免费智能真题库 > 历年试卷 > 信息处理技术员 > 2021年下半年 信息处理技术员 上午试卷 综合知识
  第5题      
  知识点:   平均数
  关键词:   集中趋势   数据集中   数据        章/节:   初等数学基础知识       

 
()是表示一组数据集中趋势的量数,即一组数据中所有数据之和再除以这组数据的个数。
 
 
  A.  平均数
 
  B.  中位数
 
  C.  众数
 
  D.  平方差
 
 
 

  相关试题:初等数学基础知识          更多>  
 
  第12题    2010年上半年  
   61%
某市有2万名学生参加中考,了解这2万名学生的数学成绩,从中抽取1000名考生的数学成绩进行分析,样本容量是(12)。
  第5题    2011年下半年  
   36%
小张本学期有四门课程的成绩分别为:83、79、85、99,还有一门课程的成绩在95分以上。已知这五门课程的平均分恰为整数,因此可以推..
  第55题    2012年下半年  
   67%
在Excel工作表中,已输入的数据如下所示:

按回车键后,B6单元格显示的值为(55) 。
   知识点讲解    
   · 平均数
 
       平均数
        平均数是指在一组数据中所有数据之和再除以数据的个数。平均数是表示一组数据集中趋势的量数,它是反映数据集中趋势的一项指标。解答平均数应用题的关键在于确定“总数量”以及和总数量对应的总份数。常用的平均数指标有位置平均数和数值平均数。
        (1)位置平均数。
        位置平均数是指按数据的大小顺序或出现频数的多少确定的集中趋势的代表值,主要有众数、中位数等。
        众数是一组数据中出现次数最多的数值,有时众数在一组数中有好几个,用M表示。简单地说,就是一组数据中占比例最多的那个数。用众数代表一组数据。可靠性较差,不过众数不受极端数据的影响,并且求法简便。
        中位数是一组数据按从小到大的顺序依次排列,处在中间位置的一个数,或最中间两个数据的平均数。注意,和众数不同,中位数不一定在这组数据中。中位数是样本数据所占频率的等分线,它不受少数几个极端值的影响,因此有时也会成为其优点。在一组数据中,如果个别数据有很大的变动,选择中位数表示这组数据的“集中趋势”是更为适合的。
        (2)数值平均数。
        数值平均数是以统计数列的所有各项数据来计算平均数,用以反映统计数列的所有各项数值的平均水平。这类平均数的特点是统计数列中任何一项数据的变动,或大或小都会在一定程度上影响到数值平均数的计算结果。数值平均数又由于计算方法不同,分为算术平均数、调和平均数和几何平均数。
        ①算术平均数。把n个数的总和除以n所得的商叫做这n个数的平均数,它是反映数据集中趋势的一项指标。
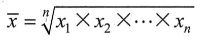
        ②几何平均数。把n个观察值连乘积的n次方根就是几何平均数。根据资料的条件不同,几何平均数有加权和不加权之分。
        
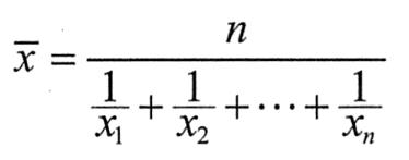
        ③调和平均数。平均数的一种,对于统计调和平均数与数学调和平均数不同。数学调和平均数定义为:数值倒数的平均数的倒数。统计加权调和平均数是加权算术平均数的变形,主要是用来解决在无法掌握总体单位数(频数)的情况下,只有每组的变量值和相应的标志总量,而需要求得平均数的情况下使用的一种数据方法。
        
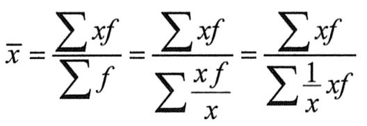
        调和平均数与算术平均数的区别是变量与权数不同。对于算术平均数的变量是x,调和平均数的变量是1/x。算术平均数的权数是fn,代表次数(单位数);调和平均数是xfM,代表标志总量。
        调和平均数与算术平均数的联系是调和平均数可以作为算术平均数的变形使用。
        因为
        所以
        令M=xf
   题号导航      2021年下半年 信息处理技术员 上午试卷 综合知识   本试卷我的完整做题情况  
1 /
2 /
3 /
4 /
5 /
6 /
7 /
8 /
9 /
10 /
11 /
12 /
13 /
14 /
15 /
 
16 /
17 /
18 /
19 /
20 /
21 /
22 /
23 /
24 /
25 /
26 /
27 /
28 /
29 /
30 /
 
31 /
32 /
33 /
34 /
35 /
36 /
37 /
38 /
39 /
40 /
41 /
42 /
43 /
44 /
45 /
 
46 /
47 /
48 /
49 /
50 /
51 /
52 /
53 /
54 /
55 /
56 /
57 /
58 /
59 /
60 /
 
61 /
62 /
63 /
64 /
65 /
66 /
67 /
68 /
69 /
70 /
71 /
72 /
73 /
74 /
75 /
 
第5题    在手机中做本题