免费智能真题库 > 历年试卷 > 系统分析师 > 2018年上半年 系统分析师 上午试卷 综合知识
  第40题      
  知识点:   三级模式   数据模型   存储结构   两级映像   数据库   数据库系统   体系结构
  关键词:   数据库系统   数据模型   语言   数据   数据库        章/节:   数据库系统       

 
数据库的产品很多,尽管它们支持的数据模型不同,使用不同的数据库语言,而且数据的存储结构也各不相同,但体系结构基本上都具有相同的特征,采用“三级模式两级映像”,如下图所示,图中①、②、③分别表示数据库系统中(40),图中④、⑤、⑥分别表示数据库系统中(41)。
 
 
  A.  物理层、逻辑层、视图层
 
  B.  逻辑层、物理层、视图层
 
  C.  视图层、物理层、逻辑层
 
  D.  视图层、逻辑层、物理层
 
 
 

  相关试题:数据库系统          更多>  
 
  第13题    2025年下半年  
   0%
在数据库设计的需求分析、概念结构设计、逻辑结构设计和物理结构设计的四个阶段中,基本E-R图是(41):数据库逻辑结构设计阶段的..
  第45题    2015年上半年  
   66%
关系R、S如下表所示,R÷(πA1A21<3(S)))的结果为(44),R、S的左外联接、右外联接和..
  第44题    2023年上半年  
   68%
在关系 R(A1, A2, A3)和 S(A1, A2, A3)上进行关系运算的 4 个等价的表达式E1、E2、E3 和 E4 如下所示:

如果严格..
   知识点讲解    
   · 三级模式    · 数据模型    · 存储结构    · 两级映像    · 数据库    · 数据库系统    · 体系结构
 
       三级模式
        从下图可以看出,数据库系统可以分为外模式、概念模式和内模式三个层次。
        (1)概念模式(模式、逻辑模式):用以描述整个数据库中数据库的逻辑结构,描述现实世界中的实体及其性质与联系,定义记录、数据项、数据的完整性约束条件及记录之间的联系,是数据项值的框架。概念模式通常还包含有访问控制、保密定义、完整性检查等方面的内容,以及概念/物理之间的映射。概念模式是数据库中全体数据的逻辑结构和特征的描述,是所有用户的公共数据视图。一个数据库只有一个概念模式。
        
        数据库系统结构层次
        (2)外模式(子模式、用户模式):用以描述用户看到或使用的那部分数据的逻辑结构,用户根据外模式用数据操作语句或应用程序去操作数据库中的数据。外模式主要描述组成用户视图的各个记录的组成、相互关系、数据项的特征、数据的安全性和完整性约束条件。外模式是数据库用户(包括程序员和最终用户)能够看见和使用的局部数据的逻辑结构和特征的描述,是数据库用户的数据视图,是与某一应用有关的数据的逻辑表示。一个数据库可以有多个外模式。一个应用程序只能使用一个外模式。
        (3)内模式:是整个数据库的最低层表示,不同于物理层,它假设外存是一个无限的线性地址空间。内模式定义的是存储记录的类型、存储域的表示、存储记录的物理顺序,指引元、索引和存储路径等数据的存贮组织。内模式是数据物理结构和存储方式的描述,是数据在数据库内部的表示方式。一个数据库只有一个内模式。
        概念模式是数据库的中心与关键;内模式依赖于概念模式,独立于外模式和存储设备;外模式面向具体的应用,独立于内模式和存储设备;应用程序依赖于外模式,独立于概念模式和内模式。
 
       数据模型
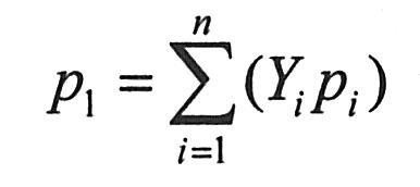
        在数据模型下,对于一个预先确定的输入环境,软件的可靠度定义为在n次连续运行中软件完成指定任务的概率。其基本方法如下:
        设需求说明所规定的功能为F,而程序实现的功能为F′,预先确定的输入集为E={eii=1,2,…,n},令导致软件差错的所有输入的集合为Ee,即Ee={ejejEandF′(ej)<>Fej)},则软件运行一次出现差错概率为:
        
