免费智能真题库 > 历年试卷 > 信息系统管理工程师 > 2015年上半年 信息系统管理工程师 上午试卷 综合知识
  第56题      
  知识点:   系统可靠性   性能评价标准   可靠性
  关键词:   系统可靠性   可靠性        章/节:   系统评价基础知识       

 
对于系统可靠性的评价属于(56)。
 
 
  A.  目标评价
 
  B.  功能评价
 
  C.  性能评价
 
  D.  经济效果评价
 
 
 

  相关试题:系统评价基础知识          更多>  
 
  第51题    2011年上半年  
   31%
系统评价方法主要有4大类,德尔菲法(Delphi)是属于(51)。
  第12题    2024年上半年  
   0%
企业信息化建设需要大量的资金投入,成本支出项目多且数额大。在企业信息化建设成本支出项目中,系统切换费用属于( )。
  第70题    2022年下半年  
   0%
信息系统评价中,系统改进建议是系统运行评价的最后一个环节,它是评价的最终结果也是系统评价的成败所在。常见的系统改进建议有两..
   知识点讲解    
   · 系统可靠性    · 性能评价标准    · 可靠性
 
       系统可靠性
               可靠性定义和指标
               计算机系统的硬件故障通常是由元器件的失效引起的。对元器件进行寿命试验并根据实际资料统计得知,元器件的可靠性可分为三个阶段。首先,器件工作处于不稳定期,失效率较高;第二阶段,器件进入正常工作期,失效率最低,基本保持常数;第三阶段,元器件开始老化,失效率又重新提高;这就是所谓的“浴盆模型”。因此,应保证在计算机中使用的元器件处于第二阶段。在第一阶段,对元器件应进行老化筛选,而到了第三个阶段则应淘汰计算机。
               计算机系统的可靠性用平均无故障时间(MTTF)来度量,即计算机系统平均能够正常运行多长时间,才发生一次故障。系统的可靠性越高,平均无故障时间越长。可维护性用平均维修时间(MTTR)来度量,即系统发生故障后维修和重新恢复正常运行平均花费的时间。系统的可维护性越好,平均维修时间越短。
               计算机系统的可用性定义为:MTTF/ (MTTF+MTTR)×100%。由此可见,计算机系统的可用性定义为系统保持正常运行时间的百分比。这里涵盖了衡量计算机系统的三个重要指标,即可靠性、可维护性、可用性。可用性高不仅意味着设备和系统故障频率低,还意味着故障后的不可用时间很短,能给用户提供更多正常使用的时间。人们常常对可靠性与可用性之间的差异产生误解,两者的定义似乎非常相似。但是两者有一个重要的差别,那就是系统是可维修的还是不可维修的。可靠性通常低于可用性,因为可靠性要求系统在[0,t]的整个时间段内必须正常运行;而对于可用性,要求就没有那么高,系统可以发生故障,然后在时间段[0,t]内修复。
               计算机可靠性模型
               计算机系统是一个复杂系统,而且影响其可靠性的因素相当之多,很难直接对其进行可靠性分析。但通过建立适当的数学模型,把大系统分割成若干子系统,可以简化其分析过程。常见的系统可靠性数学模型有以下三种。
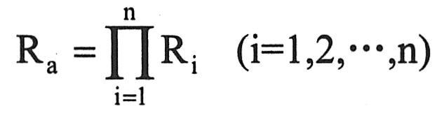
                      串联系统可靠性
                      串联系统是组成系统的所有单元中任一单元失效就会导致整个系统失效的系统。下图为串联系统的可靠性框图。假定各单元是统计独立的,则其可靠性数学模型为:
                      
                      
                      串联系统
                      式中,Ra——系统可靠度;Ri——第i单元可靠度。
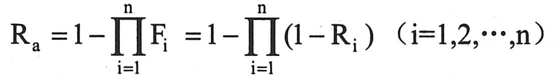
                      并联系统可靠性
                      并联系统是组成系统的所有单元都失效时才失效的系统。下图为并联轴系统的可靠性框图。假定各单元是统计独立的,则其可靠性数学模型为
                      
