免费智能真题库 > 历年试卷 > 信息处理技术员 > 2014年下半年 信息处理技术员 上午试卷 综合知识
  第20题      
  知识点:   文件系统   文件系统基本概念   目录结构   树形目录结构
  关键词:   Windows   文件系统        章/节:   操作系统使用和文件管理的基础知识       

 
Windows采用了树形目录结构文件系统,其特点不包括(20).
 
 
  A.  每个逻辑盘中只有一个根目录,根目录以下可以有对多个层次的文件夹
 
  B.  每个根目录下,各层次的文件夹名不能相同
 
  C.  每个文件夹可以有多个文件,其文件名不能相同
 
  D.  不同文件夹中的文件可以有相同的文件名
 
 
 

 
  第33题    2018年上半年  
   41%
Windows7中,( )不能将信息传送到剪贴板。
  第58题    2020年下半年  
   42%
关于软件卸载操作的叙述中,不正确的是( )。
  第20题    2018年下半年  
   50%
Windows7中的文件命名规则不包括( )。
   知识点讲解    
   · 文件系统    · 文件系统基本概念    · 目录结构    · 树形目录结构
 
       文件系统
        文件系统是操作系统中实现文件统一管理的一组软件和相关数据的集合,专门负责管理和存取文件信息的软件机构。文件系统包括如下功能。
        (1)按名存取。用户可以“按名存取”,而不是“按地址存取”。
        (2)统一的用户接口。在不同设备上提供同样的接口,方便用户操作和编程。
        (3)并发访问和控制。在多道程序系统中支持对文件的并发访问和控制。
        (4)安全性控制。在多用户系统中的不同用户对同一文件可有不同的访问权限。
        (5)优化性能。采用相关技术提高系统对文件的存储效率、检索和读写性能。
        (6)差错恢复。能够验证文件的正确性,并具有一定的差错恢复能力。
 
       文件系统基本概念
        操作系统中的文件系统专门负责管理外存储器上的信息,使用户可以“按名”高效、快速和方便地存储信息。
               文件与文件目录
               文件(file)是具有符号名的、在逻辑上具有完整意义的一组相关信息项的集合。例如,一个源程序、一个目标程序、编译程序、一批待加工的数据、各种文档等都可以各自组成一个文件。信息项是构成文件内容的基本单位,可以是一个字符,也可以是一个记录,记录可以等长,也可以不等长。
               文件由文件体和文件目录项(或称为文件说明)组成。文件体是文件真实的内容;文件目录项是操作系统为了管理文件所使用的信息。文件目录项主要包括文件名、文件内部标识、文件的类型、文件存储地址、文件的长度、访问权限、建立时间和访问时间等内容。
               文件目录(或称为文件夹)是由文件目录项组成的。文件目录分为一级目录、二级目录和多级目录。多级目录结构也称为树形结构,在多级目录结构中,每一个磁盘有一个根目录,在根目录中可以包含若干子目录和文件,在子目录中不但可以包含文件,而且还可包含下一级子目录,这样类推下去构成了多级目录结构。
               采用多级目录结构的优点是用户可将不同类型和不同功能的文件分类储存,既方便文件管理和查找,又允许不同文件目录中的文件具有相同的文件名,解决了一级目录结构中的重名问题。Windows、UNIX、Linux和DOS等操作系统采用的是多级目录结构。
               路径名由操作系统查找文件所经过的目录名及目录名之间的分隔符构成。不同操作系统的分隔符是不同的,例如Windows的分隔符为“\”,UNIX的分隔符为“/”。一个完整的文件名由“路径名+文件名”构成。
               按查找文件的起点不同,可以将路径分为绝对路径和相对路径。从根目录开始的路径称为绝对路径;从用户当前工作目录开始的路径称为相对路径,相对路径随着当前工作目录的变化而改变。
               例如,若某文件系统的目录结构如下图所示,假设用户要访问文件f1.java,且当前工作目录为Program,则该文件的全文件名为“C:\Program\Java-prog\f1.java”,绝对路径为“\Program\Java-prog\”,相对路径为“Java-prog\”。
               
               某文件系统的目录结构
               文件系统
               文件系统是操作系统中实现文件统一管理的一组软件和相关数据的集合,专门负责管理和存取文件信息的软件机构。文件系统包括如下功能。
               (1)按名存取。用户可以“按名存取”,而不是“按地址存取”。
               (2)统一的用户接口。在不同设备上提供同样的接口,方便用户操作和编程。
               (3)并发访问和控制。在多道程序系统中支持对文件的并发访问和控制。
               (4)安全性控制。在多用户系统中的不同用户对同一文件可有不同的访问权限。
               (5)优化性能。采用相关技术提高系统对文件的存储效率、检索和读写性能。
               (6)差错恢复。能够验证文件的正确性,并具有一定的差错恢复能力。
               Windows文件系统基础
               在不同的操作系统中,文件的命名规则有所不同,即文件名字的格式和长度因系统而异。在Windows操作系统中,文件名由主文件名和扩展名组成,中间以“.”连接,如my.exe。其中,扩展名用来表示文件的数据类型和性质,常见的文件扩展名如下表所示。文件名或文件夹名的命名规则如下:
               
