免费智能真题库 > 历年试卷 > 信息系统项目管理师 > 2010年下半年 信息系统项目管理师 上午试卷 综合知识
  第38题      
  知识点:   计算方法   箭线图法   进度管理
  关键词:   箭线图法   进度管理   项目进度   箭线图        章/节:   项目进度管理的技术和工具       

 
项目进度管理经常采用箭线图法,以下对箭线图的描述不正确的是(38)。
 
 
  A.  流入同一节点的活动,有相同的后继活动
 
  B.  虚活动不消耗时间,但消耗资源
 
  C.  箭线图中可以有两条关键路径
 
  D.  两个相关节点之间只能有一条箭线
 
 
 

  相关试题:项目进度管理的技术和工具          更多>  
 
  第32题    2019年下半年  
   38%
关于进度管理的描述,不正确的是: ( )。
  第67题    2016年下半年  
   33%
下图中从A到E的最短路线是(66),其长度是(67)。
  第30题    2023年下半年  
   73%
项目进度管理过程中,可用于控制进度过程的数据分析技术包括()。
   知识点讲解    
   · 计算方法    · 箭线图法    · 进度管理
 
       计算方法
                      三点估算与计划评审技术
                      三点估算与计划评审技术(PERT)的计算方法相同,但三点估算用于估算单个活动历时,是活动历时估算过程中用到的技术;而PERT是一种进度表编制技术,用于制订进度表的过程中。
                      1.活动时间估算
                      对活动进行最乐观、最悲观及最可能时间估算:
                      To(Optimistic Time,最乐观时间)
                      Tm(Most likely Time,最可能时间)
                      Tp(Pessimistic Time,最悲观时间)
                      假定三个估值服从β分布,由此可算出每个活动的期望历时Tei为:
                      
                      其中i表示第i项活动。
                      根据β分布的方差计算方法,第i项活动的持续时间方差为:
                      
                      标准差为:
                      
                      2.总工期估算
                      PERT方法中总工期期望值为各活动期望历时之和,且服从正态分布。
                      总工期期望值:
                      总工期方差:
                      标准差:
                      总工期的正态分布示意图如下图所示。
                      
                      总工期的正态分析
                      正态分布图的X轴代表工期,Y轴代表工期发生的概率密度,曲线下的面积代表了累积概率分布。由正态分布图可以得到下面的信息:
                      .以工期期望值Te为中心,概率分布曲线对称分布。
                      .如果需要了解某一天完成项目的可能性,只要看对应的概率密度即可,特殊点的可以通过计算得到,其他点的需要查正态分布表。
                      .如果需要了解某一段时间内完成项目的可能性,需要求解该段时间内累积概率密度和,即该段时间内曲线下的面积。
                      .以工期期望值为中心,±1σ范围内完成的概率为68%,±2σ范围内完成的概率为95%,±3σ范围内完成的概率为99%
                      例1:A活动历时的悲观估计是36天,乐观估计是6天,最可能估计是21天,那么该活动在16天到26天完成的概率有多大?在16天以前完成的概率有多大?
                      A活动的期望工期为TeA=(36+4×21+6)/6=21天
                      标准差为σA=(36-6)/6=5
                      根据正态分布规律,A活动在16天到26天完成正好落在±1σ范围内,所以完成的概率为68%。
                      16天恰好是Te-1σ,所以A活动在16天之前完成的概率为50%-68%/2=16%。
                      例2:下图所示为一个项目的关键路径,图中标出了每个活动的ToiTmiTpi,计算项目在57天内完成的概率为多少。
                      
