免费智能真题库 > 历年试卷 > 软件设计师 > 2021年上半年 软件设计师 上午试卷 综合知识
  第53题      
  知识点:   语法分析
  章/节:   计算机软件知识       

 
设有描述简单算术表达的上下文无关文法如下,其中id表示单字母。
E→E+T|T
T→F*T|F
F→id
与使用该文法描述的表达式a+b*c*d相符的语法树为(52),
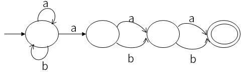
下图所示有限自动机(DFA)是(53)。

 
 
  A.  确定的有限自动机,它能识别以bab结尾的
 
  B.  确定的有限自动机,他不能识别以bab结尾的
 
  C.  非确定的有限自动机,他能识别以bab结尾的
 
  D.  非确定的有限自动机,他不能识别以bab结尾的
 
 
 

  相关试题:计算机软件知识          更多>  
 
  第49题    2021年下半年  
   38%
采用三级模式结构的数据库系统中,如果对一个表创建聚簇索引,那么改变的是数据库的()。
  第28题    2016年下半年  
   41%
某字长为32位的计算机的文件管理系统采用位示图(bitmap)记录磁盘的使用情况。若磁盘的容量为300GB,物理块的大小为1MB,那么位..
  第54题    2019年上半年  
   21%
要将部门表Dept中name列的修改权限赋予用户Ming,并允许Ming将该权限授予他人。实现该要求的SQL语句如下:
GRANT UPDATE(..
   知识点讲解    
   · 语法分析
 
       语法分析
        语法分析的任务是根据语言的语法规则,分析单词串是否构成短语和句子,同时检查和处理程序中的语法错误。根据产生语法树的方向,语法分析可分为自底向上和自顶向下两类。
        自顶向下的分析是对给定的符号串,试图自顶向下地为其构造一棵语法树,或者说从文法的开始符号出发,为其构造一个最佳推导。
        自底向上的分析是对给定的符号串,试图自底向上地为其构造一棵语法树,或者说从给定的符号串本身出发,试图将其归约为文法的开始符号。
        算符优先文法属于自底向上的分析法,它利用各个算符间的优先关系和结合规则来进行语法分析,特别是用于分析各种表达式。算符优先文法的任何产生式的右部都会出现两个非终结符相邻的情况,且任何一对终结符之间至多只有3种算符关系,即">""<"和"="之一成立。
   题号导航      2021年上半年 软件设计师 上午试卷 综合知识   本试卷我的完整做题情况  
1 /
2 /
3 /
4 /
5 /
6 /
7 /
8 /
9 /
10 /
11 /
12 /
13 /
14 /
15 /
 
16 /
17 /
18 /
19 /
20 /
21 /
22 /
23 /
24 /
25 /
26 /
27 /
28 /
29 /
30 /
 
31 /
32 /
33 /
34 /
35 /
36 /
37 /
38 /
39 /
40 /
41 /
42 /
43 /
44 /
45 /
 
46 /
47 /
48 /
49 /
50 /
51 /
52 /
53 /
54 /
55 /
56 /
57 /
58 /
59 /
60 /
 
61 /
62 /
63 /
64 /
65 /
66 /
67 /
68 /
69 /
70 /
71 /
72 /
73 /
74 /
75 /
 
第53题    在手机中做本题