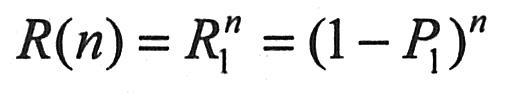
        一次运行正常的概率为R1=1-P1
        在上述讨论中,假设所有输入出现的概率相等。如果不相等,且ei出现的概率为pii=1,2,…,n),则软件运行一次出现差错的概率为:
        
        其中:
        
        于是,软件的可靠度(n次运行不出现差错的概率)为:
        
        显然,只要知道每次运行的时间,上述数据模型中的Rn)就很容易转换成时间模型中的Rt)。
 
       存储结构
               邻接矩阵表示法
               对于具有n个顶点的图G(V,E)来说,其邻接矩阵是一个n阶方阵,且满足
               
               由邻接矩阵的定义可知,无向图的邻接矩阵是对称的,有向图的邻接矩阵就不一定对称了。借助邻接矩阵易判定任意两个顶点之间是否有边(或弧)相连,并且容易求得各个顶点的度。
               网(赋权图)的邻接矩阵可定义为
               
               邻接链表表示法
               邻接链表指的是为图的每个顶点建立一个单链表,第i个单链表中的节点表示依附于顶点vi的边(对于有向图是以vi为尾的弧)。邻接链表中的节点有表节点和表头节点两种类型。
               邻接矩阵和邻接链表表示法对有向图和无向图都适用。
 
       两级映像
        数据库系统在三级模式之间提供了两级映像:模式/内模式映像、外模式/模式映像。正因为这两级映像保证了数据库中的数据具有较高的逻辑独立性和物理独立性。
        (1)模式/内模式的映像:存在于概念级和内部级之间,实现了概念模式到内模式之间的相互转换。
        (2)外模式/模式的映像:存在于外部级和概念级之间,实现了外模式到概念模式之间的相互转换。
 
       数据库
        数据库(DataBase,DB)是指长期存储在计算机内的、有组织的、可共享的数据集合。数据库中的数据按一定的数据模型组织、描述和存储,具有较小的冗余度、较高的数据独立性和易扩展性,并可为各种用户共享。
        系统使用的所有数据存储在一个或几个数据库中。
 
