免费智能真题库 > 历年试卷 > 网络工程师 > 2012年下半年 网络工程师 上午试卷 综合知识
  第7题      
  章/节:   系统开发基础知识       

 
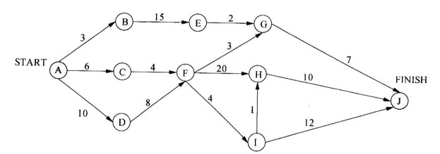
下图是一个软件项目的活动图,其中顶点表示项目里程碑,连接顶点的边表示包含的活动,则里程碑(6)在关键路径上,活动FG的松弛时间为(7) 。
 
 
  A.  19
 
  B.  20
 
  C.  21
 
  D.  24
 
 
 

  相关试题:系统开发基础知识          更多>  
 
  第1题    2020年下半年  
   38%
关系型数据库采用( )解决数据并发引起的冲突。
  第7题    2016年上半年  
   30%
在结构化分析中,用数据流图描述(7)。当采用数据流图对一个图书馆管理系统进行分析时,(8)是一个外部实体。
  第8题    2017年下半年  
   41%
某软件项目的活动图如下图所示,其中顶点表示项目里程碑,连接顶点的边表示包含的活动,边上的数字表示活动的持续时间(天)。完..
   题号导航      2012年下半年 网络工程师 上午试卷 综合知识   本试卷我的完整做题情况  
1 /
2 /
3 /
4 /
5 /
6 /
7 /
8 /
9 /
10 /
11 /
12 /
13 /
14 /
15 /
 
16 /
17 /
18 /
19 /
20 /
21 /
22 /
23 /
24 /
25 /
26 /
27 /
28 /
29 /
30 /
 
31 /
32 /
33 /
34 /
35 /
36 /
37 /
38 /
39 /
40 /
41 /
42 /
43 /
44 /
45 /
 
46 /
47 /
48 /
49 /
50 /
51 /
52 /
53 /
54 /
55 /
56 /
57 /
58 /
59 /
60 /
 
61 /
62 /
63 /
64 /
65 /
66 /
67 /
68 /
69 /
70 /
71 /
72 /
73 /
74 /
75 /
 
第7题    在手机中做本题