免费智能真题库 > 历年试卷 > 信息系统管理工程师 > 2021年下半年 信息系统管理工程师 上午试卷 综合知识
  第65题      
  知识点:   系统性能   系统性能评价   系统运行   性能评价指标   计算机系统的主要性能指标   评价指标   性能指标   硬件
  关键词:   分布式计算机   计算机系统   网络   系统性能   硬件   分布式计算        章/节:   系统配置和方法   系统运行管理知识       

 
系统性能评价包括许多综合性指标,既有定量的,也有定性的评价指标,这些都建立在对系统硬件和软件的众多具体性能指标的监视和评价基础之上。现在越来越多的分布式计算机系统运行在网络上,因此识别和设置这些性能评价指标时,除考虑计算机系统的主要性能指标外,还应该考虑()的性能指标
 
 
  A.  电源供电
 
  B.  系统防病毒
 
  C.  网络
 
  D.  系统投资规模
 
 
 

  相关试题:系统配置和方法          更多>  
 
  第32题    2011年上半年  
   25%
以下关于改进信息系统性能的叙述中,正确的是:(32)。
  第2题    2023年下半年  
   0%
在微型计算机中,通常用主频来描述CPU的(6);对计算机磁盘工作影响最小的因素是(7)。
  第16题    2019年上半年  
   42%
假设事务T1对数据D1加了共享锁,事务T2对数据D2加了排它锁,那么( )。
  相关试题:系统运行管理知识          更多>  
 
  第36题    2023年下半年  
   0%
IT系统管理的通用体系架构分为三个部分,分别为IT部门管理、业务部门IT支持和IT基础架构管理。其中业务部门IT支持(37)。
  第57题    2020年下半年  
   47%
IT资源管理中的设施和设备管理包括的管理内容较多。下列(57)不是设施和设备管理中的管理内容。
  第42题    2013年上半年  
   44%
IT会计核算包括的活动主要有:IT服务项目成本核算、投资评价以及(42)。这些活动分别实现了对IT项目成本和收益的事中和事后控制..
   知识点讲解    
   · 系统性能    · 系统性能评价    · 系统运行    · 性能评价指标    · 计算机系统的主要性能指标    · 评价指标    · 性能指标    · 硬件
 
       系统性能
               系统性能定义和指标
               计算机系统性能指标以系统响应时间和作业吞吐量为代表。响应时间(Elapsed Time)是指用户从输入信息到服务器完成任务给出响应的时间,即计算机系统完成某一任务(程序)所花费的时间,比如存储器访问、输入/输出等待、操作系统开销等。作业吞吐量是整个服务器在单位时间内完成的任务量。假定用户不间断地输入请求,则在系统资源充裕的情况下,单个用户的吞吐量与响应时间成反比,即响应时间越短,吞吐量越大。为了缩短某一用户或服务的响应时间,可以分配给它更多的资源。性能调整就是根据应用要求和服务器具体运行环境和状态,改变各个用户和服务程序所分配的系统资源,充分发挥系统能力,用尽量少的资源满足用户要求,达到为更多用户服务的目的。
               计算机性能的其他常用指标还包括MIPS (Million Instruction Per Second)和MFLOPS(Million Floating-point Instruction Per Second)。
               (1) MIPS=指令数/(执行时间×1000000)。
               其主要特点如下:
               ① MIPS大小和指令集有关,不同指令集的计算机间的MIPS不能比较。
               ②在同一台计算机上MIPS是变化的,因程序不同而变化。
               ③有时MIPS指标会出现矛盾。
               ④主要适用于带有硬件浮点处理器的计算机。
               ⑤MIPS中,除包含运算指令外,还包含取数、存数、转移等指令在内。
               ⑥MIPS只适宜于评估标量机。
               ⑦相对MIPS指相对参照机而言的MIPS,通常用VAX-11/780机处理能力为1MIPS。
               (2)MFLOPS=浮点指令数/(执行时间×1000000)。
               ①与机器和程序有关。
               ②测量浮点运算时,比MIPS准确。
               ③MFLOPS比较适宜于评估向量计算机。
               ④MFLOPS与MIPS关系:1MFLOPS≈3MIPS。
               ⑤MFLOPS仅仅只能用来衡量计算机浮点操作的性能,而不能体现计算机的整体性能。例如编译程序,不管计算机的性能有多好,它的MFLOPS不会太高。
               ⑥MFLOPS是基于操作而非指令的,所以它可以用来比较两种不同的计算机。
               ⑦MFLOPS依赖于操作类型。例如100%的浮点加要远快于100%的浮点除。
               ⑧单个程序的MFLOPS值并不能反映计算机的性能。
               系统性能评估
               计算机性能评价技术可用于开发中和开发后的系统评价。主要包括三种技术:分析技术、模拟技术、测量技术。
                      分析技术
                      分析技术是在一定假设条件下,计算机系统参数与性能指标参数之间存在着某种函数关系,按其工作负载的驱动条件列出方程,用数学方法求解。其特点是具有理论的严密性,节约人力和物力,可应用于设计中的系统。它的数学工具主要是利用排队论模型进行分析。
                      模拟技术
                      模拟技术首先是对于被评价系统的运行特性建立系统模型,按系统可能有的工作负载特性建立工作负载模型;随后编写模拟程序,模仿被评价系统的运行;设计模拟实验,依照评价目标,选择与目标有关因素,得出实验值,再进行统计、分析。其特点在于可应用于设计中或实际应用中的系统,可与分析技术相结合,构成一个混合系统。分析和模拟技术最后均需要通过测量技术验证。
                      测量技术
                      测量技术则是对于已投入使用的系统进行测量,通常采用不同层次的基准测试程序评估。其评估层次包括实际应用程序、核心程序、合成测试程序三个层次,但必须均为国际性组织认可的程序,同时需要对评估结果进行分析和统计以保证其准确性。
                      常用的国际认可的用来测试机器性能的测试基准测试程序(按评价准确性递减的顺序):
                      (1)实际的应用程序方法。
                      运行例如C编译程序、Tex、字处理软件、CAD工具等。
                      (2)核心基准程序方法。
                      从实际的程序中抽取少量关键循环程序段,并用它们来评价计算机的性能。
                      (3)简单基准测试程序。
                      简单基准测试程序通常只有10~100行而且运行结果是可以预知的。
                      (4)综合基准测试程序。
                      为了体现平均执行而人为编制的,类似于核心程序,没有任何用户真正运行综合基准测试程序。
 
