免费智能真题库 > 历年试卷 > 软件设计师 > 2013年下半年 软件设计师 上午试卷 综合知识
  第38题      
  知识点:   活动图   线程
  关键词:   UML   活动图   线程        章/节:   计算机软件知识       

 
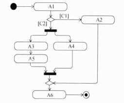
在执行如下所示的UML活动图时,能同时运行的最大线程数为(38)。
 
 
  A.  4
 
  B.  3
 
  C.  2
 
  D.  1
 
 
 

  相关试题:计算机软件知识          更多>  
 
  第60题    2021年下半年  
   30%
归并排序算法在排序过程中,将待排序数组分为两个大小相同的子数组,分别对两个子数组采用归并排序算法进行排序,排好序的两个子数..
  第67题    2018年上半年  
   31%
在Linux中,要更改一个文件的权限设置可使用(  )命令。
  第47题    2025年上半年  
   0%
若对关系R(A,B,C,D)进行化π1,3(R)运算,则该关系运算与(52)等价,表示(53)。
   知识点讲解    
   · 活动图    · 线程
 
       活动图
        活动图(Activity Diagram)是一种特殊的状态图,它展现了在系统内从一个活动到另一个活动的流程。
        活动图专注于系统的动态视图,它对于系统的功能建模特别重要,并强调对象间的控制流程。活动图一般包括活动状态和动作状态、转换和对象。当对一个系统的动态方面进行建模时,通常有两种使用活动图的方式:对工作流建模;对操作建模。
 
       线程
               线程的基本概念
               线程是比进程更小的能独立运行的基本单位。在引入线程的操作系统中,线程是进程中的一个实体,是系统独立分配和调度的基本单位。线程自己基本上不拥有资源,只拥有一点在运行中必不可少的资源(如程序计数器、一组寄存器和栈),但它可与同属一个进程的其他线程共享该进程所占用的全部资源。一个线程可以创建和撤销另一个线程,同一个进程中的多个线程之间可以并发执行。线程也同样有就绪、等待和运行3种基本状态。
               线程的分类
               线程的分类如下。
               (1)用户级线程。不依赖于内核,该类线程的创建、撤销和切换都不利用系统调用实现。
               (2)内核支持线程。依赖于内核,即无论是用户进程中的线程,还是系统中的线程,它们的创建、撤销和切换都利用系统调用实现。
               (3)同时实现了两种类型的线程。
               线程与进程的比较
               下面介绍线程与进程的比较。
               (1)调度。将线程作为调度和分配的基本单位,进程作为拥有资源的基本单位。
               (2)并发性。不仅进程之间可并发执行,而且同一个进程中的多个线程之间也可并发执行。
               (3)拥有资源。进程是拥有资源的一个独立单位,线程不拥有系统资源,但可访问隶属于进程的资源。
               (4)系统开销。在创建或撤销进程时,由于系统都要为之分配和回收资源,导致系统的开销明显地大于创建或撤销线程时的开销。
   题号导航      2013年下半年 软件设计师 上午试卷 综合知识   本试卷我的完整做题情况  
1 /
2 /
3 /
4 /
5 /
6 /
7 /
8 /
9 /
10 /
11 /
12 /
13 /
14 /
15 /
 
16 /
17 /
18 /
19 /
20 /
21 /
22 /
23 /
24 /
25 /
26 /
27 /
28 /
29 /
30 /
 
31 /
32 /
33 /
34 /
35 /
36 /
37 /
38 /
39 /
40 /
41 /
42 /
43 /
44 /
45 /
 
46 /
47 /
48 /
49 /
50 /
51 /
52 /
53 /
54 /
55 /
56 /
57 /
58 /
59 /
60 /
 
61 /
62 /
63 /
64 /
65 /
66 /
67 /
68 /
69 /
70 /
71 /
72 /
73 /
74 /
75 /
 
第38题    在手机中做本题