首页 > 知识点
       并联系统
知识路径:  > 计算机网络原理  > 计算机网络基础知识  > 系统配置与性能评价  > 系统性能计算  > 系统可靠性
考试要求:掌握      相关知识点:3个      
        假如一个系统由n个子系统组成,只要有一个子系统能够正常工作,系统就能正常工作,如下图所示。
        
        并联系统
        设系统各个子系统的可靠性分别用R1R2,…,Rn表示,则系统的可靠性为
        R=1-(1-R1)×(1-R2)×…×(1-Rn)
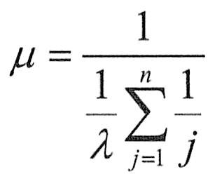
        假如所有的子系统的失效率均为λ,则系统的失效率为
        
        在并联系统中只有一个子系统是真正需要的,其余n-1个子系统称为冗余子系统,随着冗余子系统数量的增加,系统的平均无故障时间也增加了。
 
 相关知识点:
 
软考在线指南
优惠劵及余额
在线支付
修改密码
下载及使用
购买流程
取消订单
联系我们
关于我们
联系我们
商务合作
旗下网站群
高级资格科目
信息系统项目管理师 系统分析师
系统架构设计师 网络规划设计师
系统规划与管理师
初级资格科目
程序员 网络管理员
信息处理技术员 信息系统运行管理员
中级资格科目
系统集成项目管理工程师 网络工程师
软件设计师 信息系统监理师
信息系统管理工程师 数据库系统工程师
多媒体应用设计师 软件评测师
嵌入式系统设计师 电子商务设计师
信息安全工程师
 

本网站所有产品设计(包括造型,颜色,图案,观感,文字,产品,内容),功能及其展示形式,均已受版权或产权保护。
任何公司及个人不得以任何方式复制部分或全部,违者将依法追究责任,特此声明。
本站部分内容来自互联网或由会员上传,版权归原作者所有。如有问题,请及时联系我们。


工作时间:9:00-20:00

客服

QQ 486577830

点击这里给我发消息

商务合作

QQ 486577830

点击这里给我发消息

客服邮箱service@rkpass.cn


京B2-20210865 | 京ICP备2020040059号-5 |京公网安备 11010502032051号 | 营业执照 | Copyright ©2000-2026 All Rights Reserved 软考在线版权所有