       系统性能评价
               性能评价概述
                      含义
                      计算机系统性能评价技术是按照一定步骤,选用一定的度量项目,通过建模和实验,对计算机的性能进行测试并对测试结果做出解释的技术。计算机系统性能评价没有统一的规范。进行评价可以是为了不同的目的。不同的人员可能采用不同的度量项目、不同的测试方法和测试工具,对测试结果将做出不同解释。在IT系统的管理中,计算机系统的性能评价技术是十分重要的。
                      重要性
                      IT系统的运营管理要考察系统的运营状况,根据需要调整和改善系统软硬件和环境条件,以提高系统的业务支持能力;或者调整IT资产结构,在保障系统有效运转的前提下降低IT系统总体成本。IT系统运营管理的根本目的是以尽可能低的花费为组织的业务提供足够的和可靠的IT服务支持。
                      为了保障对业务提供持续可靠并且经济的IT支持,需要对系统性能进行科学而有效的管理。性能评价技术是在必要的时候(例如,新硬件设备采购的评测、定期系统能力评价、业务需求变更之时的能力评测和规划)作为性能管理的支撑技术出现的。
               性能评价指标
                      计算机系统工作能力指标
                      反映计算机系统负载和工作能力的常用指标主要有三类,具体如下。
                      (1)系统响应时间(Elapsed Time)。
                      时间是衡量计算机性能最主要和最为可靠的标准,系统响应能力根据各种响应时间进行衡量,它指计算机系统完成某一任务(程序)所花费的时间,比如访问磁盘、访问主存、输入/输出等待、操作系统开销,等等。
                      响应时间为用户CPU时间和系统CPU时间之和:
                      T = Tuser+Tsys
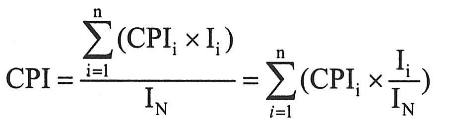
                      系统时间主要是指访问磁盘、访问主存和I/O等待的时间,因此衡量响应时间主要是衡量用户CPU时间。用户CPU时间取决于三个特征:时钟周期TC,指令平均时钟周期数CPI以及程序中总的指令数IN,用公式可以表示为:
                      Tcpu=IN×CPI×TC
                      CPI为平均指令时钟周期,可以表示为:
                      
                      其中n为指令的种类数量,CPIi是第i种指令的CPI,Ii是第i种指令使用的数量。
                      举个例子,A机执行的程序中有20%转移指令(2TC),转移指令都需要一条比较指令(1TC)配合,B机中转移指令已经包含了比较指令,但TC比A机慢15%。需要比较A机、B机哪个工作速度快。按照上述公式我们可以得出下面的计算结果:
                      A机:TCPUA=INA×(0.2×2+0.2×1+0.6×1)×TCA=1.2 INA×TCA
                      B机:TCPUB=0.8INA×((0.2/0.8)×2+(1-0.2/0.8)×1)×1.15TCA=1.15 INA×TCA
                      从比较的结果来看,B机比A机工作速度要快,因此,不能仅按CPU的主频衡量系统性能。
                      (2)系统吞吐率(Throughput)。
                      吞吐率指标是系统生产力的度量标准,描述了在给定时间内系统处理的工作量。系统的吞吐率是指单位时间内的工作量。例如,处理器的吞吐率是按每秒处理多少百万条指令(MIPS或者MFLOPS)来度量的。对于在线事务处理系统,吞吐率的度量是每秒处理多少事务(Transaction per second, TPS)。对于通信网络,吞吐率是指每秒传输多少数据报文(PPS)或多少数据位(BPS)。
                      系统的额定能力是指理想状态下,系统可承受的最大可能吞吐率。一般,我们都不期望让系统达到额定能力,因为此时响应时间太短,输出的显示也太快,以至于用户无法感觉到系统已经发生了响应。能使用户高效工作的能力被称为可用能力。可用能力与额定能力之间的比例就称为系统的效率。
                      吞吐率指标与系统的负荷之间的关系如下图所示。最初,在系统的负荷较小时,吞吐率指标增长很快。到某个点时,吞吐率指标的增长率会降低。该点的吞吐率称为拐点能力。继续增加负荷,到某一点时,吞吐率会逐步降低,即此时系统出现超负荷现象。
                      
