             例如,有10000行代码,假定30%需要重新设计,50%需要重新编码,70%需要重新测试,那么其等价的代码行可以计算为:
                             [(30%+50%+70%)/3]× 10000=5000
                             即重用这10000代码相当于编写5000代码行的工作量。
                             功能点估计法
                             功能点测量是在需求分析阶段基于系统功能的一种规模估计方法。通过研究初始应用需求来确定各种输入、输出,计算与数据库需求的数量和特性。通常的步骤是:
                             (1)计算输入、输出、查询、主控文件与接口需求的数目。
                             (2)将这些数据进行加权乘。
                             (3)估计者根据对复杂度的判断,总数可以用+25%、0或-25%调整。
                             统计发现,对一个软件产品的开发,功能点对项目早期的规模估计很有帮助。
                      关键路径法
                      关键路线法(Critical Path Method,CPM)是借助网络图和各活动所需时间(估计值),计算每一活动的最早或最迟开始和结束时间。CPM法的关键是计算总时差,这样可决定哪一活动有最小时间弹性。CPM算法的核心思想是将WBS分解的活动按逻辑关系加以整合,统筹计算出整个项目的工期和关键路径。
                             关键路径
                             因网络图中的某些活动可以并行地进行,所以完成工程的最少时间是从开始结点到结束结点的最长路径长度,称从开始结点到结束结点的最长路径为关健路径(临界路径),关键路径上的活动为关键活动。
                             有关关键路径的具体求法的内容请阅读18.1.3节。
                             时差
                             一般来说,不在关键路径上的活动时间的缩短,不能缩短整个工期。而不在关键路径上的活动时间的延长,可能导致关键路径的变化,因此可能影响整个工期。
                             活动的总时差是指在不延误总工期的前提下,该活动的机动时间。活动的总时差等于该活动最迟完成时间与最早完成时间之差,或该活动最迟开始时间与最早开始时间之差。
                             活动的自由时差是指在不影响紧后活动的最早开始时间前提下,该活动的机动时间。活动自由时差的计算应按以下两种情况分别考虑:
                             (1)对于有紧后活动的活动,其自由时差等于所有紧后活动最早开始时间减本活动最早完成时间所得之差的最小值。例如,假设活动A的最早完成时间为4,活动A有两项紧后活动A和B,其最早开始时间分别为5和7,则A的自由时差为1。
                             (2)对于没有紧后活动的活动,也就是以网络计划终点结点为完成结点的活动,其自由时差等于计划工期与本活动最早完成时间之差。
                             :对于网络计划中以终点结点为完成结点的活动,其自由时差与总时差相等。此外,由于活动的自由时差是其总时差的构成部分,所以,当活动的总时差为零时,其自由时差必然为零,可不必进行专门计算。
                             费用斜率
                             一项活动所用的时间可以有标准所需时间S和特急所需时间E,对应的费用分别为SC和EC,则活动的费用斜率的计算公式如下:
                             C=(EC-SC)/(S-E
                             由上述公式可以发现,费用斜率描述的是某一项活动加急所需要的代价比,即平均每加急一个时间单位所需要付出的代价。因此,在实际制定进度计划时,要选择费用斜率较低的活动进行优化,缩短其时间。
                             进度压缩
                             进度压缩是指在不改变项目范围的条件下缩短项目进度的途径。常用的进度压缩的技术有赶工、快速跟进等。进度压缩的方法有加强控制、资源优化(增加资源数量)、提高资源利用率(提高资源质量)、改变工艺或流程、加强沟通、加班、外包、缩小范围等。
                             赶工是一种通过分配更多的资源,达到以成本的最低增加进行最大限度的进度压缩的目的,赶工不改变活动之间的顺序;快速跟进也称为快速追踪,是指并行或重叠执行原来计划串行执行的活动。快速跟进会改变工作网络图原来的顺序。
                             在软件工程项目中必须处理好进度与质量之间的关系。在软件开发实践中常常会遇到这样的事情,当任务未能按计划完成时,只好设法加快进度赶上去。但事实告诉我们,在进度压力下赶任务,其成果往往是以牺牲产品的质量为代价的。因此,当某一开发项目的进度有可能拖期时,应该分析拖期原因,加以补救;不应该盲目地投入新的人员或推迟预定完成日期,增加资源有可能导致产生额外的问题,并且降低效率。Brooks曾指出:为延期的软件项目增加人员将可能使其进度更慢。
                      计划评审技术
                      PERT技术(Plan Evaluation and Review Technique,计划评审技术)和CPM都是安排项目进度,制定项目进度计划的最常用的方法。
                      另外,优先进度图示法、搭接网络、图形评审技术、风险评审技术等也称为网络计划技术。它们都采用网络图来描述一个项目的任务网络,也就是从一个项目的开始到结束,把应当完成的任务用图或表的形式表示出来。通常用两张表来定义网络图。一张表给出与一特定软件项目有关的所有任务(也称为任务分解结构),另一张表给出应当按照什么样的次序来完成这些任务(也称为限制表)。PERT图不仅可以表达子任务的计划安排,还可在任务计划执行过程中估计任务完成的形势,分析某些子任务完成情况对全局的影响,找出影响全局的区域和关键子任务,以便及早采取措施,确保整个任务的完成。
                      在PERT图中,用箭号表示事件,即要完成的任务。箭头旁给出子任务的名称和完成该子任务所需要的时间。用圆圈结点表示事件的起点和终点。
                             活动的时间估计
                             PERT对各个项目活动的完成时间按3种不同情况估计:
                             (1)乐观时间(optimisti ctime):任何事情都顺利的情况下,完成某项工作的时间。
                             (2)最可能时间(most likely time):正常情况下,完成某项工作的时间。
                             (3)悲观时间(pessimistic time):最不利的情况下,完成某项工作的时间。
                             假定3个估计服从β分布,由此可算出每个活动的期望ti
                             
