免费智能真题库 > 历年试卷 > 软件设计师 > 2018年上半年 软件设计师 上午试卷 综合知识
  第19题      
  知识点:   进度管理
  章/节:   软件工程基础知识       

 
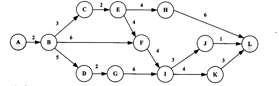
 某软件项目的活动图如下图所示,其中顶点表示项目里程碑,连接顶点的边表示包含的活动,边上的数字表示活动的持续天数,则完成该项目的最少时间为( 18 )天。活动EH和IJ的松弛时间分别为(19 )天。

 
 
  A.  3和3
 
  B.  3和6
 
  C.  5和3
 
  D.  5和6
 
 
 

  相关试题:软件工程基础知识          更多>  
 
  第42题    2021年上半年  
   39%
采用面向对象方法进行系统设计时,不应该强迫客户依赖于他们不用的方法,接口属于客户,不属于它所在的类层次结构。即:依赖于抽象..
  第29题    2020年下半年  
   42%
喷泉模型是一种适合于面向(29)开发方法的软件过程模型。该过程模型的特点不包括(30)。
  第19题    2020年下半年  
   63%
软件项目成本估算模型模型COCOMO II..
   知识点讲解    
   · 进度管理
 
       进度管理
        软件开发项目的进度安排有两种方式:系统最终交付日期已经确定,软件开发部门必须在规定期限内完成;系统最终交付日期只确定了大致的年限,最后交付日期由软件开发部门确定。
        进度安排的常用图形描述方法有甘特(Gantt)图和计划评审技术(PERT)图。
        1)Gantt图
        Gantt图中横坐标表示时间,纵坐标表示任务,图中的水平线段则表示对一个任务的进度安排,线段的起点和终点对应在横坐标上的时间分别表示该任务的开始时间和结束时间,线段的长度表示完成该任务所需的时间。
        Gantt图能清晰地描述每个任务从何时开始,到何时结束以及各个任务之间的并行性;但是它不能清晰地反映出各任务之间的依赖关系,难以确定整个项目的关键所在,也不能反映计划中有潜力的部分。
        2)PERT图
        PERT图是一个有向图,箭头表示任务,它可以表示完成该任务所需的时间;箭头指向节点表示流入节点的任务的结束,并开始流出节点的任务,这里把节点当成事件。只有当流入该节点的所有任务都结束时,节点所表示的事件才出现,流出节点的任务才可以开始。事件本身不消耗时间和资源,它仅表示某个时间点。一个事件有一个事件号和出现该事件的最早时刻和最迟时刻。每个任务还有一个松弛时间,表示在不影响整个工期的前提下,完成该任务有多少机动余地。
        PERT图不仅给出了每个任务的开始时间、结束时间和完成该任务所需的时间,还给出了任务之间的关系,即哪些任务完成后才能开始另外一些任务,以及如期完成整个工程的关键路径。松弛时间则反映了完成某些任务是可以推迟其开始时间或延长其所需的完成时间。但是PERT图不能反映任务之间的并行关系。
   题号导航      2018年上半年 软件设计师 上午试卷 综合知识   本试卷我的完整做题情况  
1 /
2 /
3 /
4 /
5 /
6 /
7 /
8 /
9 /
10 /
11 /
12 /
13 /
14 /
15 /
 
16 /
17 /
18 /
19 /
20 /
21 /
22 /
23 /
24 /
25 /
26 /
27 /
28 /
29 /
30 /
 
31 /
32 /
33 /
34 /
35 /
36 /
37 /
38 /
39 /
40 /
41 /
42 /
43 /
44 /
45 /
 
46 /
47 /
48 /
49 /
50 /
51 /
52 /
53 /
54 /
55 /
56 /
57 /
58 /
59 /
60 /
 
61 /
62 /
63 /
64 /
65 /
66 /
67 /
68 /
69 /
70 /
71 /
72 /
73 /
74 /
75 /
 
第19题    在手机中做本题