                      负荷与吞吐率指标之间的关系
                      吞吐率指标是要按照工作单位(即作业、任务、指令等)来定义的。还有,时间性指标与吞吐率指标之间存在相互依赖的关系,响应比较敏捷的系统通常具有较高的吞吐率。
                      下面介绍一下MIPS、MFLOPS、TPS等几个反映系统吞吐率的概念。
                      ①每秒百万次指令(Million Instruction Per Second, MIPS)。
                      MIPS可以用公式表示为:
                      MIPS=指令数/(执行时间×1 000 000)
                      MIPS的大小和指令集有关,不同指令集的计算机间的MIPS不能做比较,因此在同一台计算机上的MIPS是变化的,因程序不同而变化。MIPS中,除包含运算指令外,还包含取数、存数、转移等指令。相对MIPS是指相对于参照机而言的MIPS,通常用VAX-11/780机处理能力为1MIPS。
                      ②每秒百万次浮点运算(Million Instruction Per Second,MFLOPS)。
                      MFLOPS可以用公式表示为:
                      MFLOPS=浮点指令数/(执行时间×1 000 000)
                      1MFLOPS约等于3MIPS。MIPS只适宜于评估标量机,不能用于评估向量机,而MFLOPS则比较适用于衡量向量机的性能。但是MFLOPS仅仅只能用来衡量机器浮点操作的性能,而不能体现机器的整体性能。例如编译程序,不管机器的性能有多好,它的MFLOPS不会太高。MFLOPS是基于操作而非指令的,所以它可以用来比较两种不同的机器。例如100%的浮点加要远快于100%的浮点除。单个程序的MFLOPS值并不能反映机器的性能。
                      ③位每秒(Bits per second, BPS)。
                      计算机网络信号传输速率一般以每秒传送数据位(Bit)来度量,简写为BPS。更大的单位包括KBPS (Kilo bits per second)和MBPS (Million bits per second)。
                      ④数据报文每秒(Packets per second,PPS)。
                      通信设备(例如路由器)的吞吐量通常由单位时间内能够转发的数据报文数量表示,简写为PPS。更大的单位包括KPPS (Kilo packets per second)和MPPS (Million packets per second)。
                      ⑤事务每秒(Transaction per second,TPS)。
                      即系统每秒处理的事务数量。
                      (3)资源利用率(Utilization Ratio)。
                      资源利用率指标以系统资源处于忙状态的时间为度量标准。系统资源是计算机系统中能分配给某项任务的任何设施,包含系统中的任何硬件、软件和数据资源。例如,CPU的利用率指标应是CPU忙的时间总量t除以运行时间总量T。系统资源未被利用的时间片段被称为空闲时间。对于一个平衡的系统而言,系统空闲与忙的时间片均匀地分布在整个运行时间内,因此系统资源既不会太忙也不会太闲。
                      其他综合性能指标
                      (1)可靠性。
                      系统可靠性通常反映系统处理用户工作的可用性或处理过程失败或错误的概率。系统可用的那部分时间被称为正常运行时间,系统不可用的时间被称为停机故障时间。平均故障间隔时间MTBF (Mean Time Between Failure)是系统在相邻两次故障之间工作时间的数学期望。通常我们更要关注两次故障之间工作时间的分布特征。有时,MTBF相对较短,但分布图上可能显示出在个别情况下,相邻故障之间的时间会较长,此时的代价会很大。
                      (2)可维护性。
                      系统失效后在规定时间内可被修复到规定运行水平的能力。可维护性用系统发生一次失败后,系统返回正常状态所需的时间来度量,它包含诊断、失效定位、失效校正等时间。一般用相邻两次故障间工作时间的数学期望,即平均修复时间(Mean Time Between Failure, MTTR)来表示。
                      (3)可扩展性。
                      系统的软硬件的扩充能力,可提高系统性能,如扩展槽允许增加插件板到系统上,又如操作系统支持增加处理器、内存及其他资源,等等。
                      (4)可用性。
                      可维修系统在某时刻能提供有效使用的程度。主要包括使用方便程度以及系统的稳定程度等。有时也指系统实际可用时间与计划提供使用时间的比例。
                      (5)功耗。
                      系统电能消耗量。世界环保组织已制定了计算机及相关设备的一些功耗限额。
                      (6)兼容性。
                      系统现有的硬件或软件与另一个系统或多种系统的硬件和软件的兼容能力和经过整合进行共同工作的能力。
                      (7)安全性。
                      程序和数据等信息的安全程度,如数据不被破坏和不被非法修改等。
                      (8)保密性。
                      确保系统内信息和数据不被非法人员存取,在系统内设置的保密措施,如使用保密锁、保密码等,使个人或组织有保护和使用他们的数据的专门权利。
                      (9)环境适应性。
                      系统对环境的适应能力,即外界环境改变时系统为保持正常工作的进行调节的能力。
                      以上列出的系统性能指标中,系统的可靠性、可维护性、可用性和功耗都有定量指标,兼容性、安全性、保密性和可扩展性属于定性指标。
                      由于性能度量指标的重要程度与具体系统的用户的需求有关,例如军用、商用或者民用的系统之间均会有不同的权重顺序。可以按照具体需求分级别和顺序设置性能评价指标。
               设置评价项目
               系统性能评价尽管包括许多综合性指标和定性的评价指标,但这些都是建立在对系统硬件和软件的众多具体性能指标的监视和评价基础之上的,因此对性能评价项目进行识别和设置是进行性能评价的基础工作。
               计算机系统的性能集中体现在处理器、内主存和外存磁盘几大件上,它们的性能以及相互之间的工作支持情况基本决定了系统的整体性能,因此系统性能监视评价的项目主要是CPU、主存、磁盘,此外,越来越多地运行在网络上的分布式计算机系统的性能还极大地依赖于网络,因此网络也是性能评价的一个重要项目。
                      CPU
                      CPU即中央处理器,它是计算机系统的核心部分。刚才所列的系统性能评价指标都是围绕CPU的。当然,这些指标的评价结果是建立在CPU与其他系统部件(如内存)的协同工作的基础上的。单就CPU而言,考察它在系统中的工作性能要关注CPU利用率、队列长度、每秒中断次数,等。
                      内存
                      除了CPU,内存也是影响系统性能的最常见的瓶颈之一。看系统内存是否够用的一个重要参考就是分页文件的数目,分页文件是硬盘上的真实文件,当操作系统缺少物理内存时,它就会把内存中的数据挪到分页文件中去,如果单位时间内此类文件使用频繁(每秒个数大于5),那就应该考虑增加内存。具体考察内存的性能的参数包括内存利用率、物理内存和虚拟内存的大小。
                      磁盘
                      需要关注跟磁盘的性能有关的几个参数:硬盘忙和空闲的时间比例、每秒读写次数、每次传输平均耗时和硬盘队列长度等。时间越长、队列越长,说明硬盘越忙,硬盘应用时的性能越差。如果硬盘忙不是因为内存缺乏导致频繁交换的话,就要采取相应的措施。
                      网络
                      衡量网络性能的主要参数是看网络发送、接收的数据量,带宽的利用情况等。
               性能评价的方法和工具
               系统性能的评价方法大致可分为两类:模型法和测量法。
                      模型法
                      用模型法对系统进行评价,首先应对要评价的计算机系统建立一个适当的模型,然后求出模型的性能指标,以便对系统进行评价。此法既可用于已建成并在运转中的系统,也可用于尚在规划中而并未存在的计算机系统,可以比较方便地应用于设计和改进。模型法与测量法是相互联系的,在模型中使用的一些参数往往来源于对实际系统的测量结果。
                      模型法又分为分析模型法和模拟模型法两类。
                      分析模型法是在一定假设条件下,计算机系统参数与性能指标参数之间存在着某种函数关系,按其工作负载的驱动条件列出方程,用数学方法求解。分析模型法中使用得最多的是排队模型。排队模型包括三个部分。
