免费智能真题库 > 历年试卷 > 软件设计师 > 2013年上半年 软件设计师 上午试卷 综合知识
  第29题      
  知识点:   数据流图   数据流
  关键词:   数据流图   数据        章/节:   软件工程基础知识       

 
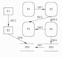
在如下所示的数据流中,共存在(29)个错误。
 
 
  A.  4
 
  B.  6
 
  C.  8
 
  D.  9
 
 
 

  相关试题:软件工程基础知识          更多>  
 
  第16题    2013年上半年  
   39%
在进行进度安排时,PERT图不能清晰地描述(16),但可以给出哪些任务完成后才能开始另一些任务。某项目X包含任务A.B....J,其PERT..
  第17题    2010年下半年  
   28%
使用PERT图进行进度安排,不能清晰地描述(16),但可以给出哪些任务完成后才能开始另一些任务。下面的PERT图所示工程从A到K的关键..
  第31题    2022年下半年  
   78%
若模块A和模块B通过外部变量来交换输入、输出信息,则这两个模块的耦合类型是()耦合。
   知识点讲解    
   · 数据流图    · 数据流
 
       数据流图
        数据流图也称数据流程图(Data Flow Diagram,DFD),它是一种便于用户理解、分析系统数据流程的图形工具。它摆脱了系统的物理内容,精确地在逻辑上描述系统的功能、输入、输出和数据存储等,是系统逻辑模型的重要组成部分。
        1)数据流图的基本图形元素
        数据流图中的基本图形元素包括数据流(Data Flow)、加工(Process)、数据存储(Data Store)和外部实体(Extemal Agent)。其中,数据流、加工和数据存储用于构建软件系统内部的数据处理模型;外部实体表示存在于系统之外的对象,用来帮助用户理解系统数据的来源和去向。
        (1)数据流。
        数据流由一组固定成分的数据组成,表示数据的流向。在DFD中,数据流的流向可以有以下几种:从一个加工流向另一个加工;从加工流向数据存储(写):从数据存储流向加工(读);从外部实体流向加工(输入);从加工流向外部实体(输出)。
        DFD中的每个数据流用一个定义明确的名字表示。除了流向数据存储或从数据存储流出的数据流不必命名外,每个数据流都必须有一个合适的名字,以反映该数据流的含义。值得注意的是,DFD中描述的是数据流,而不是控制流。
        数据流或者由具体的数据属性(也称为数据结构)构成,或者由其他数据流构成。组合数据流是由其他数据流构成的数据流,它们用于在高层的数据流图中组合相似的数据流,以使数据流图更便于阅读。
        (2)加工。
        加工描述了输入数据流到输出数据流之间的变换,也就是输入数据流经过什么处理后变成了输出数据流。每个加工都有一个名字和编号。编号能反映出该加工位于分层DFD中的哪个层次和哪张图中,也能够看出它是哪个加工分解出来的子加工。
        一个加工可以有多个输入数据流和多个输出数据流,但至少有一个输入数据流和一个输出数据流。
        (3)数据存储。
        数据存储用来存储数据。通常,一个流入加工的数据流经过加工处理后就消失了,而它的某些数据(或全部数据)可能被加工成输出数据流,流向其他加工或外部实体。除此之外,在软件系统中还常常要把某些信息保存下来以供以后使用,这时可以使用数据存储。
        每个数据存储都有一个定义明确的名字标识。可以有数据流流入数据存储,表示数据的写入操作;也可以有数据流从数据向数据存储,表示对数据的修改。
        这里要说明的是,DFD中的数据存储在具体实现时可以用文件系统实现,也可以用数据库系统实现。数据存储的存储介质可以是磁盘、磁带或其他存储介质。
        (4)外部实体(外部主体)。
        外部实体是指存在于软件系统之外的人员或组织,它指出系统所需数据的发源地(源)和系统所产生的数据的归宿地(宿)。例如,对于一个考务处理系统而言,考生向系统提供报名单(输入数据流),所以考生是考务处理系统的一个源;而考务处理系统要将考试成绩的统计分析表(输出数据流)传递给考试中心,所以考试中心是该系统的一个宿。
        在许多系统中,某个源和某个宿可以是同一个人员或组织,此时,在DFD中可以用同一个符号表示。考生向系统提供报名单,而系统向考生送出准考证,所以在考务处理系统中,考生既是源又是宿。
        源和宿采用相同的图形符号表示,当数据流从该符号流出时,表示它是源;当数据流流向该符号时,表示它是宿;当两者皆有时,表示它既是源又是宿。
        2)数据流图的扩充符号
        在DFD中,一个加工可以有多个输入数据流和多个输出数据流,此时可以加上一些扩充符号来描述多个数据流之间的关系。
        (1)星号(*)。