       数据库系统
        简单地说,数据库系统就是基于数据库的计算机应用系统。这样一个系统包括以下内容。
        ①以数据为主体的数据库。
        ②管理数据库的系统(DBMS)。
        ③支持数据库系统的计算机硬件环境和操作系统环境。
        ④管理和使用数据库系统的人——数据库管理员。
        1)数据库的定义和特征
        数据库,顾名思义就是存放数据的仓库,这种想当然的理解是不准确的。数据库对应的英文单词是DataBase,如果直译则是数据基地;而数据仓库则另有其词DataWarehouse。所以数据库和数据仓库不是同义词,数据仓库是在数据库技术的基础上发展起来的又一新的应用领域。
        数据库技术发展到今天已经是一门成熟的技术,但却没有一个被普遍接受的、严格的定义。数据库是相互关联数据的集合,这是大家公认的数据库的基本特征之一。下面一段话概括了数据库应该具备的一些特征,也可以把它作为数据库的定义。
        数据库是相互关联数据的集合,它用综合的方法组织数据,具有较小的数据冗余,可供多个用户共享,具有较高的数据独立性,具有安全控制机制,能够保证数据的安全、可靠,允许并发地使用数据库,能有效、及时地处理数据,并能保证数据的一致性和完整性。
        (1)相互关联的数据集合。数据库中的数据不是孤立的,数据与数据之间是相互关联的。也就是说,在数据库中不仅要能够表示数据本身,还要能够表示数据与数据之间的联系。比如在学籍管理中,有学生和课程两类数据,在数据库中除了要存放这两类数据之外,还要存放哪些学生选修了哪些课程或哪些课程由哪些学生选修这样的信息,这就反映了学生数据和课程数据之间的联系。
        (2)用综合的方法组织数据。数据库能够根据不同的需要按不同的方法组织数据,如可以用顺序组织方法、索引组织方法、聚集(Cluster)组织方法等。
        (3)低冗余与数据共享。由于在数据库技术之前,数据文件都是独立的,所以任何数据文件都必须含有满足某应用的全部数据。比如,人事部门有一个职工文件,教育部门也有一个职工文件,两个部门的职工文件中都有"职工基本情况"的数据,也就是说这一部分数据是重复存储的,如果还有第三、第四个部门也有类似的职工文件,那么重复存储所造成的空间浪费是很大的。在数据库中,可以共享类似"职工基本情况"这样的共用数据,从而降低数据的冗余度。
        (4)数据具有较高的独立性。数据独立性是指数据的组织和存储方式与应用程序互不依赖、彼此独立的特性。在数据库技术之前,数据文件的组织方式和应用程序是密切相关的,当改变数据结构时,相应的应用程序也必须随之修改,这样就大大增加了应用程序的开发代价和维护代价。而数据库技术却可以使数据的组织和存储方法与应用程序互不依赖,从而大大降低应用程序的开发代价和维护代价。
        (5)保证数据的安全、可靠。数据库技术要能够保证数据库中的数据是安全、可靠的。数据库要有一套安全机制,以便可以有效地防止数据库中的数据被非法使用或非法修改;数据库还要有一套完整的备份和恢复机制,以便保证当数据遭到破坏时(软件或硬件故障引起的),能立刻将数据完全恢复,从而保证系统能够连续、可靠地运行。
        (6)最大限度地保证数据的正确性。保证数据正确的特性在数据库中称为数据完整性。在数据库中可以通过建立一些约束条件保证数据库中的数据是正确的。比如输入年龄小于0或者大于200时,数据库能够主动拒绝这类错误。
        (7)数据可以并发使用并能同时保证数据的一致性。数据库中的数据是共享的,并且允许多个用户同时使用同一数据,这就要求数据库能够协调一致,保证各个用户之间对数据的操作不发生矛盾和冲突,即在多个用户同时使用数据库的情况下,能够保证数据的一致性和正确性。
        2)数据库管理系统
        数据库的各种功能和特性,并不是数据库中的数据所固有的,而是靠管理或支持数据库的系统软件——数据库管理系统(DataBase Management System, DBMS)提供的。一个完备的数据库管理系统应该具备上一节提到的各种功能,其任务就是对数据资源进行管理,并且使之能为多个用户共享,同时还能保证数据的安全性、可靠性、完整性、一致性,并要保证数据的高度独立性。一个数据库管理系统应该具备以下功能。
        (1)数据库定义功能。可以定义数据库的结构和数据库的存储结构,可以定义数据库中数据之间的联系,可以定义数据的完整性约束条件和保证完整性的触发机制等。
        (2)数据库操纵功能。可以完成对数据库中数据的操纵,可以装入、删除、修改数据,可以重新组织数据库的存储结构,可以完成数据库的备份和恢复等操作。
        (3)数据库查询功能。可以以各种方式提供灵活的查询功能,可以使用户方便地使用数据库中的数据。
        (4)数据库控制功能。可以完成对数据库的安全性控制、完整性控制、多用户环境下的并发控制等各方面的控制。
        (5)数据库通信功能。在分布式数据库或提供网络操作功能的数据库中还必须提供数据库的通信功能。
        3)数据库管理员