                      .输入流。指各种类型的“顾客”按什么样的规则到来。
                      .排队规则。对于来的顾客按怎样的规则次序接受服务,例如实现顺序服务还是按顾客的急迫程度服务。
                      .服务机构。指同一时刻有多少服务设备可接纳顾客,为每一顾客需要服务多少时间。一般,服务机构过小,不能满足顾客的需要,将使服务质量降低;服务机构过大,人力物力的开支增加,因此产生了顾客需要和服务机构之间的协调问题。怎样才能做到既满足顾客的需要,又使服务机构的费用最低,是“排队论”要研究解决的问题。在计算机系统中,把需要处理的各种作业、命令等当作“顾客”,把计算机的各种软、硬部件如中央被处理机、存储器、输入输出设备、编译模块等当作“服务员”,当某作业在中央处理机中被处理时,就意味着作业(顾客)在接受这个“服务员”的服务。至于排队规则,也可以是先到先服务或有某些优先级的服务。这样就可以把“排队论”的许多成果应用于计算机系统性能评价。
                      为了使模型的使用对系统的评价有价值,必须解决以下三个问题。
                      .设计模型。根据对系统和工作负载的分析、测量来设计恰当的模型。一般设计出的模型只是部分地反映出系统的特性,而且是所要关心的那部分特性。
                      .解模型。如果有现成的“排队论”结论,就可以直接使用。不然,则需要提出新的解决办法。
                      .校准和证实模型。为了使模型化研究的结果可靠,其精度必须经过校准和证实,以达到可接受的程度。
                      模拟分析法和分析模型法不同,它不是用一些数学方程去刻画系统的模型,而是用模拟程序的运行去动态表达计算机系统的状态,并进行统计分析,得出性能指标。这种模型可以更加详细地刻画出原来的计算机系统,并且也可以比较灵活地加以控制,但构造模拟模型的费用较大,每次使用时还必须运行模拟程序。
                      这种模型法需要有一个建立模型并编制模拟程序的过程,然后校准和证实模型,才能计算出所要的性能指标。
                      测量法
                      通过一定的测量设备或测量程序,测得实际运行的计算机系统的各种性能指标或与之有关的量,然后对它们进行某些计算处理得出相应的性能指标,这是最直接最基本的方法。要使用测量方法,要解决以下问题。
                      (1)根据系统评价目的和需求,确定测量的系统参数。
                      (2)选择测量的方法和工具。测量的方式有两种,一种为采样方式。即每隔一定的时间间隔,对计算机系统的一些参数进行一次测量,另一种为时间跟踪方式,先规定一些要测量的事件,如一个作业开始执行、某个寄存器具有某种模式等,以后每当计算机系统中出现这种事件时就进行一次测量。
                      常用的测量工具可分为硬件测量工具、软件测量工具、固件测量工具以及混合型测量工具。目前许多测量工具已成为定型产品,可以直接购买和使用,有不少软件测量工具也已被结合到系统软件之中。
                      (3)在测量时工作负载的选择。为了使测量所得的结果有代表性,在测量时,计算机系统应处于测量者要求的工作负载情况。为此,有两种方法:一种是让计算机系统在日常的使用状况下运行,但选择某些与测量者要求相接近的时间区间。例如要测量系统在中负载条件下的性能,就应选择在每天系统使用最忙碌的时段进行测量。另一种是由测量者编写一组能反映他们要求的典型程序,或者选择市场上已有的一些适合他们要求的典型程序,例如对于字处理和文件服务、数据库处理、图像处理、科学和工程计算等都有一些已编制好的基准程序(benchmark)。两种工作负载相比,前一种工作负载常在做系统性能监控时使用:后一种工作负载在比较各种系统或选购新系统时使用。
                      测量法、分析模型法和模拟模型法三者得出的结果可以相互起到证实的作用。
                      用基准测试程序来测试系统性能
                      常见的一些计算机系统的性能指标大都是用某种基准程序测量出的结果。下面介绍几类系统性能的基准测试程序,按评价准确性递减的顺序给出。
                      (1)实际的应用程序方法运行例如C编译程序、Tex正文处理软件、CAD工具,等等。
                      (2)核心基准程序方法(Kernel Benchmark)从实际的程序中抽取少量关键循环程序段,并用它们来评价机器的性能。
                      (3)简单基准测试程序(Toy Benchmark)简单基准测试程序通常只有10~100行而且运行结果是可以预知的。
                      (4)综合基准测试程序(Synthetic Benchmark)是为了体现平均执行而人为编制的,类似于核心程序,没有任何用户真正运行综合基准测试程序。
                      (5)整数测试程序Dhrystone用C语言编写,100条语句。包括各种赋值语句、各种数据类型和数据区、各种控制语句、过程调用和参数传送、整数运算和逻辑操作。VAX-11/780的测试结果为每秒1 757个Dhrystones即:
                      1VAX MIPS=1757 Dhrystones / Second
                      (6)浮点测试程序Linpack用FORTRAN语言编写,主要是浮点加法和浮点乘法操作。用MFLOPS (Million Floating Point Operations Per Second)表示,GFLOPS、TFLOPS Top500用这些程序进行测试。
                      (7) Whetstone基准测试程序Whetstone是用FORTRAN语言编写的综合性测试程序,主要由执行浮点运算、整数算术运算、功能调用、数组变址、条件转移和超越函数的程序组成。Whetstone的测试结果用Kwips表示,1kwips表示机器每秒钟能执行1 000条Whetstone指令。
                      (8) SPEC基准测试程序SPEC是System Performance Evaluation Cooperative的缩写,是几十家世界知名计算机大厂商所支持的非盈利的合作组织,旨在开发共同认可的标准基准程序。
                      (9) SPEC基准程序是由SPEC开发的一组用于计算机性能综合评价的程序。以对VAX11/780机的测试结果作为基数,其他计算机的测试结果以相对于这个基数的比例来表示。SPEC基准程序能较全面地反映机器性能,有一定的参考价值。SPEC版本1.0是1989年10月被宣布的,是一套复杂的基准程序集,主要用于测试与工程和科学应用有关的数值密集型的整数和浮点数方面的计算。源程序超过15万行,包含10个测试程序,使用的数据量比较大,分别测试应用的各个方面。SPEC基准程序测试结果一般以SPECmark(SPEC分数)、SPECint (SPEC整数)和SPECfp (SPEC浮点数)来表示。其中SPEC分数是10个程序的几何平均值,SPEC整数是4个整数程序的几何平均值,SPEC浮点数是6个浮点程序的集合平均值。1992年在原来SPECint89和SPECfp89的基础上增加了两个整数测试程序和8个浮点数测试程序,因此SPECint92由6个程序组成,SPECfp92由14个程序组成。这20个基准程序是基于不同的应用写成的,主要测量32位CPU、主存储器、编译器和操作系统的性能。1995年,这些厂商又共同推出了SPECint95和SPECfp95作为最新的测试标准程序,之后又不断推出新版本。
                      (10) TPC (Transaction Processing Council)基准程序TPC是Transaction Processing Council(事务处理委员会)的缩写,TPC基准程序是由TPC开发的评价计算机事务处理性能的测试程序,用以评价计算机在事务处理、数据库处理、企业管理与决策支持系统等方面的性能。TPC成立与1988年,目前已有40多个成员,几乎包括了所有主要的商用计算机系统和数据库系统。该基准程序的评测结果用每秒完成的事务处理数TPC来表示。TPC基准测试程序在商业界范围内建立了用于衡量机器性能以及性能价格比的标准。
               评价结果的统计与比较
               利用不同基准测试程序对计算机系统进行测试可能会得到不同的性能评价结果,对这些评价结果进行统计和比较分析,可以得到较为准确的接近实际的结果。
               性能评价的结果通常有两个指标,一个是峰值性能,一个是持续性能,其中持续性能最能体现系统的实际性能。
                      峰值性能
                      峰值性能是指在理想情况下计算机系统可获得的最高理论性能值,它不能反映系统的实际性能,而实际性能往往只有峰值性能的5%~35%。
                      持续性能
                      表示持续性能常用的三种平均值是算术平均、几何平均和调和平均。
                      (1)算术性能平均值Am就是简单地把n个程序组成的工作负荷中每个程序执行的速率(或执行所费时间的倒数)加起来求其对n个程序的平均值。
                      
