免费智能真题库 > 历年试卷 > 信息系统监理师 > 2020年下半年 信息系统监理师 上午试卷 综合知识
  第61题      
  知识点:   网络图法
  章/节:   进度控制       

 
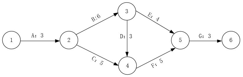
某工程计划如图所示,活动A从3月1日开始,活动E最迟应在3月( )日开始。


 
 
  A.  9
 
  B.  11
 
  C.  12
 
  D.  13
 
 
 

  相关试题:进度控制          更多>  
 
  第53题    2013年上半年  
   32%
监理工程师在检查工程网络计划执行过程中,如果发现某工作进度拖后,判断受影响的工作一定是该工作的(53)。
  第51题    2011年上半年  
   55%
下列说法错误的是(51)。
  第49题    2018年下半年  
   42%
有关建设单位、承建单位、监理单位三方进度控制的描述,不正确的是:( )。
   知识点讲解    
   · 网络图法
 
       网络图法
        网络图法是进度控制考查的重点,在这方面,主要需掌握网络图的绘制规则,有关时差和关键路径的概念,以及工期的计算和调整。
        网络图是由箭线和节点组成,用来表示工作流程的有向网状图形。网络图有单代号网络和双代号网络两种,它将研究和开发的项目及其控制过程作为一个系统来加以处理,通过将组成系统的各项工作整合成网络形式,对整个系统统筹规划、合理安排,有效地利用人力、物力,以最少的时间和资源消耗来达到整个系统的预期目标,是一种十分有效的进度管理方法。
                      网络图的绘制规则
                      网络图的绘制规则如下。
                      (1)网络图是有方向的,不允许出现回路。
                      (2)直接连接两个相邻节点之间的活动只能有一个。
                      (3)一个作业不能在两处出现。
                      (4)箭线首尾必有节点,不能从箭线中间引出另一条箭线。
                      (5)网络图必须只有一个网络始点和一个终点。
                      (6)各项活动之间的衔接必须按逻辑关系进行。
                      (7)工作或事件的字母代号或数字编号在同一网络图中不允许重复使用,每条箭线箭头节点的编号必须大于其箭尾节点的编号。
                      关键路径
                      关键路径法(Critical Path Method,CPM)是借助网络图和各活动所需时间(估计值)计算每一活动的最早或最迟开始和结束时间。CPM法的关键是计算总时差,这样可决定哪一个活动有最小的时间弹性。
                      CPM算法的核心思想是将WBS分解的活动按逻辑关系加以整合,统筹计算出整个项目的工期和关键路径。
                      在网络图中的某些活动可以并行地进行,所以完成工程的最少时间是从开始顶点到结束顶点的最长路径长度。移动从开始顶点到结束顶点的最长(工作时间之和最大)路径移动为关键路径(临界路径),关键路径上的活动称为关键活动。在一条路径中,每个工作的时间之和等于工程工期,这条路径就是关键路径。
                      与关键路径相关的概念还有最早开始时间、最迟开始时间、总时差和自由时差等。
                      (1)最早开始时间(最早开工时间):一个工作可以最早开始的时间。工作的最早开始时间应为其各项紧前工作的最早完成时间的最大值。
                      (2)最迟开始时间(最迟开工时间、最晚开工时间):不延误总工期的前提下,工作可以最晚的开始时间。
                      (3)总时差:不延误总工期的前提下,工作的机动时间。
                      (4)自由时差:不延误紧后工作开工的前提下,工作的机动时间。工作的自由时差等于其各项紧后工作最早开始时间的最小值与本项目最早完工时间之差。
                      工作的总时差也等于其紧后工作总时差的最小值与该工作自由时差之和。若在一条路径中,每个工作的总时差都是0,这条路径就是关键路径。
                      为了找出给定的网络图的关键活动,从而找出关键路径,需先定义几个重要的量。
                      .Vej)、Vlj):顶点j事件最早开始时间、最迟开始时间。
                      .ei)、li):活动i最早开始时间、最迟开始时间。
                      从源点Vl到某顶点Vj的最长路径长度称为事件Vj的最早开始时间,记做Vej)。Vej)也是以Vj为起点的出边<VjVk>所表示的活动ai的最早开始时间ei)。
                      在不推迟整个工程完成的前提下,一个事件Vj允许的最迟开始时间,记做Vlj)。显然,li)=Vlj)-(ai所需时间),其中jai活动的终点。满足条件li)=ei)的活动为关键活动。
                      求顶点VjVej)和Vlj)可按以下两步来做。
                      (1)由源点开始向汇点递推。
                      