               常见的文件扩展名
               (1)最大长度为255个字符。
               (2)允许使用英文字母,数字,¥,@,&,+,(,),下划线,空格,汉字等,但不允许使用?、\、*、|、<、>、:、/、"字符。
               (3)完整的文件名由驱动器号、路径、文件名和文件的扩展名组成。
               需要说明的是,在Windows操作系统中的搜索或查找功能,可以用星号“*”匹配0个或多个字符;用问号“?”匹配任何一个字符。
 
       目录结构
        文件目录结构的组织方式直接影响到文件的存取速度,关系到文件共享性和安全性。常见的目录结构有3种,即一级目录结构、二级目录结构和多级目录结构。目前大多数操作系统(如UNIX、DOS等)都采用多级目录结构,又称为树形目录结构。
        1)一级目录结构
        一级目录的整个目录组织是一个线性结构,在整个系统中只需建立一张目录表,系统为每个文件分配一个目录项(文件控制块)。一级目录结构简单,但缺点是查找速度慢,不允许重名和不便于实现文件共享等,因此它主要用在单用户环境中。
        2)二级目录结构
        二级目录结构是由主文件目录(Master File Directory, MFD)和用户目录(User File Directory,UFD)组成的。在主文件目录中,每个用户文件目录都占有一个目录项,其目录项中包括用户名和指向该用户目录文件的指针。用户目录由用户所有文件的目录项组成。
        二级目录的优点是提高了检索目录的速度,较好地解决了重名问题。采用二级目录结构也存在一些问题。该结构虽然能有效地将多个用户隔离开(这种隔离在各个用户之间完全无关时是一个优点),但当多个用户之间要相互合作去共同完成一个大任务时,且一用户又要去访问其他用户的文件时,这种隔离便成为一个缺点,因为这种隔离使诸用户之间不便于共享文件。
        3)多级目录结构
        为了解决以上问题,在多道程序设计系统中常采用多级目录结构,这种目录结构就像一棵倒置的有根树,所以也称为树形目录结构。从树根向下,每一个节点是一个目录,叶节点是文件。MS-DOS和UNIX等操作系统均采用多级目录结构。
        采用多级目录结构的文件系统中,用户要访问一个文件,必须指出文件所在的路径名。路径名包含从根目录开始到该文件的通路上所有各级目录名。各级目录名之间、目录名与文件名之间需要用分隔符隔开。例如,在DOS中分隔符为"\",在UNIX中分隔符为"/"。绝对路径名是指从根目录开始的完整文件名,即由从根目录开始的所有目录名以及文件名构成的。
 
       树形目录结构
        文件控制块的集合称为文件目录,文件目录也被组织成文件,常称为目录文件。文件管理的一个重要方面是对文件目录进行组织和管理。文件系统一般采用一级目录结构、二级目录结构和多级目录结构。DOS、UNIX、Windows系统都是采用多级树形目录结构。
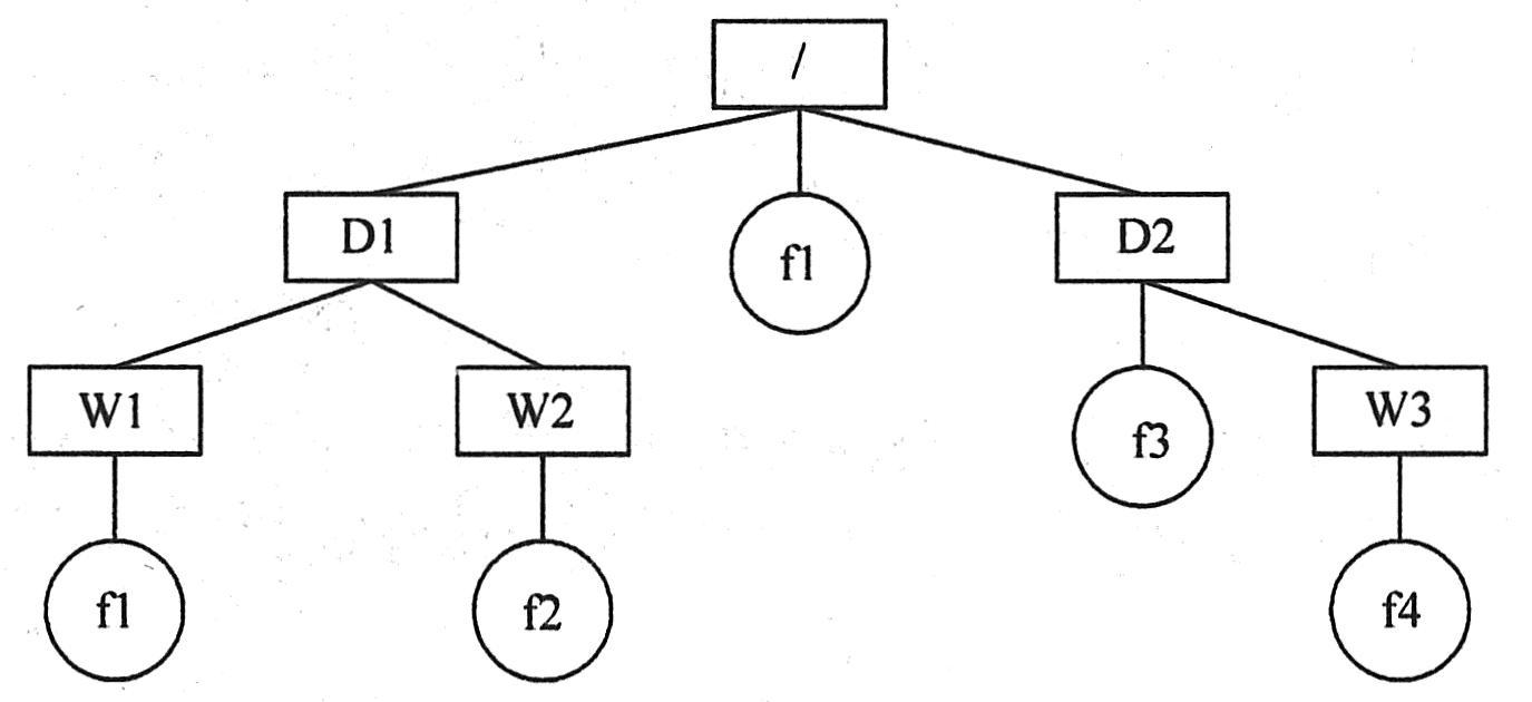
        在多级树形目录结构中,整个文件系统有一个根,然后在根上分枝,任何一个分枝上都可以再分枝,枝上也可以长出树叶。根和枝称为目录或文件夹。而树叶则是一个个的文件。实践证明,这种结构的文件系统效率比较高。例如,下图就是一个树形目录结构,其中方框代表目录,圆形代表文件。
        
