免费智能真题库 > 历年试卷 > 信息系统监理师 > 2012年下半年 信息系统监理师 上午试卷 综合知识
  第18题      
  知识点:   操作系统   事务   数据库   性能价格比   硬件
  关键词:   OLTP   基准程序   联机事务处理   数据库   性能价格比   硬件   数据        章/节:   计算机技术知识与网络知识       

 
用于评价在联机事务处理(OLTP)环境下的数据库硬件的性能,并可用于不同系统之间用性能价格比进行比较的基准程序规范是(18)。
 
 
  A.  TPC-A
 
  B.  TPC-B
 
  C.  TPC-C
 
  D.  TPC-D
 
 
 

  相关试题:计算机技术知识与网络知识          更多>  
 
  第16题    2024年下半年  
   0%
大数据具有“volume”、“variety”、“value”、“velocity”等特点,其中“vol..
  第50题    2024年下半年  
   0%
某市正在建设智慧城市信息港工程,采用了城域网交换技术( ),使用双总线体系结构,可支持200Mb/s的传输速率。
  第12题    2019年下半年  
   56%
( )通过特定的工具和途径记录用户所访问的相关页面信息。
   知识点讲解    
   · 操作系统    · 事务    · 数据库    · 性能价格比    · 硬件
 
       操作系统
        在操作系统方面,主要考查操作系统的功能、Windows的文件系统、Windows和Linux的比较、Windows基本操作、UNIX系统、目录结构、目录共享、管道和虚拟存储器等。
                      操作系统的功能
                      从资源管理的观点看,操作系统的功能分成5大部分,即处理机管理、存储管理、文件管理、设备管理和作业管理。这5大部分相互配合,协调工作,实现对计算机系统的资源管理和控制程序的执行,为用户提供方便的使用接口和良好的运行环境。
                      (1)处理机管理(进程管理)。实质上是对处理机执行时间的管理,即如何将CPU真正合理地分配给每个任务进程控制、进程同步、进程通信和调度。
                      (2)存储管理。实质是对存储空间的管理,主要指对内存的管理、内存分配、内存保护、内存扩充、地址映射、逻辑地址、物理地址的定义。
                      (3)设备管理。实质是对硬件设备的管理,其中包括对输入输出设备的分配和启动、完成和回收缓冲管理、设备分配、设备处理、设备独立性和虚拟设备。
                      (4)信息管理(文件管理)。文件存储空间的管理、目录管理、文件的读/写管理和存取控制。
                      (5)用户接口(作业管理)。命令接口、图形接口、系统调用是操作系统提供给软件开发人员的唯一接口,开发人员可利用它使用系统功能。操作系统核心中都有一组实现系统功能的过程(子程序),系统调用就是对上述过程的调用。包括任务管理、界面管理、人机交互、图形界面、语音控制和虚拟现实等。