                      其中,E1是网络中以Vj为终点的入边集合。
                      (2)由汇点开始向源点递推。
                      
                      其中,E2是网络中以Vj为起点的出边集合。
                      要求一个网络图的关键路径,一般需要根据以上变量列出一张表格,逐个检查。例如,求下图所示的网络图中关键路径的表格如下表所示。
                      
                      网络图的例子
                      
                      求关键路径的过程
                      根据上表,上图的关键活动为a1、a2、a4、a8和a9,其对应的关键路径有两条,分别为(V1,V2,V5,V7)和(V1,V4,V5,V7),长度都是10。
                      在一个网络图中,关键路径可以不止一条。例如,下图中的关键路径共有4条,分别是1→2→3→5→7→8,1→2→3→4→5→7→8,1→2→3→5→6→7→8及1→2→3→4→5→6→7→8。在下图中,从节点6到节点7中的虚线表示虚活动,虚活动只表示一种逻辑关系,没有历时。在下图中,表示活动L要在H、I和J都完成后才能开始。
                      
                      有虚活动的网络图
                      分析进度偏差的影响
                      将实际进度与计划进度进行比较并分析结果,以保持项目工期不变,保证项目质量和所耗费用最少为目标,做出有效对策,进行项目进度更新,这是进行进度控制和进度管理的宗旨。项目进度更新主要包括两方面的工作,即分析进度偏差的影响和进行项目进度计划的调整。
                      当出现进度偏差时,应分析该偏差对后续工作及总工期的影响,主要包括以下几方面。
                      (1)分析产生进度偏差的工作是否为关键活动。若出现偏差的工作是关键活动,则无论其偏差大小,对后续工作及总工期都会产生影响,必须进行进度计划更新;若出现偏差的工作为非关键活动,则需根据偏差值与总时差和自由时差的大小关系,确定其对后续工作和总工期的影响程度。
                      (2)分析进度偏差是否大于总时差。如果工作的进度偏差大于总时差,则必将影响后续工作和总工期,应采取相应的调整措施;若工作的进度偏差小于或等于该工作的总时差,表明对总工期无影响,但其对后续工作的影响,需要将其偏差与其自由时差相比较才能做出判断。
                      (3)分析进度偏差是否大于自由时差。如果工作的进度偏差大于该工作的自由时差,则会对后续工作产生影响,如何调整应根据后续工作允许影响的程度而定;若工作的进度偏差小于或等于该工作的自由时差,则对后续工作无影响,进度计划可不进行调整更新。
                      经过上述分析,项目管理人员可以确定是否应该调整产生进度偏差的工作和调整偏差值的大小,以便确定应采取的调整更新措施,形成新的符合实际进度情况和计划目标的进度计划。
                      项目进度计划的调整
                      项目进度计划的调整往往是一个持续反复的过程,一般分为以下几种情况。
                      (1)关键活动的调整。
                      关键活动调整方法的原理来自于关键路线法。在项目计划图中,关键路径上的活动没有机动时间,称为关键活动。由于其中任一工作持续时间的缩短或延长都会对整个项目工期产生影响,因此,关键活动的调整是项目进度更新的重点,包括以下两种情况。
                      第一种情况:关键活动的实际进度较计划进度提前时的调整方法。
                      若仅要求按计划工期执行,则可利用该机会降低资源强度及费用。实现的方法是选择后续关键活动中资源消耗量大或直接费用高的予以适当延长,延长的时间不应超过已完成的关键活动提前的量;若要求缩短工期,则应将计划的未完成部分作为一个新的计划,重新计算与调整,按新的计划执行,并保证新的关键活动按新计算的时间完成。