                      (2)几何性能平均值Gm就是各个程序的执行速率连乘再开n次方得到结果。
                      
                      (3)调和性能平均值Hm就是算出各个程序执行速率倒数(即执行时间)和的平均值的倒数。因为Hm与所有测试程序时间总和成反比关系,所以Hm最接近CPU的实际性能。
                      
                      在上面的三种表示方式中,只有Hm的值是真正与所测程序的运行时间总和成反比的,因此采用调和性能平均值来衡量计算机系统的性能是较为精确的。当对各种计算机性能进行比较而对其性能规格化时,用Gm几何平均值表示法更能方便反映真实情况。
 
       系统运行
               系统管理分类
               IT系统管理工作主要是优化IT部门的各类管理流程,并保证能够按照一定的服务级别,为业务部门(客户)高质量、低成本地提供IT服务。IT系统管理工作可以按照以下两个标准予以分类。
                      按系统类型分类
                      (1)信息系统,企业的信息处理基础平台,直接面向业务部门(客户),包括办公自动化系统、企业资源计划(ERP)、客户关系管理(CRM)、供应链管理(SCM)、数据仓库系统(Date Warehousing)、知识管理平台(KM)等。
                      (2)网络系统,作为企业的基础架构,是其他方面的核心支撑平台。包括企业内部网(Intranet)、IP地址管理、广域网(ISDN、虚拟专用网)、远程拨号系统等。
                      (3)运作系统,作为企业IT运行管理的各类系统,是IT部门的核心管理平台。包括备份/恢复系统、入侵检测、性能监控、安全管理、服务级别管理、帮助服务台、作业调度等。
                      (4)设施及设备,设施及设备管理是为了保证计算机处于适合其连续工作的环境中,并把灾难(人为或自然的)的影响降到最低限度。包括专门用来放置计算机设备的设施或房间。
                      对IT资产(计算机设备、通信设备、个人计算机和局域网设备)的恰当的环境保护;有效的环境控制机制:火灾探测和灭火系统、湿度控制系统、双层地板,隐藏的线路铺设、安全设置水管位置,使其远离敏感设备、以及不间断电源和后备电力供应等。
                      按流程类型分类
                      (1)侧重于IT部门的管理,从而保证能够高质量地为业务部门(客户)提供IT服务。这一部分主要是对公司整个IT活动的管理,包括IT财务管理、服务级别管理、IT资源管理、能力管理、系统安全管理、新系统转换、系统评价等职能。
                      (2)侧重于业务部门的IT支持及日常作业,从而保证业务部门(客户)IT服务的可用性和持续性。这一部分主要是业务部门IT支持服务,包括IT日常作业管理、帮助服务台管理、故障管理及用户支持、性能及可用性保障等。
                      (3)侧重于IT基础设施建设,主要是建设企业的局域网、广域网、Web架构、Internet连接等。
               系统管理规范化
               系统管理的规范化涉及到人员职责、操作流程等方面标准的制定,并进行有效的标准化。企业IT部门除了IT部门组织结构及职责之外,还应该详细制定各类运作管理规章制度,主要包括:日常作业调度手册、系统备份及恢复手册、性能监控及优化手册、输出管理手册、帮助服务台运作手册、常见故障处理方法、终端用户计算机使用制度等与用户息息相关的IT支持作业方面的规范制度。此外,还包括服务级别管理手册、安全管理制度、IT财务管理制度、IT服务计费及成本核算、IT资源及配置管理、新系统转换流程、IT能力规划管理等由IT部门执行的以提供高质量IT服务为目的的管理流程。
               系统运作报告
               系统运行过程中的关键操作、非正常操作、故障、性能监控、安全审计等信息,应该实时或随后形成系统运作报告,并进行分析以改进系统管理水平。
               是否有流程保证对所有不属于标准操作的操作性问题给予记录(在问题管理系统内)、分析和及时处理?
                      系统日常操作日志
                      系统日志应该记录足以形成数据的信息,为关键性的运作提供审核追踪记录,并且保存合理的时间段。利用日志工具定期对日志进行检查,以便监控例外情况并发现非正常的操作、未经授权的活动、作业完成情况、存储状况、CPU、内存利用水平等。
                      性能/能力规划报告
                      企业需要了解其IT能力能否满足其业务需要,因此它需要了解系统性能、能力和成本的历史数据,定期形成月度、年度性能报告,并进行趋势分析和资源限制评估,在此基础之上增加或调整其IT能力。
                      性能监控工具应该主动地监控、测量和报告系统的性能,包括平均响应时间、每日交易数、平均无故障时间、CPU、存储器等的使用状况、网络性能等,从而可以有预见性地响应变化的业务需求。
                      故障管理报告
                      企业应定期产生有关问题的统计数据,这些统计数据包括:事故出现次数、受影响的客户数、解决事故所需时间和成本、业务损失成本等,可以供管理层对反复发生的问题进行根本原因的分析,并寻找改进的机会。
                      另外,对于每次故障处理应该进行数据记录、归类,作为基础,它应包括以下内容。
                      .目录,确定与故障相关联的领域,比如硬件、软件等。
                      .影响度,故障对业务流程的影响程度。
                      .紧迫性,故障需要得到解决的紧急程度。
                      .优先级,综合考虑影响度、紧迫性、风险和可用资源后得出的解决故障的先后顺序。
                      .解决方法,故障解决的流程、处理方法。
                      这样有利于使用知识管理系统来协助解决问题。
                      安全审计日志
                      为了能够实时监测、记录和分析网络上和用户系统中发生的各类与安全有关的事件(如网络入侵、内部资料窃取、泄密行为等),并阻断严重的违规行为,就需要安全审计跟踪机制来实现在跟踪中记录有关安全的信息。审计是记录用户使用计算机网络系统进行所有活动的过程,它是提高安全性的重要工具。
                      审计记录应包括以下信息:事件发生的时间和地点;引发事件的用户;事件的类型;事件成功与否。常见的审计记录可能包括:活动的用户账号和访问特权;用户的活动情况,包括可疑的行为;未授权和未成功的访问企图;敏感命令的运行等。
                      系统运作报告使对IT的整个运行状况的评价得以实现,IT报告应具备涵盖所有IT领域的关键业绩指标,例如风险及问题、财务状况、系统利用率、系统性能、系统故障时间、服务级别执行情况、安全审计等,这也为IT运作绩效的改进提供了基础。
 