                      操作系统的分类
                      操作系统可以分为网络操作系统、分时操作系统、批处理操作系统、实时操作系统及分布式操作系统。
                      (1)网络操作系统。计算机网络是利用通信机构把独立、分散的计算机连接起来的一种网络。网络操作系统是一种网络软件,能在网络协议配合下实现资源共享,并提供网络通信和网络服务等功能。
                      (2)分时操作系统。指计算机连接多个终端,系统把主机分为若干时间片,每个终端用户占用一个时间片,各用户按一定顺序轮流占用主机。分时的时间单位叫做时间片,即允许一个终端用户占用CPU的时间长短。分时系统的基本特征为同时性、交互性和共享性。UNIX和XENIX属于分时操作系统。
                      (3)批处理操作系统。指用户将机器要做的工作有序地排在一起形成一个作业流,计算机系统自动地、顺序地执行作业流。批处理系统中,人和计算机不再交互信息。批处理系统又分为单道批处理和多道批处理系统。
                      (4)实时操作系统。它一般为专用机设计,是实时控制系统和实时处理系统的统称。实时控制用于生产过程控制,导弹发射控制等。实时处理指计划管理,情报检索和飞机订票系统等。实时系统的特点是响应及时性和高可靠性。
                      (5)分布式操作系统。在分布式操作系统中,拥有多台计算机并且各台计算机无主次之分,系统资源共享,任意两台计算机可以交换信息,系统中若干台计算机可以互相协作来完成一个共同任务。它主要用于分布式系统资源的管理。
                      Linux、UNIX和Windows Server都是目前主流的网络操作系统,都是多用户、多任务的操作系统,适合于提供各种网络服务,如DNS、DHCP、SMTP、BBS及WWW等。它们都支持图形窗口界面,有各自的字处理、表格处理、演示文稿处理等办公程序,因此也都能作为日常办公的支持平台。
                      Linux、UNIX和Windows Server操作系统的安全性的优劣目前尚无定论,在基本安全(验证、加密和日志等)、网络安全及应用安全等方面各具特色。
                      随着信息化的普及,以及互联网络的广泛应用,读者对Windows的基本操作应该都比较熟练,因此在这里不做详细的讲解。
                      文件目录结构
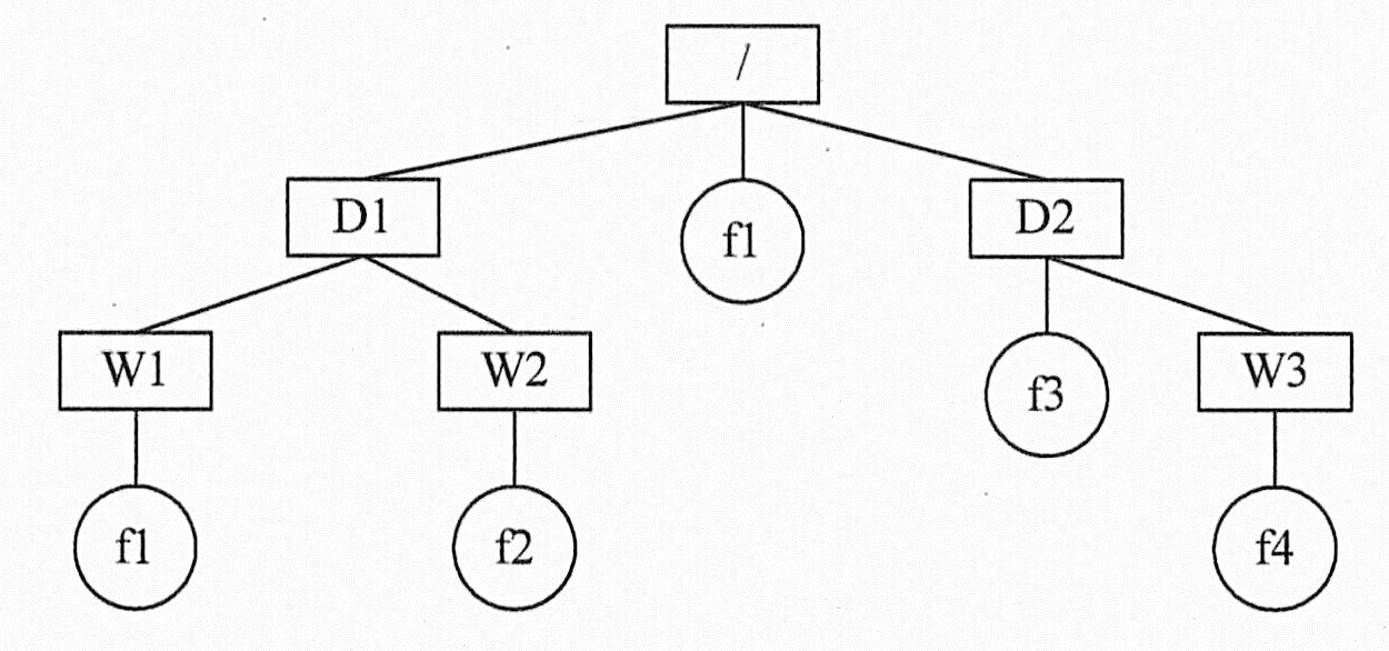
                      在计算机系统中存有大量的文件,如何有效地组织与管理它们,并为用户提供一个使用方便的接口是文件系统的一大任务。在操作系统中,通常以文件目录的方式来组织和管理系统中的所有文件,并把文件目录组织成一个树型结构。整个文件系统有一个根,然后在根上分枝,任何一个分枝上都可以再分枝,枝上也可以“长”出树叶。根和枝称为目录或文件夹,而叶子则是一个个的文件。实践证明,此种结构的文件系统效率比较高。例如,下图展示了一个树型的目录结构,其中方框代表目录,圆形代表文件。
                      