        星号表示数据流之间存在"与"关系。如果是输入流则表示所有输入数据流全部到达后才能进行加工处理;如果是输出流则表示加工结束将同时产生所有的输出数据流。
        (2)加号(+)。
        加号表示数据流之间存在"或"关系。如果是输入流则表示其中任何一个输入数据流到达后就能进行加工处理;如果是输入流则表示加工处理的结果是至少产生其中一个输出数据流。
        (3)异或(⊕)。
        异或表示数据流之间存在"互斥"关系。如果是输入流则表示当且仅当其中一个输入流到达后才能进行加工处理;如果是输出流则表示加工处理的结果是仅产生这些输出数据流中的一个。
        3)数据流图的层次结构
        从原理上讲,只要纸足够大,一个软件系统的分析模型就可以画在一张纸上。然而,一个复杂的软件系统可能涉及上百个加工和上百个数据流,甚至更多。如果将它们画在一张图上,则会十分复杂,不易阅读,也不易理解。
        根据自顶向下逐层分解的思想,可以将数据流图按照层次结构来绘制,每张图中的加工个数可大致控制在"7加减2"的范围内,从而构成一套分层数据流图。
        (1)层次结构。
        分层数据流图的顶层只有一张图,其中只有一个加工,代表整个软件系统,该加工描述了软件系统与外界之间的数据流,称为顶层图。
        顶层图中的加工(即系统)经分解后的图称为0层图,也只有一张。处于分层数据流图最底层的图称为底层图,在底层图中,所有的加工不再进行分解。分层数据流图中的其他图称为中间层,其中至少有一个加工(也可以是所有加工)被分解成一张子图。在整套分层数据流图中,凡是不再分解成子图的加工称为基本加工。
        (2)图和加工的编号。
        首先介绍父图和子图的概念。
        如果某图(记为A)中的某一个加工分解成一张子图(记为B),则称A是B的父图,B是A的子图。若父图中有n个加工,则它可以有0一刀张子图,但每张子图只对应一张父图。
        为了方便对图进行管理和查找,可以采用下列方式对DFD中的图和加工编号。
        ①顶层图中只有一个加工(代表整个软件系统),该加工不必编号。
        ②0层图中的加工编号分别为1、2、3--。
        ③子图号就是父图中被分解的加工号。
        ④对于子图中加工的编号,若父图中的加工号为X的加工分解成某一子图,则该子图中的加工编号分别为x.1、x.2、X.3…。
        4)分层数据流图的审查
        在分层数据流图画好后,应该认真检查图中是否存在错误或不合理(不理想)的部分。
        (1)分层数据流图的一致性和完整性。
        ①分层数据流图的一致性。
        a.父图与子图的平衡。
        b.数据守恒。
        c.局部数据存储。
        d.一个加工的输出数据流不能与该加工的输入数据流同名。
        ②分层数据流图的完整性。
        a.每个加工至少有一个输入数据流和一个输出数据流。
        b.在整套分层数据流图中,每个数据存储应至少有一个加工对其进行读操作,另一个加工对其进行写操作。
        c.分层数据流图中的每个数据流和文件都必须命名(除了流入或流出数据存储的数据流),并保持与数据字典一致。
        d.分层数据流图中的每个基本加工都应有一个加工规约。
        (2)构造分层DFD时需要注意的问题。
        ①适当命名。
        a.名字应反映整个对象(如数据流、加工),而不是只反映它的某一部分。
        b.避免使用空洞的、含义不清的名字,如"数据""信息""处理""统计"等。
        c.如果发现某个数据流或加工难以命名,往往是DFD分解不当的征兆,此时应考虑重新分解。
        ②画数据流而不是控制流。
        ③避免一个加工有过多的数据流。
        a.把需要重新分解的某张图的所有子图连接成一张图。
        b.把连接后的图重新划分成几个部分,使各部分之间的联系最小。
        c.重新定义父图,即第b步中的每个部分作为父图中的一个加工。
        d.重新建立各子图,即第b步中的每个部分都是一张子图。
        e.为所有的加工重新命名并编号。
        ④分解尽可能均匀。
        ⑤先考虑确定状态,忽略琐碎的细节。
        ⑥随时准备重画。
        (3)分解的程度。
        在自顶向下画数据流图时,为了便于对分解层数进行把握,可以参照以下几条与分解有关的原则。
        ①7加减2。
        ②分解应自然,概念上应合理、清晰。
        ③只要不影响DFD的易理解性,可适当增加子加工数量,以减少层数。
        ④一般来说,上层分解得快一些(即多分解几个加工),下层分解得慢一些(即少分解几个加工)。
        ⑤分解要均匀。
 
