免费智能真题库 > 历年试卷 > 网络工程师 > 2025年下半年 网络工程师 上午试卷 综合知识
  第60题      
  关键词:   活动图   开发   里程碑   软件项目        章/节:   系统开发基础知识       

 
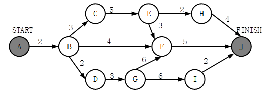
某软件项目的活动图如下图所示,其中顶点表示项目里程碑,连接顶点的边表示包含的活动,边上的数字表示活动的持续时间(天)。完成该项目的最少时间为(7)。由于某种原因,现在需要同一个开发人员完成BC和BD,到完成该项目如最少时间为(8)天。

 
 
  A.  11
 
  B.  18
 
  C.  20
 
  D.  21
 
 
 

  相关试题:系统开发基础知识          更多>  
 
  第70题    2022年上半年  
   36%
以下关于信息化项目成本估算的描述中,不正确的是()。
  第5题    2009年下半年  
   35%
面向对象开发方法的基本思想是尽可能按照人类认识客观世界的方法来分析和解决问题,(5)方法不属于面向对象方法。
  第6题    2013年下半年  
   40%
下图是一个软件项目的活动图,其中顶点表示项目里程碑,连接顶点的边表示包含的活动,则里程碑(6)在关键路径上。若在实际项目进..
   题号导航      2025年下半年 网络工程师 上午试卷 综合知识   本试卷我的完整做题情况  
1 /
2 /
3 /
4 /
5 /
6 /
7 /
8 /
9 /
10 /
11 /
12 /
13 /
14 /
15 /
 
16 /
17 /
18 /
19 /
20 /
21 /
22 /
23 /
24 /
25 /
26 /
27 /
28 /
29 /
30 /
 
31 /
32 /
33 /
34 /
35 /
36 /
37 /
38 /
39 /
40 /
41 /
42 /
43 /
44 /
45 /
 
46 /
47 /
48 /
49 /
50 /
51 /
52 /
53 /
54 /
55 /
56 /
57 /
58 /
59 /
60 /
 
61 /
62 /
63 /
64 /
65 /
66 /
67 /
68 /
69 /
70 /
71 /
72 /
73 /
74 /
75 /
 
第60题    在手机中做本题