                      树型文件结构
                      在树型目录结构中,树的根结点为根目录,数据文件作为树叶,其他所有目录均作为树的结点。系统在建立每一个目录时,都会自动为它设定两个目录文件:一个是“.”,代表该目录自己;另一个是“..”,代表该目录的父目录。对于根目录,“.”和“..”都代表其自己。
                      从逻辑上讲,用户在登录到系统中之后,每时每刻都处在某个目录之中,此目录被称做工作目录或当前目录,工作目录是可以随时改变的。
                      对文件进行访问时,需要用到路径的概念。路径是指从树型目录中的某个目录层次到某个文件的一条道路。在树型目录结构中,从根目录到任何数据文件之间只有一条唯一的通路,从树根开始,把全部目录文件名与数据文件名依次用“/”连接起来就构成该数据文件的路径名。每个数据文件的路径名都是唯一的。这样,可以解决文件重名问题,不同路径下的同名文件不一定是相同的文件。例如,在上图中,根目录下的文件f1和/D1/W1目录下的文件f1可能是相同的文件,也可能是不同的文件。
                      用户在对文件进行访问时,要给出文件所在的路径。路径又分相对路径和绝对路径。绝对路径是指从根目录开始的路径,也称为完全路径;相对路径是从用户工作目录开始的路径。
                      在树型目录结构中到某一确定文件的绝对路径和相对路径均只有一条。绝对路径是确定不变的,而相对路径则随着用户工作目录的变化而不断变化。
                      用户要访问一个文件时,可以通过路径名来引用。例如,在上图中,如果当前路径是D1,则访问文件f2的绝对路径是/D1/W2/f2,相对路径是W2/f2。如果当前路径是W1,则访问文件f2的绝对路径仍然是/D1/W2/f2,但相对路径则变为../W2/f2。
                      在Windows系统中有两种格式的文件,分别是FAT32(FAT16)文件和NTFS文件。NTFS在使用中产生的磁盘碎片要比FAT32少,安全性也更高,而且支持的单个文件容量更大,超过了4GB,特别适合现在的大容量存储。NTFS可以支持的分区(如果采用动态磁盘则称为卷)大小可以达到2TB,而Windows 2000中的FAT32支持的分区大小最大为32GB。
                      虚拟存储器
                      所谓虚拟存储技术,即在内存中保留一部分程序或数据,在外存(硬盘)中放置整个地址空间的副本。程序运行过程中可以随机访问内存中的数据或程序,但需要的程序或数据不在内存时,就将内存中部分内容根据情况写回外存,然后从外存调入所需程序或数据,实现作业内部的局部对换,从而允许程序的地址空间大于实际分配的存储区域。它在内存和外存之间建立了层次关系,使得程序能够像访问主存一样访问外存,主要用于解决计算机主存储器的容量不足的问题。其逻辑容量由主存和外存容量之和,以及CPU可寻址的范围来决定,其运行速度接近于主存速度,成本也较少。可见,虚拟存储技术是一种性能非常优越的存储器管理技术,故被广泛地应用于大、中、小型计算机和微型机中。
                      虚拟存储器允许用户用比主存容量大得多的地址空间来编程,以运行比主存实际容量大得多的程序。用户编程所用的地址称为逻辑地址(又称虚地址),而实际的主存地址则称为物理地址(又称实地址)。每次访问内存时都要进行逻辑地址到物理地址的转换。实际上,超过主存实际容量的那些程序和数据是存放在辅助存储器中的,当使用时再由辅存调入。地址变换及主存和辅存间的信息动态调度是由硬件和操作系统两者配合完成的。
                             虚拟存储器的分类
                             虚拟存储器可以分为单一连续分区、固定分区、可变分区、可重定位分区、非请求分页式、请求分页式和段页式。
                             (1)单一连续分区。把所有用户区都分配给唯一的用户作业,当作业被调度时,进程全部进入内存,一旦完成,所有主存恢复空闲,因此它不支持多道程序设计。
                             (2)固定分区。这是支持多道程序设计的最简单的存储管理方法,它把主存划分成若干个固定的、大小不同的分区,每个分区能够装入一个作业,分区的大小是固定的,算法简单,但是容易生成较多的存储器碎片。
                             (3)可变分区。引入可变分区后虽然主存分配更灵活,也提高了主存利用率,但是由于系统在不断的分配和回收中,必定会出现一些不连续的小的空闲区,尽管这些小的空闲区的总和超过某一个作业要求的空间,但是由于不连续而无法分配,因此产生了碎片。解决碎片的方法是拼接(或称紧凑),即向一个方向(例如向低地址端)移动已分配的作业,使那些零散的小空闲区在另一方向连成一片。分区的拼接技术,一方面要求能够对作业进行重定位,另一方面系统在拼接时要耗费较多的时间。
                             (4)可重定位分区。这是克服固定分区碎片问题的一种存储分配方法,它能够把相邻的空闲存储空间合并成一个完整的空闲区,还能够整理存储器内各个作业的存储位置,以达到消除存储碎片和紧缩存储空间的目的。紧缩工作需要花费大量的时间和系统资源。
                             (5)非请求分页式。非请求分页式将存储空间和作业的地址空间分成若干个等分部分。在分页时,要求把进程所需要的页面全部调入主存后作业方能运行,因此当内存可用空间小于作业所需的地址空间时,作业无法运行。它克服了分区存储管理中碎片多和紧缩处理时间长的缺点,支持多道程序设计,但不支持虚拟存储。
                             (6)请求分页式。非请求分页式将存储空间和作业的地址空间分成若干个等分部分,当进程需要用到某个页面时将该页面调入主存,把那些暂时无关的页面留在主存外。它支持虚拟存储,克服了分区存储管理中碎片多和紧缩处理时间长的缺点,支持多道程序设计,但是它不能实现对最自然的以段为单位的共享与存储保护(因为程序通常是以段为单位划分的,所以以段为单位最自然)。
                             (7)段页式。这是分段式和分页式结合的存储管理方法,充分利用了分段管理和分页管理的优点。作业按逻辑结构分段,段内分页,内存分块。作业只需部分页装入即可运行,所以支持虚拟存储,可实现动态连接和装配。
                             局部性原理
                             虚拟存储管理的理论基础是程序的局部性原理。
                             程序局部性原理是指程序在执行时呈现出局部性规律,即在一段时间内,程序的执行仅限于程序的某一部分。相应地,执行所访问的存储空间也局限于某个内存区域。局部性又表现为时间局部性和空间局部性。时间局部性是指如果程序中的某条指令一旦执行,则不久以后该指令可能再次执行;如果某数据被访问,则不久以后该数据可能再次被访问。空间局部性是指一旦程序访问了某个存储单元,则不久之后,其附近的存储单元也将被访问。
                             根据程序的局部性理论,Denning提出了工作集理论。工作集是指进程运行时被频繁访问的页面集合。显然只要使程序的工作集全部在内存(主存储器)当中,就可以大大减少进程的缺页次数;否则会使进程在运行中频繁出现缺页中断,从而出现频繁的页面调入/调出现象,造成系统性能下降,甚至出现“抖动”。
 