                             其中ai表示第i项活动的乐观时间,mi表示第i项活动的最可能时间,bi表示第i项活动的悲观时间。
                             根据β分布的方差计算方法,第i项活动的持续时间方差为:
                             
                             例如,软考在线教育网在线辅导平台系统的建设可分解为需求分析、设计编码、测试、安装部署这4个活动,各个活动按顺次进行,没有时间上的重叠,活动的完成时间估计如下图所示。
                             
                             工作分解和活动工期估计
                             则各活动的期望工期和方差为:
                             
                             项目周期估算
                             PERT认为整个项目的完成时间是各个活动完成时间之和,且服从正态分布。整个项目完成的时间t的数学期望T和方差σ2分别等于:
                             
                             标准差为:
                             
                             据此,可以得出正态分布曲线如下图所示。
                             
                             项目的工期正态分布
                             因为上图是正态曲线,根据正态分布规律,在±σ范围内,即在47.258天与54.742天之间完成的概率大约为68%;在±2σ范围内,即在43.516天到58.484天完成的概率大约为95%;在±3σ范围内,即39.774天到62.226天完成的概率大约为99%。如果客户要求在39天内完成,则可完成的概率几乎为0,也就是说,项目有不可压缩的最小周期,这是客观规律。
                      甘特图和时标网络图
                      甘特图(Gantt图)也称为横道图或条形图,把计划和进度安排两种智能结合在一起。用水平线段表示活动的工作阶段,线段的起点和终点分别对应着活动的开始时间和完成时间,线段的长度表示完成活动所需的时间。下图给出了一个具有5个任务的甘特图。
                      
                      甘特图
                      如果图中5条线段分别代表完成活动的计划时间,则在横坐标方向附加一条可向右移动的纵线。它可随着项目的进展,指明已完成的活动(纵线扫过的)和有待完成的活动(纵线尚未扫过的)。我们从甘特图上可以很清楚地看出各子活动在时间上的对比关系。
                      在甘特图中,每一活动完成的标准,不是以能否继续下一阶段活动为标准,而是必须以交付应交付的文档与通过评审为标准。因此在甘特图中,文档编制与评审是项目进度的里程碑。甘特图的优点是标明了各活动的计划进度和当前进度,能动态地反映项目进展情况,能反映活动之间的静态的逻辑关系。缺点是难以反映多个活动之间存在的复杂的逻辑关系,没有指出影响项目生命周期的关键所在,不利于合理地组织安排整个系统,更不利于对整个系统进行动态优化管理。
                      时标网络图(Time Scalar Network)克服了甘特图的缺点,用带有时标的网状图表示各子任务的进度情况,以反映各子任务在进度上的依赖关系。如下图所示,E2的开始取决于A3的完成。在下图中,虚箭头表示虚任务,即耗时为0的任务,只用于表示活动间的相互关系。
                      