                      某项目的关键路径
                      分别对每个活动计算期望工期及方差,得到下表中的数据。
                      
                      各活动的期望工期及方差
                      该项目的期望工期为Te=4+11+25+12=52天
                      总方差为σ2=0.444+2.778+20.25+2.26=25.72
                      标准差为σ=5.072
                      因为Te+1σ=52+5.072=57.072,57天落在正态分布的Te+1σ处,所以项目在57天内完成的概率为50%+68%/2=84%。
                      关键路径法
                      关键路径法(CPM)根据项目网络图及每个活动的历时,识别关键路径,预测整个项目的工期。在关键路径法的计算中需要进行正向计算和反向计算。
                      正向计算:
                      .用来计算最早时间。
                      .根据逻辑关系,从网络图左边开始,为每项活动制订最早开始和最早结束时间。
                      .第一个活动的开始时间为项目开始时间,活动最早完成时间为最早开始时间加持续时间;后续活动最早开始时间根据前置活动的最早结束时间确定。
                      .一个活动有多个前置活动存在时,该活动的最早开始时间根据前置活动中最早结束时间最大的活动时间确定。
                      反向计算:
                      .用来计算最晚时间。
                      .根据逻辑关系,从网络图右边开始,计算每个活动最迟开始和最迟结束时间。
                      .最后一个活动的完成时间为项目完成时间,活动最迟开始时间为最迟完成时间减持续时间;前置活动最迟完成时间根据其后续活动的最迟开始时间确定。
                      .一个活动有多个后续活动存时,该活动的最迟完成时间根据后续活动中最迟开始时间最小的活动时间确定。
                      关键路径计算方法可总结为下面三句话:
                      .先正推,再反推。
                      .正向看流入(前置活动),正向取大值。
                      .反向看流出(后续活动),反向取小值。
                      例1:下图为某项目的网络图,已经完成活动历时估算,确定每个活动的ES、EF、LS、LF,识别关键路径,计算项目工期。
                      
                      某项目的网络图
                      用下图表示节点:
                      
                      节点
                      根据CPM正推、反推计算方法得到下图所示的网络图。
                      
                      根据CPM正推、反推得到的网络图
                      正向计算(计算各活动的最早开始与最早完成时间):
                      假设项目最早开始时间为第0天,则活动A和活动D的最早开始时间都为第0天。活动A的最早结束时间为第0+2=2天,活动B最早开始时间和活动A最早结束时间相同,为第2天,则2+6=8,活动B最早结束时间为第8天。依次类推,计算其他活动的最早开始与结束时间。其中活动F比较特殊,有两个前置活动D和E,根据正向取大值原则,活动F的最早开始时间和活动E的最早结束时间相同,为第13天。正向计算通过计算各活动的最早开始与结束日期,最终得到项目结束时的时间为第17天。
                      反向计算(计算各活动的最迟开始与最迟完成时间):
                      项目结束时的时间为第17天,则活动C和活动F的最迟结束时间都为第17天。活动C的最迟开始时间为第17-3=14,活动F的最迟开始时间为第17-4=13天。活动E的最迟结束时间和活动F的最迟开始时间相同,为第13天。依次类推,计算其他活动的最迟结束与最迟开始时间。其中活动B比较特殊,它有两个后续活动C和E,根据反向取小值的原则,可以确定活动B的最迟结束时间为第8天。
                      求浮动时差:
                      根据公式TF=LS-ES=LF-EF很容易计算出各活动的浮动时差,如图中标注。
                      识别关键路径:
                      .关键路径上的活动的最早开始时间和最迟开始时间相同,最早结束时间和最迟结束时间相同。
                      .关键路径上的活动浮动时间为0或负数。
                      .关键路径上活动的总历时最长。
                      从网络图中不难看出本项目的关键路径是A—B—E—F,项目工期为17天。
                      注:若只是要求简单网络图的关键路径,也可以利用试算法,根据关键路径上活动的总历时最长来确定关键路径及项目工期。
                      例2:根据下图所示的网络图(网络图图例同例1)回答问题:
                      
