免费智能真题库 > 历年试卷 > 软件设计师 > 2010年上半年 软件设计师 上午试卷 综合知识
  第63题      
  知识点:   二叉排序树   排序
  关键词:   二叉排序树   排序        章/节:   计算机软件知识       

 
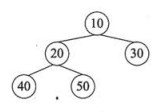
用关键字序列10、20、30、40、50构造的二叉排序(二叉査找树)为(63)。
 
 
  A. 
 
  B. 
 
  C. 
 
  D. 
 
 
 

  相关试题:计算机软件知识          更多>  
 
  第56题    2020年下半年  
   43%
某企业信息系统采用分布式数据库系统。”当某一场地故障时,系统可以使用其他场地上的副本而不至于使整个系统瘫痪"称为分布式数据..
  第27题    2011年上半年  
   43%
某系统采用请求页式存储管理方案,假设某进程有6个页面,系统给该进程分配了4个存储块,其页面变换表如下表所示,表中的状态位等..
  第57题    2012年上半年  
   35%
对于一个长度大于1且不存在重复元素的序列,令其所有元素依次通过一个初始为空的队列后,再通过一个初始为空的栈。设队列和栈的容..
   知识点讲解    
   · 二叉排序树    · 排序
 
       二叉排序树
        二叉排序树又称为二叉查找树,它或者是一棵空树,或者是满足以下性质的二叉树。
        (1)若它的左子树非空,则左子树上所有节点的值均小于根节点的值。
        (2)若它的右子树非空,则右子树上所有节点的值均大于根节点的值。
        (3)左、右子树本身就是两棵二叉排序树。
        二叉排序树的查找过程是:若二叉排序树非空,则将给定值与根节点的关键字值相比较,若相等,则查找成功;若不等,则当根节点的关键字值大于给定值时,到根的左子树中进行查找;否则到根的右子树中进行查找。若找到,则查找过程是走了一条从树根到所找到节点的路径;否则查找过程终止于一棵空树。
        二叉排序树中插入节点的操作:每读入一个元素,建立一个新节点,若二叉树非空,则将新节点的值与根节点的值相比较,如果小于根节点的值,则插入到左子树中,否则插入到右子树中;若二叉排序树为空,则新节点作为二叉排序树的根节点。
        二叉排序树中删除节点的操作:在二叉树中删除一个节点,不能把以该节点为根的子树都删除,只能删除这个节点并仍旧保持二叉排序树的特性,也就是说,删除二叉排序树上一个节点相当于删除有序数列中的一个元素。假设二叉排序树上的被删除节点为*pp指针指向被删除节点),*f为其双亲节点,则删除节点*p的过程可分为以下3种情况。
        ①若*p节点为叶子节点,即p→lchild及p→rchild均为空,则由于删去叶子节点后不破坏整棵树的结构,因此只需修改*p节点的双亲节点*f的相应指针即可,即f→lchild(或f→rchild)=NULL。
        ②若*p节点只有左子树或者只有右子树,此时只要将*p的左子树或右子树接成其双亲节点*f左子树或右子树,即令f→lchild(或f→rchild)=p→lchild,或f→lchild(或f→rchild)=p→rchild。
        ③若*p节点的左、右子树均不空,则不能像上面那样简单处理,删除*p节点时应将*p的左子树、右子树连接到适当的位置,并保持二叉排序树的特性。可采用以下两种方法进行处理:一是令*p的左子树为*f的左(或右)子树,而将*p的右子树下接到*p的中序遍历的直接前驱节点*s的右孩子指针上;二是用*p的中序直接前驱(或后继)节点*s代替*p节点,然后删除*s节点。
 
       排序
        假设含n个记录的文件内容为{R1R2,…,Rn},其相应的关键字为{k1k2,…,kn}。经过排序确定一种排列{Rj1Rj2,…,Rjn},使得它们的关键字满足如下递增(或递减)关系:kj1≤kj2≤…≤kjn(或kj1kj2≥…≥kjn)。
   题号导航      2010年上半年 软件设计师 上午试卷 综合知识   本试卷我的完整做题情况  
1 /
2 /
3 /
4 /
5 /
6 /
7 /
8 /
9 /
10 /
11 /
12 /
13 /
14 /
15 /
 
16 /
17 /
18 /
19 /
20 /
21 /
22 /
23 /
24 /
25 /
26 /
27 /
28 /
29 /
30 /
 
31 /
32 /
33 /
34 /
35 /
36 /
37 /
38 /
39 /
40 /
41 /
42 /
43 /
44 /
45 /
 
46 /
47 /
48 /
49 /
50 /
51 /
52 /
53 /
54 /
55 /
56 /
57 /
58 /
59 /
60 /
 
61 /
62 /
63 /
64 /
65 /
66 /
67 /
68 /
69 /
70 /
71 /
72 /
73 /
74 /
75 /
 
第63题    在手机中做本题