免费智能真题库 > 历年试卷 > 软件设计师 > 2019年上半年 软件设计师 上午试卷 综合知识
  第62题      
  知识点:   递归式   矩阵   算法设计   实例
  关键词:   空间复杂度   时间复杂度   实例   算法        章/节:   计算机软件知识       

 
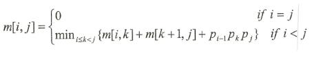
已知矩阵Am*n和Bn*p相乘的时间复杂度为O(mnp)。矩阵相乘满足结合律,如三个矩阵A、B、C相乘的顺序可以是(A*B)*C也可以是A*(B*C)。不同的相乘顺序所需进行的乘法次数可能有很大的差别。因此确定n个矩阵相乘的最优计算顺序是一个非常重要的问题。已知确定n个矩阵A1A2......An相乘的计算顺序具有最优子结构,即A1A2......An的最优计算顺序包含其子问题A1A2......Ak和Ak+1Ak+2……An(1≤k<n)的最优计算顺序。
可以列出其递归式为:

其中,Ai的维度为pi-1*pi,m[i,j]表示AiAi+1……Aj最优计算顺序的相乘次数。
先采用自底向上的方法求n个矩阵相乘的最优计算顺序。则求解该问题的算法设计策略为(62)。算法的时间复杂度为(63),空间复杂度为(64)。
给定一个实例,(p0p1……p5)=(20,15,4,10,20,25),最优计算顺序为(65)。
 
 
  A.  分治法
 
  B.  动态规划法
 
  C.  贪心法
 
  D.  回溯法
 
 
 

  相关试题:计算机软件知识          更多>  
 
  第60题    2012年上半年  
   59%
从存储空间的利用率角度来看,以下关于数据结构中图的存储的叙述,正确的是(60)。
  第62题    2011年上半年  
   46%
要在8X8的棋盘上摆放8个“皇后”,要求“皇后”之间不能发生冲突,即任何两 个“皇后”不能在同一..
  第40题    2012年下半年  
   36%
如果要表示待开发软件系统中软件组件和硬件之间的物理关系,通常采用UML中的(40)。
   知识点讲解    
   · 递归式    · 矩阵    · 算法设计    · 实例
 
       递归式
        从算法的结构上看,算法可以分为非递归形式和递归形式。非递归算法的时间复杂度分析较简单,本小节主要讨论递归算法的时间复杂度分析方法。
        (1)展开法。将递归式中等式右边的项根据递归式进行替换,称为展开。展开后的项被再次展开,如此下去,直至得到一个求和表达式及其结果。
        (2)代换法。这一名称来源于当归纳假设用较小值时,用所猜测的值代替函数的解。用代换法解递归式时需要两个步骤:猜测解的形式;用数学归纳法找出使解真正有效的常数。
        (3)递归树法。递归树法弥补了代换法猜测困难的缺点,它适于提供"好"的猜测,然后用代换法证明。在递归树中,每一个节点都代表递归函数调用集合中每一个子问题的代价。将树中每一层内的代价相加得到一个每层代价的集合,再将每层的代价相加得到递归式所有层次的总代价。当用递归式表示分治算法的时间复杂度时,递归树的方法尤其有用。
        (4)主方法。也称为主定理,给出求解以下形式的递归式的快速方法,即
        T(n)=aT(n/b)+f(n)
        式中,a≥1和b>1是常数;f(n)是一个渐进的正函数。
 
       矩阵
               特殊矩阵
               若矩阵中元素(或非零元素)的分布有一定的规律,则称之为特殊矩阵。常见的特殊矩阵有对称矩阵、三角矩阵、对角矩阵等。
               对称矩阵:若矩阵An×n中的元素有
               aij=aji1≤i,jn
               则称之为n阶对称矩阵。
               上(下)三角矩阵:矩阵的上(下)三角(不包括对角线)中的元素均为常数或零。
               对角矩阵:矩阵中的非零元素都集中在以主对角线为中心的带状区域中,即除了主对角线上和在对角线上、下方若干条对角线上的元素外,其余的矩阵元素都为零。
               稀疏矩阵
               在一个矩阵中,若非零元素的个数远远少于零元素的个数,且非零元素的分布没有规律,则称之为稀疏矩阵。存储稀疏矩阵的非零元素时必须同时存储其位置(行、列号),用三元组(i,j,aij)可唯一确定矩阵中的一个元素。因此,一个稀疏矩阵可由表示非零元素的三元组及其行、列数唯一确定。
               稀疏矩阵的三元组表的顺序存储结构称为三元组顺序表,常用的三元组表的链式存储结构是十字链表。
 
       算法设计
        通常求解一个问题可能会有多种算法可供选择,选择的主要标准首先是算法的正确性和可靠性、简单性和易理解性;其次是算法所需要的存储空间更少和执行速度更快等。
        算法设计是一件非常困难的工作,通常设计一个"好"的算法应考虑达到正确性、可读性、健壮性、效率与低存储量需求等目标。
        经常采用的算法设计技术主要有迭代法、穷举搜索法、递推法、贪心法、回溯法、分治法和动态规划法等。
 
       实例
        某考务处理系统有如下功能:
        (1)对考生送来的报名单进行检查。
        (2)对合格的报名单进行检查。
        (3)对阅卷站送来的成绩清单进行检查,并根据考试中心指定的合格标准审定合格者。
        (4)制作考生通知单(内含成绩合格/不合格标志)送给考生。
        (5)按地区、年龄、文化程度、职业和考试级别等进行成绩分类统计和试题难度分析,产生统计分析表。
        该考务处理系统的分层数据流图如下图所示。
        
        考务处理系统分层数据流图
   题号导航      2019年上半年 软件设计师 上午试卷 综合知识   本试卷我的完整做题情况  
1 /
2 /
3 /
4 /
5 /
6 /
7 /
8 /
9 /
10 /
11 /
12 /
13 /
14 /
15 /
 
16 /
17 /
18 /
19 /
20 /
21 /
22 /
23 /
24 /
25 /
26 /
27 /
28 /
29 /
30 /
 
31 /
32 /
33 /
34 /
35 /
36 /
37 /
38 /
39 /
40 /
41 /
42 /
43 /
44 /
45 /
 
46 /
47 /
48 /
49 /
50 /
51 /
52 /
53 /
54 /
55 /
56 /
57 /
58 /
59 /
60 /
 
61 /
62 /
63 /
64 /
65 /
66 /
67 /
68 /
69 /
70 /
71 /
72 /
73 /
74 /
75 /
 
第62题    在手机中做本题