免费智能真题库 > 历年试卷 > 系统架构设计师 > 2025年上半年 系统架构设计师 上午试卷 综合知识
  第48题      
  关键词:   进程        章/节:   操作系统       

 
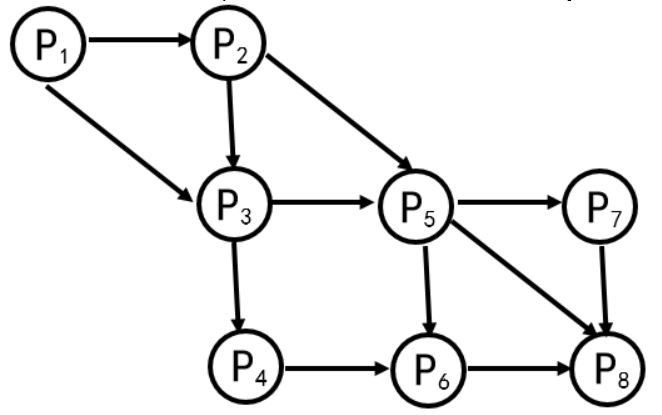
前趋图(Precedence Graph)是一个有向无环图,记为:→=(Pi.Pj)Pi must complete before Pj may start), 假设系统中进程P={P1, P2,P3, P4, P5, P6, P7, P8}, 且进程的前驱图如下:
 
 
  A.  →={(P1,P2) , (P1,P3) , (P2,P5) , (P2,P3) , (P3,P4) , (P3,P5) ,(P4,P5) , (P5,P6) , (P5,P7) , (P8,P5), (P6,P7) , (P7,P8) }
 
  B.  →={(P1,P2) , (P1,P3) , (P2,P3), (P2,P5) , (P3,P4) , (P3,P5),(P4,P6) , (P5,P6) , (P5,P7) ,(P5,P8), (P6,P8) , (P7,P8) }
 
  C.  →={ (P1,P2) , (P3,P1) , (P4,P1), (P5,P2) , (P5,P3) , (P6,P4) , (P7,P5), (P7,P6) , (P5,P6), (P4,P5), (P6,P7) , (P7,P6) }
 
  D.  →={ (P1,P2) , (P1,P3) , (P2,P3), (P2,P5) , (P3,P6) , (P3,P4) ,(P4,P7) ,(P5,P6) , (P6,P7),(P6,P5),(P7,P5) , (P7,P8) }
 
 
 

  相关试题:操作系统          更多>  
 
  第2题    2019年下半年  
   55%
进程P有8个页面,页号分别为0~7,页面大小为4K,假设系统给进程P分配了4个存储块,进程P的页面变换表如下所示。表中状态位等于1和..
  第18题    2025年下半年  
   0%
在磁盘调度管理中,应先进行移臂调度,再进行旋转调度。假设磁盘移动臂位于21号柱面上,进程的请求序列如下表所示。如果采用最短..
  第2题    2011年下半年  
   34%
进程P1、P2、P3、P4和P5的前趋图如下:

若用PV操作控制进程P1?P5并发执行的过程,则需要设置5个信号量S1、S2、 ..
   题号导航      2025年上半年 系统架构设计师 上午试卷 综合知识   本试卷我的完整做题情况  
1 /
2 /
3 /
4 /
5 /
6 /
7 /
8 /
9 /
10 /
11 /
12 /
13 /
14 /
15 /
 
16 /
17 /
18 /
19 /
20 /
21 /
22 /
23 /
24 /
25 /
26 /
27 /
28 /
29 /
30 /
 
31 /
32 /
33 /
34 /
35 /
36 /
37 /
38 /
39 /
40 /
41 /
42 /
43 /
44 /
45 /
 
46 /
47 /
48 /
49 /
50 /
51 /
52 /
53 /
54 /
55 /
56 /
57 /
58 /
59 /
60 /
 
61 /
62 /
63 /
64 /
65 /
66 /
67 /
68 /
69 /
70 /
71 /
72 /
73 /
74 /
75 /
 
第48题    在手机中做本题