       性能评价指标
               计算机系统工作能力指标
               反映计算机系统负载和工作能力的常用指标主要有三类,具体如下。
               (1)系统响应时间(Elapsed Time)。
               时间是衡量计算机性能最主要和最为可靠的标准,系统响应能力根据各种响应时间进行衡量,它指计算机系统完成某一任务(程序)所花费的时间,比如访问磁盘、访问主存、输入/输出等待、操作系统开销,等等。
               响应时间为用户CPU时间和系统CPU时间之和:
               T = Tuser+Tsys
               系统时间主要是指访问磁盘、访问主存和I/O等待的时间,因此衡量响应时间主要是衡量用户CPU时间。用户CPU时间取决于三个特征:时钟周期TC,指令平均时钟周期数CPI以及程序中总的指令数IN,用公式可以表示为:
               Tcpu=IN×CPI×TC
               CPI为平均指令时钟周期,可以表示为:
               
               其中n为指令的种类数量,CPIi是第i种指令的CPI,Ii是第i种指令使用的数量。
               举个例子,A机执行的程序中有20%转移指令(2TC),转移指令都需要一条比较指令(1TC)配合,B机中转移指令已经包含了比较指令,但TC比A机慢15%。需要比较A机、B机哪个工作速度快。按照上述公式我们可以得出下面的计算结果:
               A机:TCPUA=INA×(0.2×2+0.2×1+0.6×1)×TCA=1.2 INA×TCA
               B机:TCPUB=0.8INA×((0.2/0.8)×2+(1-0.2/0.8)×1)×1.15TCA=1.15 INA×TCA
               从比较的结果来看,B机比A机工作速度要快,因此,不能仅按CPU的主频衡量系统性能。
               (2)系统吞吐率(Throughput)。
               吞吐率指标是系统生产力的度量标准,描述了在给定时间内系统处理的工作量。系统的吞吐率是指单位时间内的工作量。例如,处理器的吞吐率是按每秒处理多少百万条指令(MIPS或者MFLOPS)来度量的。对于在线事务处理系统,吞吐率的度量是每秒处理多少事务(Transaction per second, TPS)。对于通信网络,吞吐率是指每秒传输多少数据报文(PPS)或多少数据位(BPS)。
               系统的额定能力是指理想状态下,系统可承受的最大可能吞吐率。一般,我们都不期望让系统达到额定能力,因为此时响应时间太短,输出的显示也太快,以至于用户无法感觉到系统已经发生了响应。能使用户高效工作的能力被称为可用能力。可用能力与额定能力之间的比例就称为系统的效率。
               吞吐率指标与系统的负荷之间的关系如下图所示。最初,在系统的负荷较小时,吞吐率指标增长很快。到某个点时,吞吐率指标的增长率会降低。该点的吞吐率称为拐点能力。继续增加负荷,到某一点时,吞吐率会逐步降低,即此时系统出现超负荷现象。
               