        从事数据库管理工作的人员称为数据库管理员(DataBase Administrator, DBA)。DBA有大量的工作要做,既有技术方面的工作,又有管理方面的工作,要参加数据库开发和使用的全部工作。总体来说,DBA的工作可以概括如下。
        (1)在数据库规划阶段要参与选择和评价与数据库有关的计算机软件和硬件,要与数据库用户共同确定数据库系统的目标和数据库应用需求,要确定数据库的开发计划。
        (2)在数据库设计阶段要负责数据库标准的制定和共用数据字典的研制,要负责各级数据库模式的设计,要负责数据库安全、可靠方面的设计。
        (3)在数据库运行阶段首先要负责对用户进行数据库方面的培训;要负责数据库的转储和恢复;要负责对数据库中的数据进行维护;要负责监视数据库的性能,并调整、改善数据库的性能,提高系统的效率;要继续负责数据库安全系统的管理;要在运行过程中发现问题、解决问题。
        4)数据库的发展
        数据库的核心任务是数据管理,它包括数据的分类、组织、编码、存储、检索和维护等。数据管理经历了以下3个阶段。
        (1)人工管理阶段。人工管理阶段是指计算机诞生的初期(20世纪50年代中期以前)。这个时期的计算机技术,从硬件看还没有磁盘这样的可直接存取的存储设备,从软件看没有操作系统,更没有管理数据的软件。这个时期数据管理的特点如下。
        ①数据不保存。因为计算机主要用于科学计算,一般也不需要长期保存数据,只是在完成某一个计算或课题时才将数据输入,然后不仅原始数据不保存,计算结果也不保存。
        ②没有文件的概念。这个时期的数据组织必须由每个程序的程序员自行组织和安排。
        ③一组数据对应一个程序。每组数据只对应一个应用,即使两个程序用到相同的数据,也必须各自定义、各自组织,数据无法共享、无法相互利用和互相参照。因此,程序和程序之间有大量的数据重复。
        ④没有形成完整的数据管理的概念。由于以上几个特点及没有对数据进行管理的软件系统,所以这个时期的每个程序都要包括数据存取方法、输入输出方法和数据组织方法等。因为程序是直接面向存储结构的,所以存储结构的任何一点修改,都会导致程序的修改,程序与数据不具有独立性。
        (2)文件系统阶段。文件系统阶段是指20世纪50年代后期到60年代中期这一阶段。从那时起,计算机不仅大量用于科学计算,也开始大量用于信息管理。像磁盘这样的直接存取存储设备也已经出现,在软件方面也有了操作系统和高级语言,还有了专门用于数据管理的软件,即文件系统(或操作系统的文件管理部分)。这个阶段的数据管理具有以下特点。
        ①数据可以长期保存在磁盘上,也可以反复使用,即可以经常对文件进行查询、修改、插入和删除等操作。
        ②操作系统提供了文件管理功能和访问文件的存取方法,程序和数据之间有了数据存取的接口,程序开始通过文件名和数据打交道,可以不再关心数据的物理存放位置。因此,这时也有了数据的物理结构和数据的逻辑结构的区别。程序和数据之间有了一定的独立性。
        ③文件的形式已经多样化。由于有了磁盘这样的直接存取存储设备,文件也就不再局限于顺序文件,也有了索引文件、链表文件等。因而,对文件的访问可以是顺序访问,也可以是直接访问。但文件之间是独立的,它们之间的联系要通过程序去构造,文件的共享性还比较差。
        ④有了存储文件以后,数据就不再仅仅属于某个特定的程序,而是可以由多个程序反复使用。但文件结构的设计仍然是基于特定的用途,程序仍然是基于特定的物理结构和存取方法编制的。因此,数据的存储结构和程序之间的依赖关系并未根本改变。
        ⑤数据的存取基本上以记录为单位。
        (3)数据库系统阶段。数据库系统阶段从20世纪60年代后期开始,数据库技术的诞生既有计算机技术的发展做依托,又有数据管理的需求做动力。数据库的数据不再是面向某个应用或某个程序,而是面向整个企业(组织)或整个应用。
 
       体系结构
        RPR的体系结构如下图所示。RPR采用了双环结构,由内层的环1和外层的环0组成,每个环都是单方向传送。相邻工作站之间的跨距包含传送方向相反的两条链路。RPR支持多达255个工作站,最大环周长为2000km。
        
        RPR体系结构
   题号导航      2018年上半年 系统分析师 上午试卷 综合知识   本试卷我的完整做题情况  
1 /
2 /
3 /
4 /
5 /
6 /
7 /
8 /
9 /
10 /
11 /
12 /
13 /
14 /
15 /
 
16 /
17 /
18 /
19 /
20 /
21 /
22 /
23 /
24 /
25 /
26 /
27 /
28 /
29 /
30 /
 
31 /
32 /
33 /
34 /
35 /
36 /
37 /
38 /
39 /
40 /
41 /
42 /
43 /
44 /
45 /
 
46 /
47 /
48 /
49 /
50 /
51 /
52 /
53 /
54 /
55 /
56 /
57 /
58 /
59 /
60 /
 
61 /
62 /
63 /
64 /
65 /
66 /
67 /
68 /
69 /
70 /
71 /
72 /
73 /
74 /
75 /
 
第40题    在手机中做本题