" name="Keywords"> " name="Description">
免费智能真题库 > 历年试卷 > 网络工程师 > 2018年下半年 网络工程师 上午试卷 综合知识
  第7题      
  知识点:   活动图
  关键词:   活动图   里程碑   软件项目        章/节:   系统开发基础知识       

 
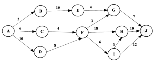
某软件项目的活动图如下图所示,其中顶点表示项目里程碑,连接顶点的边表示包含的活动,边上的数字表示活动的持续时间(天),则完成该项目的最少时间为(7)天。活动FG的松驰时间为(8)天。


 
 
  A.  20
 
  B.  37
 
  C.  38
 
  D.  46
 
 
 

  相关试题:系统开发基础知识          更多>  
 
  第6题    2014年上半年  
   53%
以下关于进度管理工具Gantt图的叙述中,不正确的是(6)。
  第10题    2018年上半年  
   21%
某软件项目的活动图如下图所示,其中顶点表示项目里程碑,连接顶点的边表示包含的活动,边上的数字表示活动的持续天数,则完成该..
  第6题    2010年下半年  
   25%
某项目组拟开发一个大规模系统,且具备了相关领域及类似规模系统的开发经验。下列过程模型中,(6)最合适开发此项目。
   知识点讲解    
   · 活动图
 
       活动图
        活动图(activity diagram)是一种特殊的状态图,它展现了在系统内从一个活动到另一个活动的流程。活动图专注于系统的动态视图。它对于系统的功能建模特别重要,并强调对象间的控制流程。
        活动图一般包括:活动状态和动作状态、转换和对象。
        用活动图建模的控制流中,会发生一些事情。你可能要对一个设置属性值或返回一些值的表达式求值。你也可能要调用对象上的操作,发送一个消息给对象,甚至创建或销毁对象,这些可执行的原子计算被称作动作状态,因为它们是该系统的状态,每个原子计算都代表一个动作的执行。动作状态不能被分解。动作状态是原子的,也就是说事件可以发生,但动作状态的工作不能被中断。最后,动作状态的工作所占用的执行时间一般被看作是可忽略的。
        活动状态能够进一步被分解,它们的活动由其他的活动图表示。活动状态不是原子的,它们可以被中断。并且,一般来说,还要考虑到它需要花费一段时间来完成。可以把一个动作状态看作一个活动状态的特例。类似地,可以把一个活动状态看作一个组合,它的控制流由其他的活动状态和动作状态组成。
        活动图可以表示分支和汇合。
        当对一个系统的动态方面建模时,通常有两种使用活动图的方式:
        (1)对工作流建模。此时所关注的是与系统进行协作的参与者所观察到的活动。工作流常常位于软件系统的边缘,用于可视化、详述、构造和文档化开发系统所涉及的业务过程。在活动图的这种用法中,对对象流的建模是特别重要的。
        (2)对操作建模。此时是把活动图作为流程图使用,对一个计算的细节部分建模。在活动图的这种用法中,对分文、分叉和汇合状态的建模是特别重要的。用于这种方式的活动图语境包括该操作的参数和它的局部对象。
   题号导航      2018年下半年 网络工程师 上午试卷 综合知识   本试卷我的完整做题情况  
1 /
2 /
3 /
4 /
5 /
6 /
7 /
8 /
9 /
10 /
11 /
12 /
13 /
14 /
15 /
 
16 /
17 /
18 /
19 /
20 /
21 /
22 /
23 /
24 /
25 /
26 /
27 /
28 /
29 /
30 /
 
31 /
32 /
33 /
34 /
35 /
36 /
37 /
38 /
39 /
40 /
41 /
42 /
43 /
44 /
45 /
 
46 /
47 /
48 /
49 /
50 /
51 /
52 /
53 /
54 /
55 /
56 /
57 /
58 /
59 /
60 /
 
61 /
62 /
63 /
64 /
65 /
66 /
67 /
68 /
69 /
70 /
71 /
72 /
73 /
74 /
75 /
 
第7题    在手机中做本题