免费智能真题库 > 历年试卷 > 信息系统监理师 > 2010年上半年 信息系统监理师 上午试卷 综合知识
  第50题      
  知识点:   关键路径   时差   作业
  关键词:   关键路径   网络        章/节:   进度控制       

 
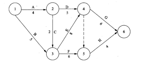
某工程的双代号网络计划如下图所示,则其关键路径时间为(50)天,作业F的自由时差为(51)天,节点5的最迟完成时间为(52)天。

 
 
  A.  20
 
  B.  19
 
  C.  16
 
  D.  15
 
 
 

  相关试题:进度控制          更多>  
 
  第50题    2011年下半年  
   45%
应用S曲线比较法时,通过比较实际进度S曲线和计划进度S曲线,可以(50)。
  第43题    2015年上半年  
   52%
在信息系统工程项目实施过程中,因承建单位原因造成实际进度拖后,监理工程师确认承建单位修改后的实施进度计划,表示(43)。
  第52题    2015年下半年  
   61%
根据某信息化建设工程网络计划,A工作的自由时差为5天,总时差为7天。监理工程师在检查实施进度时发现只有该工作实际进度拖延,且..
   知识点讲解    
   · 关键路径    · 时差    · 作业
 
       关键路径
        关键路径法(Critical Path Method,CPM)是借助网络图和各活动所需时间(估计值)计算每一活动的最早或最迟开始和结束时间。CPM法的关键是计算总时差,这样可决定哪一个活动有最小的时间弹性。
        CPM算法的核心思想是将WBS分解的活动按逻辑关系加以整合,统筹计算出整个项目的工期和关键路径。
        在网络图中的某些活动可以并行地进行,所以完成工程的最少时间是从开始顶点到结束顶点的最长路径长度。移动从开始顶点到结束顶点的最长(工作时间之和最大)路径移动为关键路径(临界路径),关键路径上的活动称为关键活动。在一条路径中,每个工作的时间之和等于工程工期,这条路径就是关键路径。
        与关键路径相关的概念还有最早开始时间、最迟开始时间、总时差和自由时差等。
        (1)最早开始时间(最早开工时间):一个工作可以最早开始的时间。工作的最早开始时间应为其各项紧前工作的最早完成时间的最大值。
        (2)最迟开始时间(最迟开工时间、最晚开工时间):不延误总工期的前提下,工作可以最晚的开始时间。
        (3)总时差:不延误总工期的前提下,工作的机动时间。
        (4)自由时差:不延误紧后工作开工的前提下,工作的机动时间。工作的自由时差等于其各项紧后工作最早开始时间的最小值与本项目最早完工时间之差。
        工作的总时差也等于其紧后工作总时差的最小值与该工作自由时差之和。若在一条路径中,每个工作的总时差都是0,这条路径就是关键路径。
        为了找出给定的网络图的关键活动,从而找出关键路径,需先定义几个重要的量。
        .Vej)、Vlj):顶点j事件最早开始时间、最迟开始时间。
        .ei)、li):活动i最早开始时间、最迟开始时间。
        从源点Vl到某顶点Vj的最长路径长度称为事件Vj的最早开始时间,记做Vej)。Vej)也是以Vj为起点的出边<VjVk>所表示的活动ai的最早开始时间ei)。
        在不推迟整个工程完成的前提下,一个事件Vj允许的最迟开始时间,记做Vlj)。显然,li)=Vlj)-(ai所需时间),其中jai活动的终点。满足条件li)=ei)的活动为关键活动。
        求顶点VjVej)和Vlj)可按以下两步来做。
        (1)由源点开始向汇点递推。
        
        其中,E1是网络中以Vj为终点的入边集合。
        (2)由汇点开始向源点递推。
        
        其中,E2是网络中以Vj为起点的出边集合。
        要求一个网络图的关键路径,一般需要根据以上变量列出一张表格,逐个检查。例如,求下图所示的网络图中关键路径的表格如下表所示。
        
        网络图的例子
        
        求关键路径的过程
        根据上表,上图的关键活动为a1、a2、a4、a8和a9,其对应的关键路径有两条,分别为(V1,V2,V5,V7)和(V1,V4,V5,V7),长度都是10。
        在一个网络图中,关键路径可以不止一条。例如,下图中的关键路径共有4条,分别是1→2→3→5→7→8,1→2→3→4→5→7→8,1→2→3→5→6→7→8及1→2→3→4→5→6→7→8。在下图中,从节点6到节点7中的虚线表示虚活动,虚活动只表示一种逻辑关系,没有历时。在下图中,表示活动L要在H、I和J都完成后才能开始。
        
        有虚活动的网络图
 
       时差
        一般来说,不在关键路径上的活动时间的缩短,不能缩短整个工期。而不在关键路径上的活动时间的延长,可能导致关键路径的变化,因此可能影响整个工期。
        活动的总时差是指在不延误总工期的前提下,该活动的机动时间。活动的总时差等于该活动最迟完成时间与最早完成时间之差,或该活动最迟开始时间与最早开始时间之差。
        活动的自由时差是指在不影响紧后活动的最早开始时间前提下,该活动的机动时间。活动自由时差的计算应按以下两种情况分别考虑:
        (1)对于有紧后活动的活动,其自由时差等于所有紧后活动最早开始时间减本活动最早完成时间所得之差的最小值。例如,假设活动A的最早完成时间为4,活动A有两项紧后活动A和B,其最早开始时间分别为5和7,则A的自由时差为1。
        (2)对于没有紧后活动的活动,也就是以网络计划终点结点为完成结点的活动,其自由时差等于计划工期与本活动最早完成时间之差。
        :对于网络计划中以终点结点为完成结点的活动,其自由时差与总时差相等。此外,由于活动的自由时差是其总时差的构成部分,所以,当活动的总时差为零时,其自由时差必然为零,可不必进行专门计算。
 
       作业
        作业(Job)是用户提交给操作系统计算的一个独立任务。一般每个作业必须经过若干个相对独立又相互关联的顺序加工步骤才能得到结果,其中,每一个加工步骤称一个作业步(Job Step),例如,一个作业可分成编译、连接装配和运行三个作业步,往往上一个作业步的输出是下一个作业步的输入。作业由用户组织,作业步由用户指定,一个作业从提交给系统,直到运行结束获得结果,要经过提交、收容、执行和完成四个阶段。
   题号导航      2010年上半年 信息系统监理师 上午试卷 综合知识   本试卷我的完整做题情况  
1 /
2 /
3 /
4 /
5 /
6 /
7 /
8 /
9 /
10 /
11 /
12 /
13 /
14 /
15 /
 
16 /
17 /
18 /
19 /
20 /
21 /
22 /
23 /
24 /
25 /
26 /
27 /
28 /
29 /
30 /
 
31 /
32 /
33 /
34 /
35 /
36 /
37 /
38 /
39 /
40 /
41 /
42 /
43 /
44 /
45 /
 
46 /
47 /
48 /
49 /
50 /
51 /
52 /
53 /
54 /
55 /
56 /
57 /
58 /
59 /
60 /
 
61 /
62 /
63 /
64 /
65 /
66 /
67 /
68 /
69 /
70 /
71 /
72 /
73 /
74 /
75 /
 
第50题    在手机中做本题