               负荷与吞吐率指标之间的关系
               吞吐率指标是要按照工作单位(即作业、任务、指令等)来定义的。还有,时间性指标与吞吐率指标之间存在相互依赖的关系,响应比较敏捷的系统通常具有较高的吞吐率。
               下面介绍一下MIPS、MFLOPS、TPS等几个反映系统吞吐率的概念。
               ①每秒百万次指令(Million Instruction Per Second, MIPS)。
               MIPS可以用公式表示为:
               MIPS=指令数/(执行时间×1 000 000)
               MIPS的大小和指令集有关,不同指令集的计算机间的MIPS不能做比较,因此在同一台计算机上的MIPS是变化的,因程序不同而变化。MIPS中,除包含运算指令外,还包含取数、存数、转移等指令。相对MIPS是指相对于参照机而言的MIPS,通常用VAX-11/780机处理能力为1MIPS。
               ②每秒百万次浮点运算(Million Instruction Per Second,MFLOPS)。
               MFLOPS可以用公式表示为:
               MFLOPS=浮点指令数/(执行时间×1 000 000)
               1MFLOPS约等于3MIPS。MIPS只适宜于评估标量机,不能用于评估向量机,而MFLOPS则比较适用于衡量向量机的性能。但是MFLOPS仅仅只能用来衡量机器浮点操作的性能,而不能体现机器的整体性能。例如编译程序,不管机器的性能有多好,它的MFLOPS不会太高。MFLOPS是基于操作而非指令的,所以它可以用来比较两种不同的机器。例如100%的浮点加要远快于100%的浮点除。单个程序的MFLOPS值并不能反映机器的性能。
               ③位每秒(Bits per second, BPS)。
               计算机网络信号传输速率一般以每秒传送数据位(Bit)来度量,简写为BPS。更大的单位包括KBPS (Kilo bits per second)和MBPS (Million bits per second)。
               ④数据报文每秒(Packets per second,PPS)。
               通信设备(例如路由器)的吞吐量通常由单位时间内能够转发的数据报文数量表示,简写为PPS。更大的单位包括KPPS (Kilo packets per second)和MPPS (Million packets per second)。
               ⑤事务每秒(Transaction per second,TPS)。
               即系统每秒处理的事务数量。
               (3)资源利用率(Utilization Ratio)。
               资源利用率指标以系统资源处于忙状态的时间为度量标准。系统资源是计算机系统中能分配给某项任务的任何设施,包含系统中的任何硬件、软件和数据资源。例如,CPU的利用率指标应是CPU忙的时间总量t除以运行时间总量T。系统资源未被利用的时间片段被称为空闲时间。对于一个平衡的系统而言,系统空闲与忙的时间片均匀地分布在整个运行时间内,因此系统资源既不会太忙也不会太闲。
               其他综合性能指标
               (1)可靠性。
               系统可靠性通常反映系统处理用户工作的可用性或处理过程失败或错误的概率。系统可用的那部分时间被称为正常运行时间,系统不可用的时间被称为停机故障时间。平均故障间隔时间MTBF (Mean Time Between Failure)是系统在相邻两次故障之间工作时间的数学期望。通常我们更要关注两次故障之间工作时间的分布特征。有时,MTBF相对较短,但分布图上可能显示出在个别情况下,相邻故障之间的时间会较长,此时的代价会很大。
               (2)可维护性。
               系统失效后在规定时间内可被修复到规定运行水平的能力。可维护性用系统发生一次失败后,系统返回正常状态所需的时间来度量,它包含诊断、失效定位、失效校正等时间。一般用相邻两次故障间工作时间的数学期望,即平均修复时间(Mean Time Between Failure, MTTR)来表示。
               (3)可扩展性。
               系统的软硬件的扩充能力,可提高系统性能,如扩展槽允许增加插件板到系统上,又如操作系统支持增加处理器、内存及其他资源,等等。
               (4)可用性。
               可维修系统在某时刻能提供有效使用的程度。主要包括使用方便程度以及系统的稳定程度等。有时也指系统实际可用时间与计划提供使用时间的比例。
               (5)功耗。
               系统电能消耗量。世界环保组织已制定了计算机及相关设备的一些功耗限额。
               (6)兼容性。
               系统现有的硬件或软件与另一个系统或多种系统的硬件和软件的兼容能力和经过整合进行共同工作的能力。
               (7)安全性。
               程序和数据等信息的安全程度,如数据不被破坏和不被非法修改等。
               (8)保密性。
               确保系统内信息和数据不被非法人员存取,在系统内设置的保密措施,如使用保密锁、保密码等,使个人或组织有保护和使用他们的数据的专门权利。
               (9)环境适应性。
               系统对环境的适应能力,即外界环境改变时系统为保持正常工作的进行调节的能力。
               以上列出的系统性能指标中,系统的可靠性、可维护性、可用性和功耗都有定量指标,兼容性、安全性、保密性和可扩展性属于定性指标。
               由于性能度量指标的重要程度与具体系统的用户的需求有关,例如军用、商用或者民用的系统之间均会有不同的权重顺序。可以按照具体需求分级别和顺序设置性能评价指标。
 
       计算机系统的主要性能指标
        计算机系统性能的评价是一个非常复杂的问题。任何一种型号的计算机都有其特色和优点,因此对计算机系统性能的评价应该是全面、综合的评价,不能仅仅依赖于某几项指标。在实际应用中CPU主要性能指标和常用的计算机系统性能评价指标如下所述。
               CPU主要性能指标
                      主频
                      主频是CPU的时钟频率(CPU Clock Speed),或者说是CPU运算时的工作频率。一般主频越高,一个时钟周期里面执行的指令数也越多,CPU的速度也越快。外频是系统总线的工作频率,倍频则是CPU外频与主频相差的倍数,因此,主频=外频×倍频。
                      内存总线速度
                      内存总线速度是指CPU与二级(L2)高速缓存和内存之间的通信速度。由于在外存上的信息必须读入内存才能由CPU进行处理,因此CPU与内存之间的总线速度对整个系统性能就显得非常重要。但是,访问内存的速度与CPU的运行速度会有差异,故引入二级缓存来协调内存和CPU之间速度不匹配的矛盾。
                      扩展总线速度
                      扩展总线速度是指CPU与扩展设备之间的数据传输速度。扩展总线是CPU与外部设备通信的桥梁。在计算机系统中的扩展总线有VESA或PCI总线,当打开计算机时看见的一些插槽就是扩展总线连接的扩展槽。例如,通过插在PCI扩展槽上的网卡,使得CPU能与网络设备通信。
                      总线宽度
                      总线宽度分为地址总线宽度和数据总线宽度。其中,地址总线宽度决定了CPU可以访问的物理地址空间,即CPU能够使用多大容量的内存。例如,地址线的宽度为32位,最多可以直接访问4096 MB(4GB)的物理空间。数据总线负责整个系统中数据流量的大小,其数据总线宽度决定了CPU与二级高速缓存、内存以及输入输出设备之间一次数据传输的信息量。
               计算机系统的效率
               计算机系统的效率是指为完成其各项功能所需要的计算资源。不同的系统,其效率指标的具体形式各不相同。常用的计算机系统效率指标有如下几种:
               (1)响应时间。响应时间是指从用户输入完整的操作命令(如按Enter键或选择菜单项、命令按钮等)到系统开始显示应答信息为止的这段时间。例如在评价分时系统时,一般认为它是分时系统的周转时间。根据人-机工程学理论和心理学理论,在交互式系统中,系统响应时间应在0.5~3s以内。通常情况下,如果响应时间超过5s,用户就会觉得不耐烦;而一旦超过12s,用户就会怀疑系统是否出现故障。
               (2)吞吐量。吞吐量是指单位时间内系统所完成的工作量,通常用单位时间内所完成的作业数量加以衡量。
               (3)周转时间。对于批处理作业来说,周转时间是指用户从提交作业到执行后该作业返回给用户所需的时间。
               计算机系统的可靠性
               计算机系统的可靠性是指在某一使用状态下,在用户所希望的时间里满意地完成了它的性能,这个所希望的时间和性能必须与使用者支付的费用相平衡。如把系统的状态简单地分为正常状态和故障状态来考虑的话,可靠性就是在时间间隔t内保持正常状态的概率,写作Rt),则从正常状态转向故障状态的概率就叫做不可靠性(fallacy),记为Ft),即Ft)=1-Rt)。衡量系统可靠性的指标是平均无故障时间(MTBF)和故障率(λ)。
                      平均无故障时间(Mean Time Before Failures,MTBF)
                      假设ti是第i次无故障间隔时间,N为故障次数,则
                      一般情况下,用户都希望MTBF越大越好。
                      故障率(λ
                      MTBF和λ的关系是:
                      λ=1/MTBF
                      故障率的单位为1 FIT(failure unite)。
               计算机系统的可维护性
               计算机系统的可维护性是指该系统失效后在规定时间内可修复到规定功能的能力,反映系统可维护性高低的指标是平均修复故障时间(Mean Time To Repair,MTTR)。很显然,系统的可用性取决于MTBF及MTTR。MTBF值越大,MTTR值越小,整个系统的可用性就越高。
               假设Ti是第i次故障发生到系统修复后投入运行的间隔时间,M为修复总次数,则平均修复故障时间可以表示如下:
               
