免费智能真题库 > 历年试卷 > 系统架构设计师 > 2024年上半年 系统架构设计师 上午试卷 综合知识
  第9题      
  知识点:   线性规划
  关键词:   线性规划        章/节:   运筹方法(网络计划技术、线性规划、预测、决策、库存管理、模拟)       

 
如果X和Y都是某线性规划问题的最优解,则当()时,λX+μY一定也是其最优解。
 
 
  A.  A+μ=1
 
  B.  λ,μ>=0,λ+μ=1
 
  C.  λ,μ>=0
 
  D.  λ,μ>=0,λ+μ=2
 
 
 

 
  第70题    2017年下半年  
   45%
某工程包括A、B、C、D四个作业,其衔接关系、正常进度下所需天数和所需直接费用、赶工进度下所需的最少天数和每天需要增加的直接..
  第69题    2015年下半年  
   63%
甲、乙、丙、丁4人加工A、B、C、D四种工件所需工时如下表所示。指派每人加工一种工件,四人加工四种工件其总工时最短的最优方案中..
  第69题    2013年下半年  
   59%
某企业拟生产甲、乙、丙、丁四个产品。每个产品必须依次由设计部门、制造部门和检验部门进行设计、制造和检验,每个部门生产产品..
   知识点讲解    
   · 线性规划
 
       线性规划
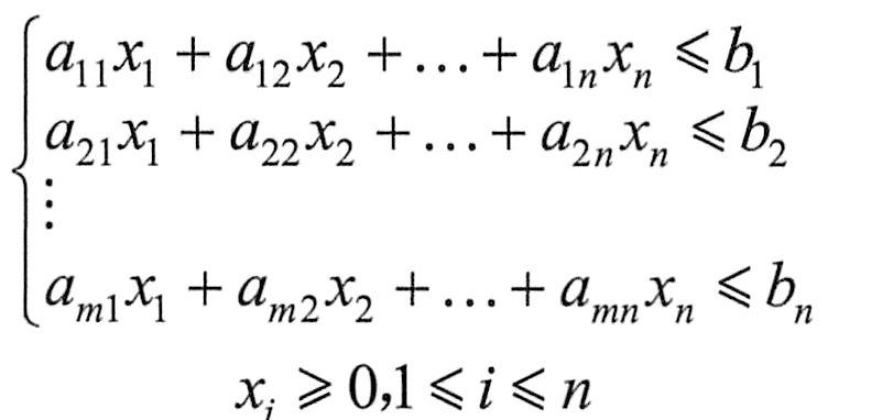
        线性规划是研究在有限的资源条件下,如何有效地使用这些资源达到预定目标的数学方法。用数学的语言来说,也就是在一组约束条件下寻找目标函数的极值问题。
        求极大值(或极小值)的模型表达如下:
        
        在上述条件下,求解x1x2,…,xn,使满足下列表达式的Z取极大值(或极小值):
        
        解线性规划问题的方法有很多,最常用的有图解法和单纯形法。图解法简单直观,有助于了解线性规划问题求解的基本原理,下面,通过一个例子来说明图解法的应用。
        例题1某工厂在计划期内要安排生产Ⅰ、Ⅱ两种产品,已知生产单位产品所需的设备台时及A、B两种原料的消耗,如下表所示。
        
        产品与原料的关系
        该工厂每生产一件产品Ⅰ可获利2元,每生产一件产品Ⅱ可获利3元,问应该如何安排计划使该工厂获利最多?
        该问题可用以下数学模型来描述,设x1x2分别表示在计划期内产品Ⅰ、Ⅱ的产量,因为设备的有效台时是8,这是一个限制产量的条件,所以在确定产品Ⅰ、Ⅱ的产量时,要考虑不超过设备的有效台时数,即可用不等式表示为x1+2x2≤8
        同理,因原料A、B的限量,可以得到以下不等式
        4x1≤16,4x2≤12
        该工厂的目标是在不超过所有资源限制的条件下,确定产量x1x2,以得到最大的利润。若用z表示利润,这时z=2x1+3x2。综上所述,该计划问题可用数学模型表示为:
        目标函数:
        maxz=2x1+3x2
        满足约束条件:
        x1+2x2≤8
        4x1≤16
        4x2≤12
        x1x2≥0
        在以x1x2为坐标轴的直角坐标系中,非负条件x1x2≥0是指第一象限。上述每个约束条件都代表一个半平面。如约束条件x1+2x2≤8是代表以直线x1+2x2=8为边界的左下方的半平面,若同时满足x1x2≥0,x1+2x2≤8,4x1≤16和4x2≤12的约束条件的点,必然落在由这三个半平面交成的区域内。由例题1的所有约束条件为半平面交成的区域如下图中的阴影部分所示。阴影区域中的每一个点(包括边界点)都是这个线性规划问题的解(称可行解),因而此区域是例题1的线性规划问题的解的集合,称为可行域。
        
        线性规划的图解法
        再分析目标函数z=x21+3x2,在坐标平面上,它可表示以z为参数,-2/3为斜率的一族平行线:
        
        位于同一直线上的点,具有相同的目标函数值,因此称它为等值线。当z值由小变大时,直线沿其法线方向向右上方移动。当移动到Q2点时,使z值在可行域边界上实现最大化(如上图所示),这就得到了例题1的最优解Q2Q2点的坐标为(4,2)。于是可计算出z=14。
        这说明该厂的最优生产计划方案是:生产4件产品Ⅰ,2件产品Ⅱ,可得最大利润为14元。
        例题1中求解得到的最优解是唯一的,但对一般线性规划问题,求解结果还可能出现以下几种情况:无穷多最优解(多重解)、无界解(无最优解)、无可行解。当求解结果出现后两种情况时,一般说明线性规划问题的数学模型有错误。无界解源于缺乏必要的约束条件,无可行解源于矛盾的约束条件。
        从图解法中可以直观地看到,当线性规划问题的可行域非空时,它是有界或无界凸多边形。若线性规划问题存在最优解,它一定在可行域的某个顶点得到;若在两个顶点同时得到最优解,则它们连线上的任意一点都是最优解,即有无穷多最优解。
        图解法虽然直观,但当变量数多于3个以上时,它就无能为力了,这时需要使用单纯形法。
        单纯形法的基本思路是:根据问题的标准,从可行域中某个可行解(一个顶点)开始,转换到另一个可行解(顶点),并且使目标函数达到最大值时,问题就得到了最优解。限于篇幅,不再介绍单纯形法的详细求解过程。
   题号导航      2024年上半年 系统架构设计师 上午试卷 综合知识   本试卷我的完整做题情况  
1 /
2 /
3 /
4 /
5 /
6 /
7 /
8 /
9 /
10 /
11 /
12 /
13 /
14 /
15 /
 
16 /
17 /
18 /
19 /
20 /
21 /
22 /
23 /
24 /
25 /
26 /
27 /
28 /
29 /
30 /
 
31 /
32 /
33 /
34 /
35 /
36 /
37 /
38 /
39 /
40 /
41 /
42 /
43 /
44 /
45 /
 
46 /
47 /
48 /
49 /
50 /
51 /
52 /
53 /
54 /
55 /
56 /
57 /
58 /
59 /
60 /
 
61 /
62 /
 
第9题    在手机中做本题