       事务
               概述
               事务(Transaction)是一系列的数据库操作,是数据库应用程序的基本逻辑单位,即应用程序对数据库的操作都应该以事务的方式进行。
               事务是一个操作序列,这些操作“要么都做,要么都不做”,是数据库环境中不可分割的逻辑工作单位。事务和程序是两个不同的概念,一般一个程序可包含多个事务。
               事务通常由数据库操纵语言或其他高级语言(如SQL、CoBOL、C、C++、Java等)书写的用户程序来实现。一个事务由应用程序的一组操作序列组成,它以BEGIN TRANSACTION语句开始,以END TRANSACTION结束语句。
               事务定义的语句如下:
               (1)BEGIN TRANSACTION:事务开始。
               (2)END TRANSACTION:事务结束。
               (3)COMMIT:事务提交。该操作表示事务成功地结束,它将通知事务管理器该事务的所有更新操作现在可以被提交或永久地保留。
               (4)ROLLBACK:事务回滚。该操作表示事务非成功地结束,它将通知事务管理器出故障了,数据库可能处于不一致状态,该事务的所有更新操作必须回滚或撤销。
               典型的例子是银行转账业务。对“从账户A转入账户B金额x元”业务,站在顾客角度来看,转账是一次单独操作;而站在数据库系统的角度它至少是由两个操作组成的,第一步从账户A减去x元,第二步给账户B加上x元。下面是银行转账事务的伪代码:
               