               性能价格比
               性能价格比也是一种用来衡量计算机优劣的概括性指标。例如,对于市场上不同价格的硬盘来说,选购考虑的主要因素就是性能/价格比,即用硬盘容量除以价格所得的值(每百元可以获得多大存储容量)做比较,性能价格比越高越好。
               总之,衡量一台计算机的性能要从多方面来考虑。除了上述的指标外,还要考虑诸如可扩充性、可移植性以及系统的安全性等各种指标。
 
       评价指标
        (1)进度偏差(Schedule Variance, SV):指检查日期BCWP与BCWS之间的差异。其计算公式为:
        SV=BCWP-BCWS=EV-PV
        当SV>0时,表示进度提前;当SV<0时,表示进度延误;当SV=0时,表示实际进度与计划进度一致。
        (2)费用偏差(Cost Variance, CV):检查期间BCWP与ACWP之间的差异,计算公式为:
        CV=BCWP-ACWP=EV-AC
        当CV<0时,表示执行效果不佳,即实际消耗费用超过预算值即超支;当CV>0时,表示实际消耗费用低于预算值,即有节余或效率高;当CV=0时,表示实际消耗费用等于预算值。
        (3)成本绩效指数(Cost Performance Index, CPI):预算费用与实际费用值之比(或工时值之比),即:
        CPI=BCWP/ACWP=EV/AC
        当CPI>1时,表示低于预算,即实际费用低于预算费用;当CPI<1时,表示超出预算,即实际费用高于预算费用;当CPI=1时,表示实际费用等于预算费用。
        (4)进度绩效指数(Schedul Performance Index, SPI):项目挣值与计划之比,即
        SPI=BCWP/BCWS=EV/PV
        当SPI>1时,表示进度提前,即实际进度比计划进度快;当SPI<1时,表示进度延误,即实际进度比计划进度慢;当SPI=1时,表示实际进度等于计划进度。
 
       性能指标
        对于各种类的双绞线,用户所关心的能够代表其特征的性能指标有衰减、近端串扰、阻抗特性、分布电容、直流电阻等。
        (1)衰减(Attenuation)。衰减是沿链路的信号损失度量。衰减与线缆的长度有关系,随着长度的增加,信号衰减也随之增加。衰减用dB作单位,表示源传送端信号到接收端信号强度的比率。又因为衰减随频率而变化,所以应该测量在应用范围内的全部频率上的衰减。
        (2)近端串扰(Near-End Crosstalk Loss,NEXT)。串扰可分为近端串扰和远端串扰(Far-End Crosstalk Loss,FEXT),测试仪主要是测量NEXT,由于存在线路损耗,因此FEXT的量值的影响较小,在三类、五类线缆中可以忽略不计。近端串扰损耗是测量一条UTP链路中从一对线到另一对线的信号耦合。对于UTP链路,NEXT是一个关键的性能指标,也是最难精确测量的一个指标。随着信号频率的增加,其测量难度将加大。NEXT并不表示在近端点所产生的串扰值,只是表示在近端点所测量到的串扰值。这个量值会随电缆长度不同而变,电缆越长,其值变得越小。同时发送端的信号也会衰减,对其他线对的串扰也相对变小。实验证明,只有在40m内测量得到的NEXT是较真实的。如果另一端是远于40m的信息插座,那么它会产生一定程度的串扰,但测试仪可能无法测量到这个串扰值。因此,最好在两个端点都进行NEXT测量。现在的测试仪都配有相应设备,使得在链路一端就能测量出两端的NEXT值。
        (3)直流电阻。直流环路电阻会消耗一部分信号,并将其转变成热量。它是指一对导线电阻的和,11801规格的双绞线的直流电阻不得大于19.2Ω。每对间的差异不能太大(小于0.1Ω),否则表示接触不良,必须检查连接点。
        (4)特性阻抗。与环路直流电阻不同,特性阻抗包括电阻及频率为1~100MHz的电感阻抗及电容阻抗,它与一对电线之间的距离及绝缘体的电气性能有关。各种电缆有不同的特性阻抗,而双绞线电缆则有100Ω、120Ω及150Ω几种(其中,120Ω的线缆在中国不生产)。
        (5)衰减串扰比(Attenuation-to-Crosstalk Ratio,ACR)。在某些频率范围,串扰与衰减量的比例关系是反映电缆性能的另一个重要参数。ACR有时也以信噪比(Signal-Noise Ratio,SNR)表示,它由最差的衰减量与NEXT量值的相减得到的。ACR值越大,表示抗干扰的能力越强。一般系统要求至少大于10dB。
 
       硬件
        硬件是计算机物理设备的总称,也称为硬件设备,通常是电子的、机械的、磁性的或光的元器件或装置,一般分为中央处理器、存储器和输入、输出设备。
   题号导航      2021年下半年 信息系统管理工程师 上午试卷 综合知识   本试卷我的完整做题情况  
1 /
2 /
3 /
4 /
5 /
6 /
7 /
8 /
9 /
10 /
11 /
12 /
13 /
14 /
15 /
 
16 /
17 /
18 /
19 /
20 /
21 /
22 /
23 /
24 /
25 /
26 /
27 /
28 /
29 /
30 /
 
31 /
32 /
33 /
34 /
35 /
36 /
37 /
38 /
39 /
40 /
41 /
42 /
43 /
44 /
45 /
 
46 /
47 /
48 /
49 /
50 /
51 /
52 /
53 /
54 /
55 /
56 /
57 /
58 /
59 /
60 /
 
61 /
62 /
63 /
64 /
65 /
66 /
67 /
68 /
69 /
70 /
71 /
72 /
73 /
74 /
75 /
 
第65题    在手机中做本题