                      某项目的网络图
                      (1)分析网络图的关键路径及本项目工期。
                      (2)如果在活动B后5天开始活动D,并进行10天,对项目有何影响?
                      (3)经努力,活动F要12天完成,则活动E的LS和LF为多少?
                      (4)活动G多用了8天,对项目有何影响?
                      (1)根据浮动时间为0的活动在关键路径上,很容易得到本项目的关键路径为A—B—D—H,项目工期为38天。
                      (2)活动D的估算历时为15天,如果D推迟5天开始,但历时变为10天,这样仍然没有超过15天,不会对项目产生影响。
                      (3)若活动F的历时改为12天,则F的最迟开始时间变为33-12+1=22,E的最迟结束时间由F和G中最迟开始时间最小值确定,应该为LF=22-1=21,其LS=21-5+1=17。
                      (4)活动G的浮动时间为10天,8<10,所以活动G多用8天对项目没有影响。
                      注:例2网络图中的开始时间是从第1天开始的,这种表示方法和例1相比计算较复杂。正推法时,同一活动的EF=ES+DU-1,后续活动的ES=前置活动的EF+1;反推法时,同一活动的LS=LF-DU+1,前置活动的LF=后续活动的LS-1。
                      资源平衡
                      资源平衡通过调整活动的历时或次序,使得项目对资源的需求尽可能表现平缓并不超过资源限量。一般地,资源平衡通过调整非关键路径上的活动实现,这样能够满足交工日期。有时资源平衡也可能改变关键路径,使项目工期加长。
                      例:某项目包括A、B、C、D、E、F、G共7个活动,各个活动的紧前活动、所需时间、所需人数如下表所示,计算该项目的工期,按此工期,整个项目至少需要多少人?
                      
                      根据上表可画出PDM网络图如下图所示。
                      
                      PDM网络图
                      从图中可以看出路径B—D—F历时最长,为关键路径,该项目工期为B、D、F工期之和,即7周。
                      工期不变,即关键路径上活动B、D、F的安排不能改变,则需要按照逻辑关系调整A、C、E、G的时间安排来做资源平衡,使项目需要人数最少。下面用甘特图来表示调整后活动的时间安排,如下图所示。
                      
                      甘特图
                      甘特图中活动B、D、F是关键路径上的活动,其时间安排是确定的,B为第1周,D为2、3、4周,F为5、6、7周,横坐标表示以周为单位的时间,表示活动的横道下面标出了各活动所需要的人数。按照逻辑关系,A、C需要在F之前完成,即A、C可安排在0~4周之间,图中虚线表示;E、G需要安排在B之后,且结束时间不能超过7周,所以E、G可安排在1~7周之间,图中用虚线表示。
                      为了使项目所需人数最少,在安排活动A、C、E、G的时候需要考虑平衡每周所需人数,使每周所需人数尽可能少,经过不同的尝试,得到上图的安排,每周所需的人数为该周各活动所需人数之和。图的下面标出了每周所需人数,可以看出,经过平衡以后,第2周所需人数最多,为10人,其他周所需人数也基本平衡。
                      该项目至少需要10人。
 
       箭线图法
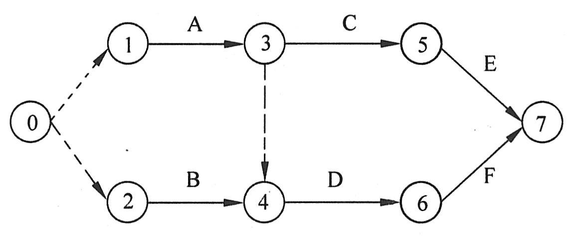
        箭线图法(Arrow Diagramming Method, ADM)也称为双代号网络图法(Active On the Arrow, AOA),是一种利用箭线表示活动,并在节点处将其连接起来,以表示其依赖关系的一种项目网络图的绘制法。在ADM中,给每个事件而不是每项活动指定一个唯一的号码。活动的开始(箭尾)事件叫做该活动的紧前事件(precede event),活动的结束(箭线)事件叫做该活动的紧随事件(successor event,紧后事件)。在ADM中,有3个基本原则:
        (1)网络图中每一事件必须有唯一的一个代号,即网络图中不会有相同的代号。
        (2)任何两项活动紧前事件和紧随事件代号至少有一个不相同,节点序号沿箭线方向越来越大。
        (3)流入(流出)同一事件的活动,均有共同的后继活动(或先行活动)。
        ADM只使用完成一开始依赖关系,因此可能要使用虚活动(dummy activity)才能正确地定义所有的逻辑关系。虚活动不消耗时间和资源,用虚箭线表示。在复杂的网络图中,为避免多个起点或终点引起的混淆,我们也可以用虚活动来解决,如下图所示。
        