       数据流
        数据流由一组固定成分的数据组成,表示数据的流向。在DFD中,数据流的流向可以有以下几种:从一个加工流向另一个加工;从加工流向数据存储(写);从数据存储流向加工(读);从外部实体流向加工(输入);从加工流向外部实体(输出)。
        DFD中的每个数据流用一个定义明确的名字表示。除了流向数据存储或从数据存储流出的数据流不必命名外,每个数据流都必须有一个合适的名字,以反映该数据流的含义。
        数据流或者由具体的数据属性(也称为数据结构)构成,或者由其他数据流构成。组合数据流是由其他数据流构成的数据流,它们用于在高层的数据流图中组合相似的数据流,以使数据流图更便于阅读。
        控制流是对数据流图的补充,采用虚线表示,是对由触发系统功能的事件进行描述。
        另外,一个加工可以有多个输入数据流和多个输出数据流,此时可以加上一些扩充字符符号或图形元素来描述多个数据流之间的关系。如:
        (1)星号(*)。星号表示数据流之间存在“与”关系。如果是输入流则表示所有输入数据流全部到达后才能进行加工处理;如果是输出流则表示加工结束将同时产生所有的输出数据流。
        (2)加号(+)。加号表示数据流之间存在“或”关系。如果是输入流则表示其中任何一个输入数据流到达后就能进行加工处理;如果是输出流则表示加工处理的结果是至少产生其中一个输出数据流。
        (3)异或(⊕)。异或表示数据流之间存在“互斥”关系。如果是输入流则表示当且仅当其中一个输入流到达后才能进行加工处理;如果是输出流则表示加工处理的结果是仅产生这些输出数据流中的一个。
   题号导航      2013年上半年 软件设计师 上午试卷 综合知识   本试卷我的完整做题情况  
1 /
2 /
3 /
4 /
5 /
6 /
7 /
8 /
9 /
10 /
11 /
12 /
13 /
14 /
15 /
 
16 /
17 /
18 /
19 /
20 /
21 /
22 /
23 /
24 /
25 /
26 /
27 /
28 /
29 /
30 /
 
31 /
32 /
33 /
34 /
35 /
36 /
37 /
38 /
39 /
40 /
41 /
42 /
43 /
44 /
45 /
 
46 /
47 /
48 /
49 /
50 /
51 /
52 /
53 /
54 /
55 /
56 /
57 /
58 /
59 /
60 /
 
61 /
62 /
63 /
64 /
65 /
66 /
67 /
68 /
69 /
70 /
71 /
72 /
73 /
74 /
75 /
 
第29题    在手机中做本题