免费智能真题库 > 历年试卷 > 信息系统管理工程师 > 2014年上半年 信息系统管理工程师 上午试卷 综合知识
  第2题      
  知识点:   并行处理的概念
  关键词:   计算机系统        章/节:   计算机硬件知识       

 
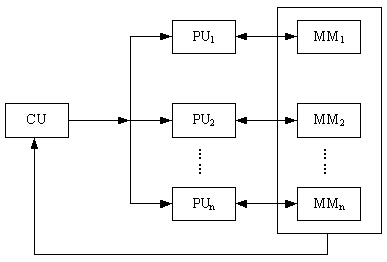
某计算机系统的机构如下图所示,其中,Pui(i=1,……,n)为处理单元,CU为控制部件,MMj(j=1,……,n)为存储部件。该计算机( )
 
 
  A.  通过时间重叠实现并行性
 
  B.  通过资源重复实现并行性
 
  C.  通过资源共享实现并行性
 
  D.  通过精简指令系统实现并行性
 
 
 

  相关试题:计算机硬件知识          更多>  
 
  第35题    2023年下半年  
   0%
为了充分发挥问题求解过程中处理的并行性,将两个以上的处理机互连起来,彼此进行通信协调,以便共同求解一个大问题的计算机系统..
  第1题    2011年上半年  
   28%
使用(1)技术,计算机的微处理器可以在完成一条指令前就开始执行下一条指令。
  第2题    2018年上半年  
   22%
以下关于GPU的叙述中,错误的是( ) 。
   知识点讲解    
   · 并行处理的概念
 
       并行处理的概念
        所谓并行性,是指计算机系统具有可以同时进行运算或操作的特性,它包括同时性与并发性两种含义。同时性指的是两个或两个以上的事件在同一时刻发生,并发性指的是两个或两个以上的事件在同一时间间隔发生。计算机系统中提高并行性的措施多种多样,就其基本思想而言,可归纳为如下3条途径:
        (1)时间重叠。在并行性概念中引入时间因素,即多个处理过程在时间上相互错开,轮流重叠地使用同一套硬件设备的各个部分,以加快硬件周转时间而赢得速度。因此时间重叠可称为时间并行技术。
        (2)资源重复。在并行性概念中引入空间因素,以数量取胜的原则,通过重复设置硬件资源,大幅度提高计算机系统的性能。随着硬件价格的降低,这种方式在单处理机中广泛使用,而多处理机本身就是实施“资源重复”原理的结果。因此资源重复可称为空间并行技术。
        (3)资源共享。这是一种软件方法,它使多个任务按一定时间顺序轮流使用同一套硬件设备。例如多道程序、分时系统就是遵循“资源共享”原理而产生的。资源共享既降低了成本,又提高了计算机设备的利用率。
        上述三种并行性反映了计算机系统结构向高性能发展的自然趋势:一方面在单处理机内部广泛采用多种并行性措施,另一方面发展各种多计算机系统。
        计算机的基本工作过程是执行一串指令,对一组数据进行处理。通常,把计算机执行的指令序列称为“指令流”,指令流调用的数据序列称为“数据流”,把计算机同时可处理的指令或数据的个数称为“多重性”。根据指令流和数据流的多重性可将计算机系统分为下列4类(S-single、单一的,I-instruction、指令,M-multiple、多倍的,D-data、数据)。
        (1)单指令流单数据流(SISD):这类计算机的指令部件一次只对一条指令进行译码,并且只对一个操作部件分配数据。传统的单处理机属于SISD计算机。
        (2)单指令流多数据流(SIMD):这类计算机有多个处理单元,它们在同一个控制部件的管理下执行同一指令,但向各个处理单元分配各自需要的不同数据。并行处理机属于这类计算机。
        (3)多指令流单数据流(MISD):这类计算机包含有多个处理单元,按多条不同指令的要求对同一数据及其中间结果进行不同的处理。这类计算机实际上很少见。
        (4)多指令流多数据流(MIMD):这类计算机包含有多个处理机、存储器和多个控制器,实际上是几个独立的SISD计算机的集合,它们同时运行多个程序并对各自的数据进行处理。多处理机属于这类计算机。
   题号导航      2014年上半年 信息系统管理工程师 上午试卷 综合知识   本试卷我的完整做题情况  
1 /
2 /
3 /
4 /
5 /
6 /
7 /
8 /
9 /
10 /
11 /
12 /
13 /
14 /
15 /
 
16 /
17 /
18 /
19 /
20 /
21 /
22 /
23 /
24 /
25 /
26 /
27 /
28 /
29 /
30 /
 
31 /
32 /
33 /
34 /
35 /
36 /
37 /
38 /
39 /
40 /
41 /
42 /
43 /
44 /
45 /
 
46 /
47 /
48 /
49 /
50 /
51 /
52 /
53 /
54 /
55 /
56 /
57 /
58 /
59 /
60 /
 
61 /
62 /
63 /
64 /
65 /
66 /
67 /
68 /
69 /
70 /
71 /
72 /
73 /
74 /
75 /
 
第2题    在手机中做本题