免费智能真题库 > 历年试卷 > 软件评测师 > 2021年下半年 软件评测师 上午试卷 综合知识
  第34题      
  知识点:   由行为模型(状态、活动、顺序和合作图)导出的测试
  章/节:   测试技术的分类       

 
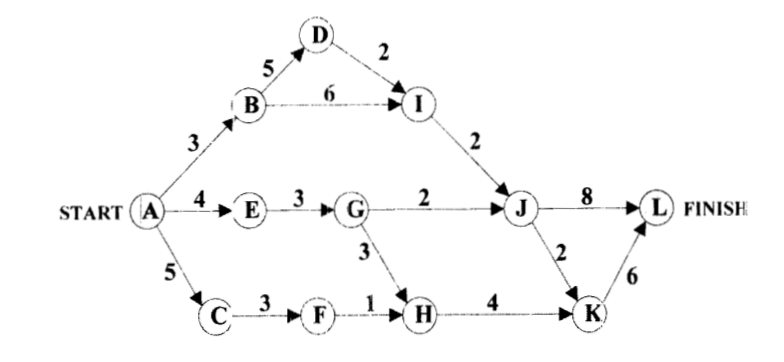
下图是一个软件项目的活动图,其中项点表示项目里程碑,连接顶点的边表示包含的活动,边上的权重表示完成该活动所需要的时间(天)。则关键路径长度为(33) 。在其他活动正常进行的前提下,活动CF可以晚(34)天开始而不会影响工期。

 
 
  A.  0
 
  B.  1
 
  C.  2
 
  D.  3
 
 
 

  相关试题:测试技术的分类          更多>  
 
  第66题    2019年下半年  
   30%
在线帮助测试属于文档测试的一项,以下( )不属于在线帮助文档测试的测试内容。
  第62题    2019年下半年  
   30%
对于逻辑表达式(buf_c[i]>223&&buf_c[i]<240&&i+2<total_bytes),需要( )个测试用例才能完成条件组合覆..
  第59题    2023年下半年  
   0%
对于逻辑表达式((a||(b&c))||(c&&d)),需要(59)个测试用例才能完成条件组合覆盖。
   知识点讲解    
   · 由行为模型(状态、活动、顺序和合作图)导出的测试
 
       由行为模型(状态、活动、顺序和合作图)导出的测试
        状态转换图(STD)可以用来帮助导出类的动态行为的测试序列,以及这些类与之合作的类的动态行为测试序列。
        为了说明问题,仍使用前面讨论过的account类。开始由empty acct状态转换为setup acct状态。类实例的大多数行为发生在working acct状态中。而最后,取款和关闭分别使account类转换到non-working acct和dead acct状态。如下图所示为状态转换图(STD)。
        
        状态转换图(STD)
        这样,设计的测试用例应当是完成所有的状态转换。换句话说,操作序列应当能导致account类所有允许的状态进行转换。
        测试用例1:open+setupAcct+deposit(initial)+withdraw(final)+close;
        应该注意,该序列等同于一个最小测试序列,加入其他测试序列到最小序列中。
        测试用例2:open+setupAccnt+deposit(initial)+deposit+balance+credit+withdraw(final)+ close;
        测试用例3:open+setupAccnt+deposit(initial)+deposit+withdraw+accntInfo+withdraw(final)+close。
        还可以导出更多的测试用例,以保证该类所有行为被充分检查,在类行为导致与一个或多个类协作的情况下,可使用多个STD去跟踪系统的行为流。
        面向对象测试的整体目标——以最小的工作量发现最多的错误,和传统软件测试的目标是一致的,但是由于OO软件具有的特殊性质,在测试的策略和战术上有很大不同。测试的视角扩大到包括复审分析和设计模型,此外,测试的焦点从过程构件(模块)移向了类。
        ①OOA(Object-Oriented Analysis)和OOD(Object-Oriented Design)的评审与传统软件的分析和设计相同,应给出相应的评审检查表。
        ②OOP(Object-Oriented Programming)后,单元和组装测试策略必须作相应的改变。
        ③测试用例设计必须说明OO软件特有的性质。
   题号导航      2021年下半年 软件评测师 上午试卷 综合知识   本试卷我的完整做题情况  
1 /
2 /
3 /
4 /
5 /
6 /
7 /
8 /
9 /
10 /
11 /
12 /
13 /
14 /
15 /
 
16 /
17 /
18 /
19 /
20 /
21 /
22 /
23 /
24 /
25 /
26 /
27 /
28 /
29 /
30 /
 
31 /
32 /
33 /
34 /
35 /
36 /
37 /
38 /
39 /
40 /
41 /
42 /
43 /
44 /
45 /
 
46 /
47 /
48 /
49 /
50 /
51 /
52 /
53 /
54 /
55 /
56 /
57 /
58 /
59 /
60 /
 
61 /
62 /
63 /
64 /
65 /
66 /
67 /
68 /
69 /
70 /
71 /
72 /
73 /
74 /
75 /
 
第34题    在手机中做本题