免费智能真题库 > 历年试卷 > 软件设计师 > 2009年上半年 软件设计师 上午试卷 综合知识
  第6题      
  知识点:   指令的流水处理
  章/节:   计算机硬件基础知识       

 
 
 
  A. 
 
  B. 
 
  C. 
 
  D. 
 
 
 

  相关试题:计算机硬件基础知识          更多>  
 
  第38题    2025年上半年  
   0%
循环冗余校验码(CRC)利用生成多项式进行编码。设数据位为k位,校验位为r位,则CRC码的格式为(2)。
  第4题    2017年上半年  
   34%
某系统由下图所示的冗余部件构成。若每个部件的千小时可靠度都为R ,则该系统的千小时可靠度为()。


  第1题    2021年下半年  
   82%
以下关于PCI总线和SCSI总线的叙述中,正确的是( )。
   知识点讲解    
   · 指令的流水处理
 
       指令的流水处理
        1)指令控制方式
        指令控制方式有顺序方式、重叠方式和流水方式3种。
        (1)顺序方式。顺序方式是指各条机器指令之间顺序串行地执行,执行完一条指令后才取下一条指令,而且每条机器指令内部的各个微操作也是顺序串行地执行。这种方式的优点是控制简单;缺点是速度上不去,机器各部件的利用率低。
        (2)重叠方式。重叠方式是指在解释第x条指令的操作完成之前,就可开始解释第x+i条指令。通常采用的是一次重叠,即在任何时候,指令分析部件和指令执行部件都只有相邻两条指令在重叠解释。这种方式的优点是速度有所提高,控制也不太复杂;缺点是会出现冲突、转移和相关等问题,在设计时必须想办法解决。
        (3)流水方式。流水技术是把并行性或并发性嵌入到计算机系统里的一种形式,它把重复的顺序处理过程分解为若干子过程,每个子过程能在专用的独立模块上有效地并发工作,如下图所示。
        
        流水处理的时空图
        在概念上,"流水"可以看成是"重叠"的延伸。差别仅在于"一次重叠"只是把一条指令解释分解为两个子过程,而"流水"则是分解为更多的子过程。
        2)吞吐率和流水建立时间
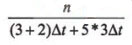
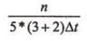
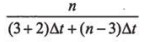
        吞吐率是指单位时间里流水线处理机流出的结果数。对指令而言,就是单位时间里执行的指令数。如果流水线的子过程所用时间不一样,则吞吐率p应为最长子过程的倒数,即
        
        流水线开始工作,须经过一定时间才能达到最大吞吐率,这就是建立时间。若m个子过程所用时间一样,均为△t0,则建立时间T0=mt0
   题号导航      2009年上半年 软件设计师 上午试卷 综合知识   本试卷我的完整做题情况  
1 /
2 /
3 /
4 /
5 /
6 /
7 /
8 /
9 /
10 /
11 /
12 /
13 /
14 /
15 /
 
16 /
17 /
18 /
19 /
20 /
21 /
22 /
23 /
24 /
25 /
26 /
27 /
28 /
29 /
30 /
 
31 /
32 /
33 /
34 /
35 /
36 /
37 /
38 /
39 /
40 /
41 /
42 /
43 /
44 /
45 /
 
46 /
47 /
48 /
49 /
50 /
51 /
52 /
53 /
54 /
55 /
56 /
57 /
58 /
59 /
60 /
 
61 /
62 /
63 /
64 /
65 /
66 /
67 /
68 /
69 /
70 /
71 /
72 /
73 /
74 /
75 /
 
第6题    在手机中做本题