               SQL中事务的开始与结束
               SQL标准规定当一条SQL语句被执行,就隐式地开始了一个事务,SQL中的Commit work和Rollback work语句之一会结束一个事务。
               (1)Commit work:提交当前事务。这意味着将该事务所做的更新在数据库中永久保存。一旦事务被提交后,一个新的事务自动开始。
               (2)Rollback work:回滚当前事务。这意味着将撤销该事务对数据库的更新。这样,数据库恢复到该事务执行第一条语句之前的状态。
               需要注意的是,若事务已执行了Commit work,就不能用Rollback work来撤销。数据库系统能保证在发生诸如某条SQL语句错误、断电、系统崩溃的情况下,若事务还没有执行Commit work,则所造成的影响将被回滚。对断电、系统崩溃的情况,回滚是在系统重新启动时进行。
 
       数据库
        数据库(DataBase,DB)是指长期存储在计算机内的、有组织的、可共享的数据集合。数据库中的数据按一定的数据模型组织、描述和存储,具有较小的冗余度、较高的数据独立性和易扩展性,并可为各种用户共享。
        系统使用的所有数据存储在一个或几个数据库中。
 
       性能价格比
        性能价格比也是一种用来衡量计算机优劣的概括性指标。例如,对于市场上不同价格的硬盘来说,选购考虑的主要因素就是性能/价格比,即用硬盘容量除以价格所得的值(每百元可以获得多大存储容量)做比较,性能价格比越高越好。
        总之,衡量一台计算机的性能要从多方面来考虑。除了上述的指标外,还要考虑诸如可扩充性、可移植性以及系统的安全性等各种指标。
 
       硬件
        硬件是计算机物理设备的总称,也称为硬件设备,通常是电子的、机械的、磁性的或光的元器件或装置,一般分为中央处理器、存储器和输入、输出设备。
   题号导航      2012年下半年 信息系统监理师 上午试卷 综合知识   本试卷我的完整做题情况  
1 /
2 /
3 /
4 /
5 /
6 /
7 /
8 /
9 /
10 /
11 /
12 /
13 /
14 /
15 /
 
16 /
17 /
18 /
19 /
20 /
21 /
22 /
23 /
24 /
25 /
26 /
27 /
28 /
29 /
30 /
 
31 /
32 /
33 /
34 /
35 /
36 /
37 /
38 /
39 /
40 /
41 /
42 /
43 /
44 /
45 /
 
46 /
47 /
48 /
49 /
50 /
51 /
52 /
53 /
54 /
55 /
56 /
57 /
58 /
59 /
60 /
 
61 /
62 /
63 /
64 /
65 /
66 /
67 /
68 /
69 /
70 /
71 /
72 /
73 /
74 /
75 /
 
第18题    在手机中做本题