免费智能真题库 > 历年试卷 > 软件评测师 > 2021年下半年 软件评测师 上午试卷 综合知识
  第16题      
  知识点:   函数表达式
  关键词:   表达式        章/节:   测试技术的分类       

 
在C程序中表示关系式x≤yz的正确表达式是()。
 
 
  A.  x≤у≤z
 
  B.  x<=у<=z
 
  C.  (x≤y)&&(y≤z)
 
  D.  (x<=y)&&(y<=z)
 
 
 

  相关试题:测试技术的分类          更多>  
 
  第55题    2010年下半年  
   49%
目前信息系统所使用的主要用户认证机制,身份识别标识不包括(55)。
  第17题    2021年下半年  
   64%
若某C程序中有数组a的定义如下,则元素a[2][2]的值是()。
  第47题    2021年下半年  
   66%
在软件系统分析与设计中,类图用于对系统的静态设计视图建模,其主要应用场合不包括(47)。下列类图中,Company和Department的关系..
   知识点讲解    
   · 函数表达式
 
       函数表达式
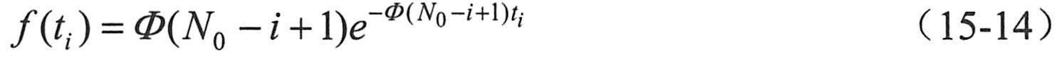
        根据假设,每发生1次失效,错误数都要减去1,如果用t1t2,…,ti表示从0时刻开始的每次失效间隔时间,那第i-1次失效到第i次失效之间的失效率就是:
        
        根据我们在可靠性定量描述一节的讨论,我们知道失效强度函数为:
        
        可靠度函数为:
        
        失效概率分布函数为:
        
   题号导航      2021年下半年 软件评测师 上午试卷 综合知识   本试卷我的完整做题情况  
1 /
2 /
3 /
4 /
5 /
6 /
7 /
8 /
9 /
10 /
11 /
12 /
13 /
14 /
15 /
 
16 /
17 /
18 /
19 /
20 /
21 /
22 /
23 /
24 /
25 /
26 /
27 /
28 /
29 /
30 /
 
31 /
32 /
33 /
34 /
35 /
36 /
37 /
38 /
39 /
40 /
41 /
42 /
43 /
44 /
45 /
 
46 /
47 /
48 /
49 /
50 /
51 /
52 /
53 /
54 /
55 /
56 /
57 /
58 /
59 /
60 /
 
61 /
62 /
63 /
64 /
65 /
66 /
67 /
68 /
69 /
70 /
71 /
72 /
73 /
74 /
75 /
 
第16题    在手机中做本题