                      
                      并联系统
                      式中Ra——系统可靠度;
                      Fi——第i单元不可靠度;
                      Ri——第i单元可靠度。
                      并联系统对提高系统的可靠度有显著的效果。
                      混联系统
                      混联系统的两个典型情况为串并联系统如下图一所示和并串联系统如下图二所示。
                      
                      串并联系统
                      
                      并串联系统
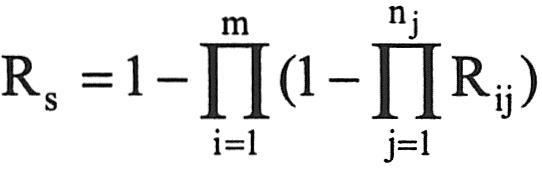
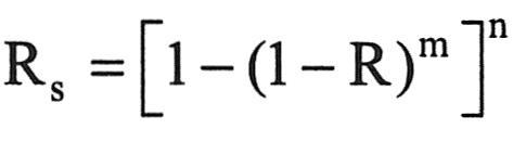
                      串并联系统的数学模型为,当各单元可靠度都相等,均为Rij=R,且m1=m2…=mn=m,则
                      并串联系统的数学模型为,当各单元可靠度都相等,均为Rij=R,且n1=n2=…=nm=n,则Rs=1-(1-Rnm
                      一般串并联系统的可靠度,对单元相同的情况,高于并串联系统的可靠度。
                      提高计算机的可靠性一般采取两项措施:
                      (1)提高元器件质量,改进加工工艺与工艺结构,完善电路设计。
                      (2)发展容错技术,使得在计算机硬件有故障的情况下,计算机仍能继续运行,得出正确的结果。
 
