免费智能真题库 > 历年试卷 > 网络规划设计师 > 2009年下半年 网络规划设计师 上午试卷 综合知识
  第70题      
  知识点:   线性规划
  章/节:   运筹方法       

 
某公司新建一座200平方米的厂房,现准备布置生产某产品的设备。该公司现空闲生产该产品的甲、乙、丙、丁4种型号的设备各3台,每种型号设备每天的生产能力由下表给出,在厂房大小限定的情况下,该厂房每天最多能生产该产品(70)个。
 
 
  A. 

500

 
  B.  520
 
  C.  524
 
  D.  530
 
 
 

  相关试题:运筹方法          更多>  
 
  第69题    2009年下半年  
   47%
某厂需要购买生产设备生产某种产品,可以选择购买四种生产能力不同的设备,市场对该产品的需求状况有三种(需求量较大、需求量中等..
  第70题    2011年下半年  
   34%
某企业拟建设通信网络对外提供服务。根据市场预测,未来业务发展好的概率为0.7,业务发展差的概率为0.3。现有三种规划方案可供选..
  第29题    2023年下半年  
   0%
甲、乙、丙、丁4人加工A、B、C、D四种工件所需工时如下表所示。指派每人加工一种工件,四人加工四种工件其总工时最短的最优方案中..
   知识点讲解    
   · 线性规划
 
       线性规划
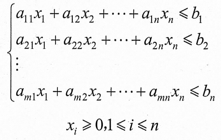
        线性规划是研究在有限的资源条件下,如何有效地使用这些资源达到预定目标的数学方法。用数学的语言来说,也就是在一组约束条件下寻找目标函数的极值问题。
        求极大值(或极小值)的模型表达如下:
        
        在上述条件下,求解x1x2,…,xn,使满足下列表达式的Z取极大值(或极小值):
        Z=c1x1+c2x2+…+cnxn
        解线性规划问题的方法有很多,最常用的有图解法和单纯形法。图解法简单直观,有助于了解线性规划问题求解的基本原理,下面,通过一个例子来说明图解法的应用。
        某工厂在计划期内要安排生产甲、乙两种产品,已知生产单位产品所需的设备台时及A、B两种原料的消耗,如下表所示。
        
        产品与原料的关系
        该工厂每生产一件产品甲可获利2元,每生产一件产品乙可获利3元,问应该如何安排计划使该工厂获利最多?
        该问题可用以下数学模型来描述,设x1x2分别表示在计划期内产品甲、乙的产量,因为设备的有效台时是8,这是一个限制产量的条件,所以在确定产品甲、乙的产量时,要考虑不超过设备的有效台时数,即可用不等式表示为x1+2x2≤8。
        同理,因原料A、B的限量,可以得到以下不等式
        4x1≤16,4x2≤12
        该工厂的目标是在不超过所有资源限制的条件下,如何确定产量x1x2以得到最大的利润。若用z表示利润,这时z=2x1+3x2。综上所述,该计划问题可用数学模型表示为:
        目标函数:
        maxz=2x1+3x2
        满足约束条件:
        x1+2x2≤8
        4x1≤16
        4x2≤12
        x1x2≥0
        在以x1x2为坐标轴的直角坐标系中,非负条件x1x2≥0是指第一象限。上述每个约束条件都代表一个半平面。如约束条件x1+2x2≤8是代表以直线x1+2x2=8为边界的左下方的半平面,若同时满足x1x2≥0,x1+2x2≤8,4x1≤16和4x2≤12的约束条件的点,必然落在由这三个半平面交成的区域内。由例题1的所有约束条件为半平面交成的区域如下图中的阴影部分所示。阴影区域中的每一个点(包括边界点)都是这个线性规划问题的解(称可行解),因而此区域是例1的线性规划问题的解的集合,称它为可行域。
        
        线性规划的图解法
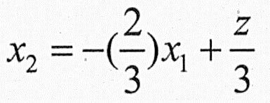
        再分析目标函数z=x21+3x2,在坐标平面上,它可表示以z为参数,-2/3为斜率的一族平行线:
        
        位于同一直线上的点,具有相同的目标函数值,因此称它为等值线。当z值由小变大时,直线沿其法线方向向右上方移动。当移动到Q2点时,使z值在可行域边界上实现最大化(如上图所示),这就得到了例1的最优解Q2,Q2点的坐标为(4,2)。于是可计算出z=14。
        这说明该厂的最优生产计划方案是,生产4件产品甲,2件产品乙,可得最大利润为14元。
        例题1中求解得到的最优解是唯一的,但对一般线性规划问题,求解结果还可能出现以下几种情况:无穷多最优解(多重解),无界解(无最优解),无可行解。当求解结果出现后两种情况时,一般说明线性规划问题的数学模型有错误。无界解源于缺乏必要的约束条件,无可行解源于矛盾的约束条件。
        从图解法中直观地看到,当线性规划问题的可行域非空时,它是有界或无界凸多边形。若线性规划问题存在最优解,它一定在可行域的某个顶点得到;若在两个顶点同时得到最优解,则它们连线上的任意一点都是最优解,即有无穷多最优解。
        图解法虽然直观,但当变量数多于三个以上时,它就无能为力了,这时需要使用单纯形法。
        单纯形法的基本思路是:根据问题的标准,从可行域中某个可行解(一个顶点)开始,转换到另一个可行解(顶点),并且使目标函数达到最大值时,问题就得到了最优解。限于篇幅,不再介绍单纯形法的详细求解过程。
   题号导航      2009年下半年 网络规划设计师 上午试卷 综合知识   本试卷我的完整做题情况  
1 /
2 /
3 /
4 /
5 /
6 /
7 /
8 /
9 /
10 /
11 /
12 /
13 /
14 /
15 /
 
16 /
17 /
18 /
19 /
20 /
21 /
22 /
23 /
24 /
25 /
26 /
27 /
28 /
29 /
30 /
 
31 /
32 /
33 /
34 /
35 /
36 /
37 /
38 /
39 /
40 /
41 /
42 /
43 /
44 /
45 /
 
46 /
47 /
48 /
49 /
50 /
51 /
52 /
53 /
54 /
55 /
56 /
57 /
58 /
59 /
60 /
 
61 /
62 /
63 /
64 /
65 /
66 /
67 /
68 /
69 /
70 /
71 /
72 /
73 /
74 /
75 /
 
第70题    在手机中做本题