                      时标网状图
                      进度控制
                      将实际进度与计划进度进行比较并分析结果,以保持项目工期不变,保证项目质量和所耗费用最少为目标,做出有效对策,进行项目进度更新,这是进行进度控制和进度管理的宗旨。项目进度更新主要包括两方面工作,即分析进度偏差的影响和进行项目进度计划的调整。
                             分析进度偏差的影响
                             当出现进度偏差时,需要分析该偏差对后续活动及总工期的影响。主要从以下几方面进行分析:
                             (1)分析产生进度偏差的活动是否为关键活动。若出现偏差的活动是关键活动,则无论其偏差大小,对后续活动及总工期都会产生影响,必须进行进度计划更新;若出现偏差的活动为非关键活动,则需根据偏差值与总时差和自由时差的大小关系,确定其对后续活动和总工期的影响程度。
                             (2)分析进度偏差是否大于总时差。如果活动的进度偏差大于总时差,则必将影响后续活动和总工期,应采取相应的调整措施;若活动的进度偏差小于或等于该活动的总时差,表明对总工期无影响;但其对后续活动的影响,需要将其偏差与其自由时差相比较才能做出判断。
                             (3)分析进度偏差是否大于自由时差。如果活动的进度偏差大于该活动的自由时差,则会对后续活动产生影响,如何调整应根据后续活动允许影响的程度而定;若活动的进度偏差小于或等于该活动的自由时差,则对后续活动无影响,进度计划可不进行调整更新。
                             经过上述分析,项目管理人员可以确定应该调整产生进度偏差的活动和调整偏差值的大小,以便确定应采取的调整更新措施,形成新的符合实际进度情况和计划目标的进度计划。
                             项目进度计划的调整
                             项目进度计划的调整往往是一个持续反复的过程,一般分以下几种情况:
                             (1)关键活动的调整。对于关键路径,由于其中任一活动持续时间的缩短或延长都会对整个项目工期产生影响。因此,关键活动的调整是项目进度更新的重点。有以下两种情况:
                             ①关键活动的实际进度较计划进度提前时的调整方法。
                             若仅要求按计划工期执行,则可利用该机会降低资源强度及费用。实现的方法是,选择后续关键活动中资源消耗量大或直接费用高的予以适当延长,延长的时间不应超过已完成的关键活动提前的量;若要求缩短工期,则应将计划的未完成部分作为一个新的计划,重新计算与调整,按新的计划执行,并保证新的关键活动按新计算的时间完成。
                             ②关键活动的实际进度较计划进度落后时的调整方法。
                             调整的目标就是采取措施将耽误的时间补回来,保证项目按期完成。调整的方法主要是缩短后续关键活动的持续时间。这种方法是指在原计划的基础上,采取组织措施或技术措施缩短后续工作的持续时间以弥补时间损失,以确保总工期不延长。
                             实际上,不得不延长工期的情况非常普遍,在项目总计划的制定中要充分考虑到适当的时间冗余。当预计到项目时间要拖延时应该分析原因,第一时间给项目干系人通报,并征求业主的意见,这也是项目进度控制的重要工作内容。
                             (2)非关键活动的调整。当非关键线路上某些工作的持续时间延长,但不超过其时差范围时,则不会影响项目工期,进度计划不必调整。为了更充分地利用资源,降低成本,必要时可对非关键活动的时差做适当调整,但不得超出总时差,且每次调整均需进行时间参数计算,以观察每次调整对计划的影响。
                             非关键活动的调整方法有3种:在总时差范围内延长非关键活动的持续时间、缩短工作的持续时间、调整工作的开始或完成时间。
                             当非关键线路上某些工作的持续时间延长而超出总时差范围时,则必然影响整个项目工期,关键线路就会转移。这时,其调整方法与关键线路的调整方法相同。
                             (3)增减工作项目。由于编制计划时考虑不周,或因某些原因需要增加或取消某些工作,则需重新调整网络计划,计算网络参数。增减工作项目不应影响原计划总的逻辑关系,以便使原计划得以实施,因此,增减工作项目只能改变局部的逻辑关系。
                             增加工作项目,只对原遗漏或不具体的逻辑关系进行补充;减少工作项目,只是对提前完成的工作项目或原不应设置的工作项目予以消除。增减工作项目后,应重新计算网络时间参数,以分析此项调整是否对原计划工期产生影响,若有影响,应采取措施使之保持不变。
                             (4)资源调整。若资源供应发生异常时,应进行资源调整。资源供应发生异常是指因供应满足不了需要,如资源强度降低或中断,影响到计划工期的实现。资源调整的前提是保证工期不变或使工期更加合理。资源调整的方法是进行资源优化。
   题号导航      2024年下半年 系统架构设计师 上午试卷 综合知识   本试卷我的完整做题情况  
1 /
2 /
3 /
4 /
5 /
6 /
7 /
8 /
9 /
10 /
11 /
12 /
13 /
14 /
15 /
 
16 /
17 /
18 /
19 /
20 /
21 /
22 /
23 /
24 /
25 /
26 /
27 /
28 /
29 /
30 /
 
31 /
32 /
33 /
34 /
35 /
36 /
37 /
38 /
39 /
40 /
41 /
42 /
43 /
44 /
45 /
 
46 /
47 /
48 /
49 /
50 /
51 /
52 /
53 /
54 /
55 /
56 /
57 /
58 /
59 /
60 /
 
61 /
62 /
63 /
64 /
65 /
66 /
67 /
68 /
69 /
70 /
71 /
72 /
73 /
74 /
75 /
 
第19题    在手机中做本题