首页 > 知识点
       容斥原理
知识路径:  > 应用数学  > 组合分析  > 组合分析
考试要求:掌握      相关知识点:4个      
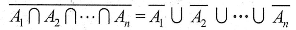
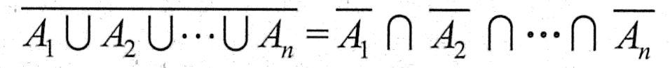
        学习容斥原理之前,先介绍德摩根定理(De Morgan)定理。
        德摩根定理定理:设A1,A2,…,An是集合U的子集,则
        (a)
        (b)
        容斥原理的两个基本公式:
        公式一:设A1,A2,…,An是有限集合,且都是集合U的子集,则
        
        公式二:设A1,A2,…,An是有限集合,且都是集合U的子集,N为集合U的元素个数,则
        
        显然,|AB|=|A|+|B|-|AB|,
        |ABC|=|A|+|B|+|C|-|AB|-|AC|-|BC|+|ABC|
        例子1:某进修学校只开设了数学、物理和化学这3门课程。该学校规定在校学生必须至少修一门课程。已知修这3门课程的学生分别有170、130和120人;同时修数学和物理课程、数学和化学课程、物理和化学课程的学生分别有45、20和22人;同时修这三门课程的学生有3人。请问该学校共有多少学生?
        解:设M、P和C分别为修数学、物理和化学课程的学生集合。根据题意得:
        |M|=170,|P|=130,|C|=120,|MP|=45,|MC|=20,|PC|=22,|MPC|=3
        该校共有学生|MPC|=|M|+|P|+|C|-(|MP|+|MC|+|PC|)+ |MPC|=170+130+120-45-20-22+3=336(人)。
 
 相关知识点:
 
软考在线指南
优惠劵及余额
在线支付
修改密码
下载及使用
购买流程
取消订单
联系我们
关于我们
联系我们
商务合作
旗下网站群
高级资格科目
信息系统项目管理师 系统分析师
系统架构设计师 网络规划设计师
系统规划与管理师
初级资格科目
程序员 网络管理员
信息处理技术员 信息系统运行管理员
中级资格科目
系统集成项目管理工程师 网络工程师
软件设计师 信息系统监理师
信息系统管理工程师 数据库系统工程师
多媒体应用设计师 软件评测师
嵌入式系统设计师 电子商务设计师
信息安全工程师
 

本网站所有产品设计(包括造型,颜色,图案,观感,文字,产品,内容),功能及其展示形式,均已受版权或产权保护。
任何公司及个人不得以任何方式复制部分或全部,违者将依法追究责任,特此声明。
本站部分内容来自互联网或由会员上传,版权归原作者所有。如有问题,请及时联系我们。


工作时间:9:00-20:00

客服

QQ 486577830

点击这里给我发消息

商务合作

QQ 486577830

点击这里给我发消息

客服邮箱service@rkpass.cn


京B2-20210865 | 京ICP备2020040059号-5 |京公网安备 11010502032051号 | 营业执照 | Copyright ©2000-2026 All Rights Reserved 软考在线版权所有