免费智能真题库 > 历年试卷 > 软件设计师 > 2010年上半年 软件设计师 上午试卷 综合知识
  第36题      
  章/节:   软件质量管理基础知识       

 
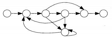
某程序的程序图如下图所示,运用McCabe度量法对其进行度量,其环路复杂度是(36)。
 
 
 
  A.  4
 
  B.  5
 
  C.  6
 
  D.  8
 
 
 

  相关试题:软件质量管理基础知识          更多>  
 
  第31题    2019年下半年  
   58%
在IS0/IEC软件质量模型中,易使用性是指与使用所需的努力和由一组规定或隐含的用户对这样使用所作的个别评价有关的一组属性,其子..
  第31题    2018年下半年  
   60%
在ISO/IEC 9126软件质量模型中,可靠性质量特性是指在规定的一段时间内和规定的条件下,软件维持在其性能水平有关的能力,其质量..
  第32题    2013年上半年  
   43%
(32)不属于软件设计质量评审。
   题号导航      2010年上半年 软件设计师 上午试卷 综合知识   本试卷我的完整做题情况  
1 /
2 /
3 /
4 /
5 /
6 /
7 /
8 /
9 /
10 /
11 /
12 /
13 /
14 /
15 /
 
16 /
17 /
18 /
19 /
20 /
21 /
22 /
23 /
24 /
25 /
26 /
27 /
28 /
29 /
30 /
 
31 /
32 /
33 /
34 /
35 /
36 /
37 /
38 /
39 /
40 /
41 /
42 /
43 /
44 /
45 /
 
46 /
47 /
48 /
49 /
50 /
51 /
52 /
53 /
54 /
55 /
56 /
57 /
58 /
59 /
60 /
 
61 /
62 /
63 /
64 /
65 /
66 /
67 /
68 /
69 /
70 /
71 /
72 /
73 /
74 /
75 /
 
第36题    在手机中做本题