免费智能真题库 > 历年试卷 > 系统分析师 > 2023年上半年 系统分析师 上午试卷 综合知识
  第17题      
  知识点:   时间模型   复用   恢复   可用性   软件系统
  关键词:   故障恢复   可用性   软件系统   运行时间   故障        章/节:   系统配置与性能评价       

 
软件系统投入运行 15 天,计划运行时间为每早 8 点至晚 6 点。第二天上午发生一次失效,故障恢复用了 1 个小时,第 4 天上午发生一次失效,故障恢复用了 4 个小时,第 9 天上午发生一次失效,故障恢复用了 2 个小时,除此之外系统一直正常运行。那么,该软件系统可用性约为( )。
 
 
  A.  94. 5%
 
  B.  98.3%
 
  C.  100%
 
  D.  95.3%
 
 
 

  相关试题:系统配置与性能评价          更多>  
 
  第18题    2024年上半年  
   0%
MIPS(每秒百万次指令数)和MFLOPS(每秒百万次浮点运算数)是衡量CPU性能的两个指标,其中(16)。
  第16题    2012年上半年  
   30%
某高可靠性计算机系统由下图所示的冗余部件构成。若每个部件的千小时可靠度都为R,则该计算机系统的千小时可靠度为(16).
..
  第59题    2020年下半年  
   27%
系统评价是对系统运行一段时间后的技术性能和经济效益等方面的评价,是对信息系统审计工作的延伸。系统评价包含多个方面的内容,..
   知识点讲解    
   · 时间模型    · 复用    · 恢复    · 可用性    · 软件系统
 
       时间模型
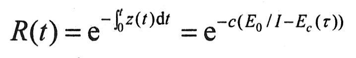
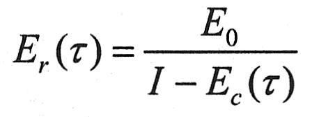
        时间模型基于这样一个假设:一个软件中的故障数目在t=0时是常数,随着故障被纠正,故障数目逐渐减少。在此假设下,一个软件经过一段时间的调试后剩余故障的数目可用下式来估计:
        
        其中,τ为调试时间,Erτ)为在时刻τ软件中剩余的故障数,E0τ=0时软件中的故障数,Ecτ)为在[0,τ]内纠正的故障数,I为软件中的指令数。
        由故障数Erτ)可以得出软件的风险函数Zt)=CErτ),其中C是比例常数。于是,软件的可靠度为:
        
        软件的平均无故障时间为:
        
        在时间模型中,需要确定在调试前软件中的故障数目,这往往是一件很困难的任务。
 
       复用
        软件复用是指将已有的软件及其有效成分用于构造新的软件或系统。构件技术是软件复用实现的关键。
 
       恢复
        数据恢复有3个步骤。
        (1)反向扫描文件日志,查找该事务的更新操作。
        (2)对事务的更新操作执行逆操作。
        (3)继续反向扫描日志文件,查找该事务的其他更新操作,并做同样的处理,直到事务的开始标志。
 
       可用性
        可用性(Availability)是指合法许可的用户能够及时获取网络信息或服务的特性。例如,网站能够给用户提供正常的网页访问服务,防止拒绝服务攻击。可用性是常受关注的网络信息系统CIA三性之一,其中A代表可用性(Availability)。对于国家关键信息基础设施而言,可用性至关重要,如电力信息系统、电信信息系统等,要求保持业务连续性运行,尽可能避免中断服务。
 
       软件系统
        网络系统软件包括网络操作系统和网络协议等。网络操作系统是指能够控制和管理网络资源的软件,是由多个系统软件组成,在基本系统上有多种配置和选项可供选择,使得用户可根据不同的需要和设备构成最佳组合的互联网络操作系统。网络协议是保证网络中两台设备之间正确传送数据的约定。
   题号导航      2023年上半年 系统分析师 上午试卷 综合知识   本试卷我的完整做题情况  
1 /
2 /
3 /
4 /
5 /
6 /
7 /
8 /
9 /
10 /
11 /
12 /
13 /
14 /
15 /
 
16 /
17 /
18 /
19 /
20 /
21 /
22 /
23 /
24 /
25 /
26 /
27 /
28 /
29 /
30 /
 
31 /
32 /
33 /
34 /
35 /
36 /
37 /
38 /
39 /
40 /
41 /
42 /
43 /
44 /
45 /
 
46 /
47 /
48 /
49 /
50 /
51 /
52 /
53 /
54 /
55 /
56 /
57 /
59 /
60 /
61 /
 
62 /
63 /
64 /
65 /
66 /
67 /
68 /
69 /
70 /
71 /
72 /
73 /
74 /
75 /
 
第17题    在手机中做本题