        箭线图法
 
       进度管理
        进度安排包括把一个项目所有的工作分解为若干个独立的活动,并描述这些活动之间的依赖关系,估算完成这些活动所需的工作量,分配人力和其他资源,制定进度时序。进度的合理安排是如期完成软件项目的重要保证,也是合理分配资源的重要依据,因此进度安排是管理工作的一个重要组成部分。有两种安排软件开发项目进度的方式:
        (1)系统最终交付日期已经确定,系统开发部门必须在规定期限内完成;
        (2)系统最终交付日期只确定了大致的年限,最后交付日期由软件开发部门确定。
        进度安排的常用图形描述方法有Gantt图(甘特图)和PERT(Program Evaluation&Review Technique,项目计划评审技术)图。
        (1)Gantt图。Gantt图中横坐标表示时间(如时、天、周、月、年等),纵坐标表示任务,图中的水平线段表示一个任务的进度安排,线段的起点和终点对应在横坐标上的时间分别表示该任务的开始时间和结束时间,线段的长度表示完成该任务所持续的时间。当日历中同一时段中存在多个水平条时,表示任务之间的并发。下图所示的Gantt图描述了三个任务的进度安排。该图表示:任务1首先开始,完成它需要12周时间;任务2在2周后开始,完成它需要18周;任务3在12周后开始,完成它需要10周。
        
        Gantt图实例
        Gantt图能清晰地描述每个任务从何时开始,到何时结束,任务的进展情况以及各个任务之间的并行性;但是它不能清晰地反映出各任务之间的依赖关系,难以确定整个项目的关键所在,也不能反映计划中有潜力的部分。
        (2)PERT图。PERT图是一个有向图,其基本符号如下图所示。
        
        PERT图的基本符号
        PERT图中的有向弧表示任务,可以标上完成该任务所需的时间,图中的结点表示流入结点的任务已结束,并开始流出结点的任务,这里把结点称为事件。只有当流入该结点的所有任务都结束时,结点所表示的事件才出现,流出结点的任务才可以开始。事件本身不消耗时间和资源,它仅表示某个时间点。每个事件有一个事件号及出现该事件的最早时刻和最迟时刻。最早时刻表示在此时刻之前从该事件出发的任务不可能开始;最迟时刻表示从该事件出发的任务必须在此时刻之前开始,否则整个工程就不能如期完成。每个任务还可以有一个松弛时间(slack time),表示在不影响整个工期的前提下,完成该任务有多少机动时间。为了表示任务间的关系,图中还可以加入一些空任务(用虚线有向弧表示),完成空任务的时间为0。
        PERT图的一个实例如下图所示,该图所表示的工程可分为12个任务,事件号1表示工程开始,事件号11表示工程结束(完成所有任务需要23个时间单位)。松弛时间为0的任务构成了完成整个工程的关键任务,其事件流为1→2→3→4→6→8→10→11,也就是说,这些任务不能拖延,否则整个工程就不能在23个时间单位内完成。
        
        PERT图示例
        PERT图不仅给出了每个任务的开始时间、结束时间和完成该任务所需的时间,还给出了任务之间的关系,即哪些任务完成后才能开始另外一些任务,还可以找出如期完成整个工程的关键任务。任务的松弛时间则反映了完成任务时可以推迟其开始时间或延长其所需完成的时间。PERT图不能反映任务之间的并行关系。
   题号导航      2010年下半年 信息系统项目管理师 上午试卷 综合知识   本试卷我的完整做题情况  
1 /
2 /
3 /
4 /
5 /
6 /
7 /
8 /
9 /
10 /
11 /
12 /
13 /
14 /
15 /
 
16 /
17 /
18 /
19 /
20 /
21 /
22 /
23 /
24 /
25 /
26 /
27 /
28 /
29 /
30 /
 
31 /
32 /
33 /
34 /
35 /
36 /
37 /
38 /
39 /
40 /
41 /
42 /
43 /
44 /
45 /
 
46 /
47 /
48 /
49 /
50 /
51 /
52 /
53 /
54 /
55 /
56 /
57 /
58 /
59 /
60 /
 
61 /
62 /
63 /
64 /
65 /
66 /
67 /
68 /
69 /
70 /
71 /
72 /
73 /
74 /
75 /
 
第38题    在手机中做本题