免费智能真题库 > 历年试卷 > 软件设计师 > 2021年上半年 软件设计师 上午试卷 综合知识
  第71题      
  知识点:   活动图   关键路径
  关键词:   关键路径   活动图   里程碑   软件项目        章/节:   计算机专业英语       

 
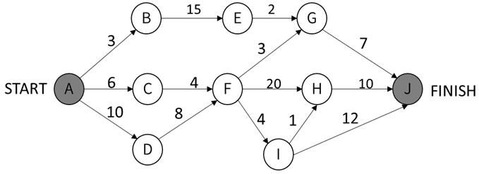
下面是一个软件项目活动图,其中顶点表示项目里程碑,连接顶点的边表示包含的活动,边上的权重表示活动的持续时间(天),则关键路径长度为(71),在该活动图中,活动(72)晚16天开始不会影响上班。
 
 
  A.  20
 
  B.  25
 
  C.  27
 
  D.  48
 
 
 

  相关试题:计算机专业英语          更多>  
 
  第72题    2018年下半年  
   66%
The project workbook is not so much a separate document as it is a structure imposed on the documents that the project w..
  第74题    2021年下半年  
   70%
One is that of a software engineer and the other is a DevOps engineer. The biggest different is in their (71). Software ..
  第75题    2014年上半年  
   54%
Cloud computing is a phrase used to describe a variety of computing concepts that involve a large number of computers (7..
   知识点讲解    
   · 活动图    · 关键路径
 
       活动图
        活动图(Activity Diagram)是一种特殊的状态图,它展现了在系统内从一个活动到另一个活动的流程。
        活动图专注于系统的动态视图,它对于系统的功能建模特别重要,并强调对象间的控制流程。活动图一般包括活动状态和动作状态、转换和对象。当对一个系统的动态方面进行建模时,通常有两种使用活动图的方式:对工作流建模;对操作建模。
 
       关键路径
        在AOV网络中,如果边上的权表示完成该活动所需的时间,则称这样的AOV为AOE网络。例如,下图表示一个具有10个活动的某个工程的AOE网络。图中有7个结点,分别表示事件V1~V7,其中V1表示工程开始状态,V7表示工程结束状态,边上的权表示完成该活动所需的时间。
        
        AOE网络的例子
        因AOE网络中的某些活动可以并行地进行,所以完成工程的最少时间是从开始结点到结束结点的最长路径长度,称从开始结点到结束结点的最长路径为关健路径(临界路径),关键路径上的活动为关键活动。为了找出给定的AOE网络的关键活动,从而找出关键路径,先定义几个重要的量:
        Vej)、V1j):结点j事件最早、最迟发生时间。
        eili):活动i最早、最迟开始时间。
        从源点V1到某结点Vj的最长路径长度,称为事件Vj的最早发生时间,记作Vej)。Vej)也是以Vj为起点的出边<VjVk>所表示的活动ai的最早开始时间ei)。
        在不推迟整个工程完成的前提下,一个事件Vj允许的最迟发生时间,记作V1j)。显然,li)=V1j)-(ai所需时间),其中jai活动的终点。满足条件li)=ei)的活动为关键活动。
        求结点VjVej)和V1j)可按以下两步来做:
               由源点开始向汇点递推
               
               其中,E1是网络中以Vj为终点的入边集合。
               由汇点开始向源点递推
               
               其中,E2是网络中以Vj为起点的出边集合。
               要求一个AOE的关键路径,一般需要根据以上变量列出一张表格,逐个检查。例如,求上图所示的AOE的关键路径的表格如下表所示。
               
               求关键路径的过程
               
               因此,上图的关键活动为a1a2a4a8a9,其对应的关键路径有两条,分别为(V1V2V5V7)和(V1V4V5V7),长度都是10。
               一般来说,不在关键路径上的活动时间的缩短,不能缩短整个工期。而不在关键路径上的活动时间的延长,可能导致关键路径的变化,因此可能影响整个工期。
               在实际解答试题时,一般所给出的活动数并不多,我们可以采取观察法求得其关键路径,即路径最长的那条路径就是关键路径。
   题号导航      2021年上半年 软件设计师 上午试卷 综合知识   本试卷我的完整做题情况  
1 /
2 /
3 /
4 /
5 /
6 /
7 /
8 /
9 /
10 /
11 /
12 /
13 /
14 /
15 /
 
16 /
17 /
18 /
19 /
20 /
21 /
22 /
23 /
24 /
25 /
26 /
27 /
28 /
29 /
30 /
 
31 /
32 /
33 /
34 /
35 /
36 /
37 /
38 /
39 /
40 /
41 /
42 /
43 /
44 /
45 /
 
46 /
47 /
48 /
49 /
50 /
51 /
52 /
53 /
54 /
55 /
56 /
57 /
58 /
59 /
60 /
 
61 /
62 /
63 /
64 /
65 /
66 /
67 /
68 /
69 /
70 /
71 /
72 /
73 /
74 /
75 /
 
第71题    在手机中做本题