首页 > 知识点
       组合
知识路径:  > 应用数学  > 组合分析  > 组合分析
考试要求:掌握      相关知识点:4个      
        设S为具有n个不同元素的n元集,从S中选取r个元素(不考虑其顺序)称为“S的一个r组合”,不同组合的总数记为,有时也用C(nr)或表示。从排列和组合的定义可知,排列与元素的顺序有关,组合与顺序无关。如果两个组合中的元素完全相同,不管元素的顺序如何,都是相同的组合;只有当两个组合中的元素不完全相同时,才是不同的组合。
        
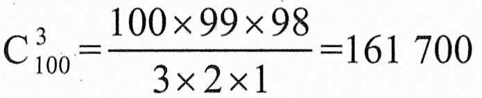
        例子1:在检验产品质量时,通常是从产品中抽出一部分进行检验。现从100件产品中任意抽出3件:
        (1)共有多少种不同的抽法?
        (2)如果100件产品中有2件次品,抽出的3件中恰好1件是次品的抽法有多少种?
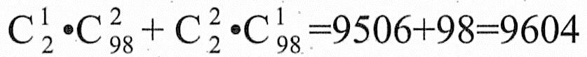
        (3)如果100件产品中有2件次品,抽出的3件中至少有1件是次品的抽法有多少种?
        解:(1)共有(种)
        (2)从2件次品中抽出1件次品的抽法有种,从98件合格产品中抽出2件合格品的抽法有种,因此抽出的3件产品中恰好有1件是次品的抽法的种数是(种)。
        (3)从100件产品中抽出3件,共有种抽法,其中抽出的3件都是合格品的抽法有种,因此抽出的3件产品中至少有1件是次品的抽法的种数有(种)。
        本小题的求解过程也可以这么来考虑:从100件产品中抽出1件是次品的抽法有种,而抽出的3件产品中有2件次品的情况亦可推出其抽法有种,因此,至少有1件是次品的抽法共有(种)。
 
 相关知识点:
 
软考在线指南
优惠劵及余额
在线支付
修改密码
下载及使用
购买流程
取消订单
联系我们
关于我们
联系我们
商务合作
旗下网站群
高级资格科目
信息系统项目管理师 系统分析师
系统架构设计师 网络规划设计师
系统规划与管理师
初级资格科目
程序员 网络管理员
信息处理技术员 信息系统运行管理员
中级资格科目
系统集成项目管理工程师 网络工程师
软件设计师 信息系统监理师
信息系统管理工程师 数据库系统工程师
多媒体应用设计师 软件评测师
嵌入式系统设计师 电子商务设计师
信息安全工程师
 

本网站所有产品设计(包括造型,颜色,图案,观感,文字,产品,内容),功能及其展示形式,均已受版权或产权保护。
任何公司及个人不得以任何方式复制部分或全部,违者将依法追究责任,特此声明。
本站部分内容来自互联网或由会员上传,版权归原作者所有。如有问题,请及时联系我们。


工作时间:9:00-20:00

客服

QQ 486577830

点击这里给我发消息

商务合作

QQ 486577830

点击这里给我发消息

客服邮箱service@rkpass.cn


京B2-20210865 | 京ICP备2020040059号-5 |京公网安备 11010502032051号 | 营业执照 | Copyright ©2000-2026 All Rights Reserved 软考在线版权所有