免费智能真题库 > 历年试卷 > 软件设计师 > 2012年下半年 软件设计师 上午试卷 综合知识
  第26题      
  知识点:   作业调度
  章/节:   计算机软件知识       

 
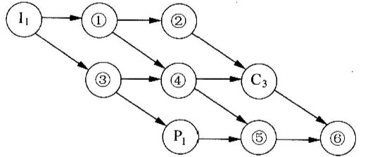
某计算机系统中有一个CPU、一台输入设备和一台输出设备,假设系统中有三个作业Tl、T2和T3,系统采用优先级调度,且T1的优先级>T2的优先级>T3的优先级。 若每个作业具有三个程序段:输入Ii;、计算Cii和输出Pi (i= 1,2,3),执行顺序为II、Ci、Pi.则这三个作业各程序段并发执行的前驱图如下所示。图中①、②分别为(24), ③、④分别为(25),⑤、⑥分别为(26)。
 
 
  A.  I3、C2
 
  B.  I2、C1
 
  C.  P2、P3
 
  D.  C1、P2
 
 
 

  相关试题:计算机软件知识          更多>  
 
  第59题    2010年上半年  
   31%
若用n个权值构造一棵最优二叉树(哈夫曼树),则该二叉树的结点总数为(59)。
  第21题    2025年下半年  
   0%
函数f、g的定义如下,执行表达式“y = f(2)”的运算时,函数调用g(la)分别采用引用调用(call by reference)方式和值调用(call by..
  第27题    2012年下半年  
   57%
设文件索引节点中有8个地址项,每个地址项大小为4字节,其中5个地址项为直接地址索引,2个地址项是一级间接地址索引,1个地址项是..
   知识点讲解    
   · 作业调度
 
       作业调度
               作业调度算法
               常见的作业调度算法如下。
               (1)先来先服务(FCFS)。按作业到达先后进行调度,即启动等待时间最长的作业。
               (2)短作业优先(SJF)。以要求运行时间长短进行调度,即启动要求运行时间最短的作业。
               (3)响应比高优先(HRN)。定义响应比,即HRN=作业响应时间/作业执行时间,其中作业响应时间是作业进入系统后的等待时间与作业的执行时间之和。
               (4)优先级调度算法。可由用户指定作业优先级,根据作业的优先级别,优先级高者先调度。
               (5)均衡调度算法。根据系统的运行情况和作业本身的特性对作业进行分类。作业调度程序轮流地从这些不同类别的作业中挑选执行。这种算法力求均衡地使用系统的各种资源,既注意发挥效率,又使用户满意。
               作业调度算法性能的衡量指标
               在一个以批量处理为主的系统中,通常用平均周转时间或平均带权周转时间来衡量调度性能的优劣。假设作业Jii=1,2,…,…,n)的提交时间为tsi,执行时间为tri,作业完成时间为toi,则作业Ji的周转时间Ti和周转系数Wi分别定义为
               Ti=toi-tsii=1,2,…,n
               Wi=Ti/trii=1,2,…,n
               n个作业的平均周转时间T和平均带权周转时间W分别定义为
               
               从用户的角度来说,总是希望自己的作业在提交后能立即执行,这意味着当等待时间为零时作业的周转时间最短,即Ti=tri。但是作业的执行时间tri并不能直观地衡量出系统的性能,而带权周转时间Wi却能直观地反映系统的调度性能。从整个系统的角度来说,不可能满足每个用户的这种要求,而只能是系统的平均周转时间或平均带权周转时间最小。
   题号导航      2012年下半年 软件设计师 上午试卷 综合知识   本试卷我的完整做题情况  
1 /
2 /
3 /
4 /
5 /
6 /
7 /
8 /
9 /
10 /
11 /
12 /
13 /
14 /
15 /
 
16 /
17 /
18 /
19 /
20 /
21 /
22 /
23 /
24 /
25 /
26 /
27 /
28 /
29 /
30 /
 
31 /
32 /
33 /
34 /
35 /
36 /
37 /
38 /
39 /
40 /
41 /
42 /
43 /
44 /
45 /
 
46 /
47 /
48 /
49 /
50 /
51 /
52 /
53 /
54 /
55 /
56 /
57 /
58 /
59 /
60 /
 
61 /
62 /
63 /
64 /
65 /
66 /
67 /
68 /
69 /
70 /
71 /
72 /
73 /
74 /
75 /
 
第26题    在手机中做本题