                      第二种情况:关键活动的实际进度较计划进度落后时的调整方法。
                      调整的目标就是采取措施将耽误的时间补回来,以保证项目按期完成。调整的方法主要是缩短后续关键活动的持续时间。这种方法是指在原计划的基础上,采取组织措施或技术措施缩短后续工作的持续时间以弥补时间损失,以确保总工期不延长。
                      实际上,不得不延长工期的情况非常普遍,项目经理在项目总计划的制定中要充分考虑到适当的时间冗余。当预计到项目时间要拖延时应该分析原因,第一时间向项目干系人通报,并征求建设单位的意见,这也是项目进度监理与控制的重要工作内容。
                      (2)非关键活动的调整。
                      当非关键线路上某些工作的持续时间延长,但不超过其时差范围时,则不会影响项目工期,进度计划不必调整。为了更充分地利用资源,降低成本,必要时可对非关键活动的时差做适当调整,但不得超出总时差,且每次调整均需进行时间参数计算,以观察每次调整对计划的影响。
                      非关键活动的调整方法有三种:在总时差范围内延长非关键活动的持续时间、缩短工作的持续时间、调整工作的开始或完成时间。
                      当非关键线路上某些工作的持续时间延长而超出总时差范围时,则必然影响整个项目工期,关键线路就会转移。这时,其调整方法与关键线路的调整方法相同。
                      .增减工作项目。由于编制计划时考虑不周,或因某些原因需要增加或取消某些工作,则需重新调整网络计划,计算网络参数。由于增减工作项目不应影响原计划总的逻辑关系,以便使原计划得以实施,因此,增减工作项目只能改变局部的逻辑关系。
                      增加工作项目,只是对原遗漏或不具体的逻辑关系进行补充;减少工作项目,只是对提前完成的工作项目或原不应设置的工作项目予以消除。增减工作项目后,应重新计算网络时间参数,以分析此项调整是否对原计划工期产生影响,若有影响,应采取措施使之保持不变。
                      .资源调整。若资源供应发生异常,应进行资源调整。资源供应发生异常是指因供应满足不了需要,如资源强度降低或中断,影响到计划工期的实现。资源调整的前提是保证工期不变或使工期更加合理。资源调整的方法是进行资源优化。
                      所谓进度压缩,是指在不改变项目范围的条件下缩短项目进度的途径。常用的进度压缩的技术有赶工、快速跟进等。进度压缩的方法有加强控制、资源优化(增加资源数量)、提高资源利用率(提高资源质量)、改变工艺或流程、加强沟通、加班、外包、缩小范围等。
                      在软件工程项目中必须处理好进度与质量之间的关系。在软件开发实践中常常会遇到这样的事情:当任务未能按计划完成时,只好设法加快进度赶上去。但事实告诉我们,在进度压力下赶任务,其结果往往是以牺牲产品的质量为代价的。因此,当某一开发项目的进度有可能延期时,应该分析延期原因,加以补救,不应该盲目地投入新的人员或推迟预定完成日期。Brooks曾指出:为延期的软件项目增加人员将可能使其进度更慢。
   题号导航      2020年下半年 信息系统监理师 上午试卷 综合知识   本试卷我的完整做题情况  
1 /
2 /
3 /
4 /
5 /
6 /
7 /
8 /
9 /
10 /
11 /
12 /
13 /
14 /
15 /
 
16 /
17 /
18 /
19 /
20 /
21 /
22 /
23 /
24 /
25 /
26 /
27 /
28 /
29 /
30 /
 
31 /
32 /
33 /
34 /
35 /
36 /
37 /
38 /
39 /
40 /
41 /
42 /
43 /
44 /
45 /
 
46 /
47 /
48 /
49 /
50 /
51 /
52 /
53 /
54 /
55 /
56 /
57 /
58 /
59 /
60 /
 
61 /
62 /
63 /
64 /
65 /
66 /
67 /
68 /
69 /
70 /
71 /
72 /
73 /
74 /
75 /
 
第61题    在手机中做本题