       性能评价标准
        信息系统的性能究竟是怎么样的呢?它可以承担用户所要求的条件吗?这是信息系统被建设完成之后,许多客户都要问的问题,也是我们信息系统的评价的一个方面。
        性能评价时机一般选在项目结束一段时间后,以实际的数据资料为基础,重新衡量信息化建设,为以后相关决策提供借鉴和反馈信息。
        指标体系包括如下内容。
        .系统的可靠性,软件硬件系统的可靠性以及数据可靠性,一般采用评价时间点上的测试结果作为可靠性指标的评价结果。
        .系统效率,反映系统完成各项功能所需的计算资源,如周转时间、响应时间、吞吐量等系统效率指标。
        .系统可维护性,确定系统错误并进行修正的努力程度。
        .系统可扩充性,是指系统处理能力和系统功能的可扩充程度,分为系统结构、系统硬件和系统软件功能可扩充性评价指标。
        .系统可移植性,指系统从一个硬件(软件)环境移植到另一个硬件(软件)环境的难易程度。
        .系统实用性,是指系统运行对组织各部门的业务处理效率的提高等的支持程度如何,以及对系统分析、预测和控制的建议有效性如何。
        .系统适应性,在运行环境、约束条件或用户需求有所变动时的适应能力。
        .系统安全保密性,对用户无意操作或系统软硬件工作安全性的保护措施,以及对自然灾害和外部黑客攻击的安全保密防护。
        下面介绍几个常见指标的概念。
        (1)事务处理响应时间。
        事务处理响应时间描述的是作业输入系统到系统输出结果所需要的时间周期。而时间周期又与系统的用户数量有密切关系。主要测评事务处理响应时间是否在一个可接受的范围内,事务处理响应是否受负载的影响,事务处理响应时间是否在已定义的性能服务级别内等几方面内容。
        可以使用两个基本原则来准确地和可预见性地测量和监控服务——主动监控和被动监控。主动监控意味着创建“人工事务处理”,该事务处理通过指定的间隔周期定期执行主动测试服务。被动监控则在事务处理以及事务处理交互发生时监控事务处理及其交互。主动监控具有固有的可预见性,它在发现错误之前不需要等待一个错误的实际发生,甚至在其实际影响服务间交互之前即可发现错误。经验表明同时使用这两种技术可以得到最佳效果。
        例如,IBM的TPC-C基准测试,可以用来测量每一个事务的响应时间,以及用来模拟键入时间及思考时间,键入时间是指在终端上录入数据所花费的时间,思考时间是指操作人员在终端读取事务的结果,进行下一个事务请求之前所花费的时间。每一个事物都有一个最小键入时间和最小思考时间。
        (2)作业周转时间。
        作业周转时间是常见的一个企业测评指标。在信息系统中,它指的是一个作业到下一个作业所需要的时间。周转时间测量与企业的性质有关。例如一个流通型的企业,需要测量供给量、订货周期、操作周期、配送入店周期等。
        (3)吞吐量。
        系统吞吐量描述的是在给定时间内系统处理的工作量。对于在线事务处理来说,吞吐量是每秒处理多少事务;对于通信网络来说,吞吐量是指每秒传输多少数据包或多少数据位。所以吞吐量的衡量单位是按工作单位(作业、人物、指令)来定义的。性能测评时往往将吞吐量作为主要的度量标准。例如TEMS Evaluation就提供了系统吞吐量的测评。
        (4)故障恢复时间。
        一般指平均故障恢复时间,表示信息系统从发生故障到恢复规定功能所需要的时间。但必须说明,随着信息系统规模的增大,修复时间可能会加长。所以修复时间是一个随机变量。
        (5)控制台响应时间。
        控制台响应时间,指的是控制台响应事务的时间。
        除了上面几个测量标准之外,还有许多其他的测量标准,例如利用率、可靠性等。利用率指标以系统资源处于忙状态的时间为度量标准。系统资源是指计算机系统中能分配给某项任务的所有设施,包括系统中的硬件、软件和数据资源。系统未被利用的时间被称为空闲时间。对一般的系统而言,系统空闲与忙的时间片均匀地分布在整个运行时间内,因此系统资源既不能太忙,也不能太闲。可靠性指标用于描述系统处理用户工作的可用性或处理过程失败或错误的概率。一般人们更关注两次故障之间的工作时间分布特征。
        现在许多厂商都提供系统性能监控、测量的工具,我们可以采用这些工具对系统性能进行测评。
 
       可靠性
        (1)完备性。完备性评价指标及测量,如下表所示。
        
        完备性评价指标及测量
        (2)连续性。连续性评价指标及测量,如下表所示。
        
        连续性评价指标及测量
        
        (3)稳定性。稳定性评价指标及测量,如下表所示。
        
        稳定性评价指标及测量
        (4)有效性。有效性评价指标及测量,如下表所示。
        
        有效性评价指标及测量
        (5)可追溯性。可追溯性评价指标及测量,如下表所示。
        
        可追溯性评价指标及测量
        
   题号导航      2015年上半年 信息系统管理工程师 上午试卷 综合知识   本试卷我的完整做题情况  
1 /
2 /
3 /
4 /
5 /
6 /
7 /
8 /
9 /
10 /
11 /
12 /
13 /
14 /
15 /
 
16 /
17 /
18 /
19 /
20 /
21 /
22 /
23 /
24 /
25 /
26 /
27 /
28 /
29 /
30 /
 
31 /
32 /
33 /
34 /
35 /
36 /
37 /
38 /
39 /
40 /
41 /
42 /
43 /
44 /
45 /
 
46 /
47 /
48 /
49 /
50 /
51 /
52 /
53 /
54 /
55 /
56 /
57 /
58 /
59 /
60 /
 
61 /
62 /
63 /
64 /
65 /
66 /
67 /
68 /
69 /
70 /
71 /
72 /
73 /
74 /
75 /
 
第56题    在手机中做本题