        树形文件结构
        在树形目录结构中,树的根节点为根目录,数据文件作为树叶,其他所有目录均作为树的节点。系统在建立每一个目录时,都会自动为它设定两个目录文件,一个是“.”,代表该目录自己,另一个是“..”,代表该目录的父目录。对于根目录,“.”和“..”都代表其自己。
        从逻辑上讲,用户在登录到系统中之后,每时每刻都处在某个目录之中,此目录被称作工作目录或当前目录,工作目录是可以随时改变的。
        对文件进行访问时,需要用到路径的概念。路径是指从树形目录中的某个目录层次到某个文件的一条道路。在树形目录结构中,从根目录到任何数据文件之间,只有一条唯一的通路,从树根开始,把全部目录文件名与数据文件名依次用“/”连接起来,构成该数据文件的路径名,且每个数据文件的路径名是唯一的。这样,可以解决文件重名问题,不同路径下的同名文件不一定是相同的文件。例如,在上图中,根目录下的文件f1和/D1/W1目录下的文件f1可能是相同的文件,也可能是不相同的文件。
        用户在对文件进行访问时,要给出文件所在的路径。路径又分相对路径和绝对路径。绝对路径是指从根目录开始的路径,也称为完全路径;相对路径是从用户工作目录开始的路径。应该注意到,在树形目录结构中到某一确定文件的绝对路径和相对路径均只有一条。绝对路径是确定不变的,而相对路径则随着用户工作目录的变化而不断变化。
        用户要访问一个文件时,可以通过路径名来引用。例如,在上图中,如果当前目录是D1,则访问文件f2的绝对路径是/D1/W2/f2,相对路径是W2/f2。如果当前目录是W1,则访问文件f2的绝对路径仍然是/D1/W2/f2,但相对路径变为../W2/f2。
        在Windows系统中,有两种格式的文件,分别是FAT32(FAT16)文件和NTFS文件。NTFS在使用中产生的磁盘碎片要比FAT32少,安全性也更高,而且支持单个文件的容量更大,超过了4GB,特别适合现在的大容量存储。NTFS可以支持的分区(如果采用动态磁盘则称为卷)大小可以达到2TB,而Windows 2000中的FAT32支持分区的大小最大为32GB。
   题号导航      2014年下半年 信息处理技术员 上午试卷 综合知识   本试卷我的完整做题情况  
1 /
2 /
3 /
4 /
5 /
6 /
7 /
8 /
9 /
10 /
11 /
12 /
13 /
14 /
15 /
 
16 /
17 /
18 /
19 /
20 /
21 /
22 /
23 /
24 /
25 /
26 /
27 /
28 /
29 /
30 /
 
31 /
32 /
33 /
34 /
35 /
36 /
37 /
38 /
39 /
40 /
41 /
42 /
43 /
44 /
45 /
 
46 /
47 /
48 /
49 /
50 /
51 /
52 /
53 /
54 /
55 /
56 /
57 /
58 /
59 /
60 /
 
61 /
62 /
63 /
64 /
65 /
66 /
67 /
68 /
69 /
70 /
71 /
72 /
73 /
74 /
75 /
 
第20题    在手机中做本题