免费智能真题库 > 历年试卷 > 软件设计师 > 2017年上半年 软件设计师 上午试卷 综合知识
  第65题      
  知识点:   动态规划法
  章/节:   计算机软件知识       

 
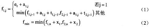
某汽车加工工厂有两条装配线L1和L2,每条装配线的工位数均为n(Sij,i=1或2,j= 1,2,...,n),两条装配线对应的工位完成同样的加工工作,但是所需要的时间可能不同(aij,i=1或2,j=1,2,...,n)。汽车底盘开始到进入两条装配线的时间 (e1,e2) 以及装配后到结束的时间(x1x2)也可能不相同。从一个工位加工后流到下一个工位需要迁移时间(tij,i=1或2,j=2,...n)。现在要以最快的时间完成一辆汽车的装配,求最优的装配路线。
分析该问题,发现问题具有最优子结构。以L1为例,除了第一个工位之外,经过第j个工位的最短时间包含了经过L1的第j-1个工位的最短时间或者经过L2的第j-1个工位的最短时间,如式(1)。装配后到结束的最短时间包含离开L1的最短时间或者离开L2的最短时间如式(2)。

由于在求解经过L1和L2的第j个工位的最短时间均包含了经过L1的第j-1个工位的最短时间或者经过L2的第j-1个工位的最短时间,该问题具有重复子问题的性质,故采用迭代方法求解。
该问题采用的算法设计策略是(62),算法的时间复杂度为(63)
以下是一个装配调度实例,其最短的装配时间为(64),装配路线为(65)


 
 
  A.  S11→S12→S13
 
  B.  S11→S22→S13
 
  C.  S21→S12→S23
 
  D.  S21→S22→S23
 
 
 

  相关试题:计算机软件知识          更多>  
 
  第65题    2015年下半年  
   42%
在某应用中,需要先排序一组大规模的记录,其关键字为整数。若这组记录的关键字基本上有序,则适宜采用(64)排序算法。若这组记..
  第48题    2013年上半年  
   66%
以下关于语言L={anbn|n>=1}的叙述中,正确的是(48)。
  第22题    2009年上半年  
   42%
下面关于程序语言的叙述,错误的是(22)。
   知识点讲解    
   · 动态规划法
 
       动态规划法
               动态规划算法与分治法类似,其基本思想也是将待求解问题分解成若干个子问题,先求解子问题,然后从这些子问题的解得到原问题的解。与分治法不同的是,适合于用动态规划法求解的问题,经分解得到的子问题往往不是独立的。
               动态规划算法通常用于求解具有某种最优性质的问题。在这类问题中,可能会有许多可行解,每个解都对应于一个值,希望找到具有最优值(最大值或最小值)的那个解。当然,最优解可能会有多个,动态规划算法能找出其中的一个最优解。设计一个动态规划算法,通常可按照以下几个步骤进行。
               (1)找出最优解的性质,并刻画其结构特征。
               (2)递归地定义最优解的值。
               (3)以自底向上的方式计算出最优值。
               (4)根据计算最优值时得到的信息,构造一个最优解。
               对一个给定的问题,若其具有以下两个性质,则可以考虑用动态规划法来求解。
               (1)最优子结构。如果一个问题的最优解中包含其子问题的最优解,就说该问题具有最优子结构。当一个问题具有最优子结构时,表示动态规划法可能会适用,但是此时贪心策略可能也是适用的。
               (2)重叠子问题。它指用来解原问题的递归算法可反复地解同样的子问题,而不是总在产生新的子问题。即当一个递归算法不断地调用同一个问题时,就说明该问题包含重叠子问题。此时若用分治法递归求解,则每次遇到子问题都会视为新问题,会极大地降低算法的效率,而动态规划法总是充分利用重叠子问题,对每个子问题仅计算一次,把解保存在一个在需要时就可以查看的表中,而每次查表的时间为常数。
   题号导航      2017年上半年 软件设计师 上午试卷 综合知识   本试卷我的完整做题情况  
1 /
2 /
3 /
4 /
5 /
6 /
7 /
8 /
9 /
10 /
11 /
12 /
13 /
14 /
15 /
 
16 /
17 /
18 /
19 /
20 /
21 /
22 /
23 /
24 /
25 /
26 /
27 /
28 /
29 /
30 /
 
31 /
32 /
33 /
34 /
35 /
36 /
37 /
38 /
39 /
40 /
41 /
42 /
43 /
44 /
45 /
 
46 /
47 /
48 /
49 /
50 /
51 /
52 /
53 /
54 /
55 /
56 /
57 /
58 /
59 /
60 /
 
61 /
62 /
63 /
64 /
65 /
66 /
67 /
68 /
69 /
70 /
71 /
72 /
73 /
74 /
75 /
 
第65题    在手机中做本题