|
|
【说明】
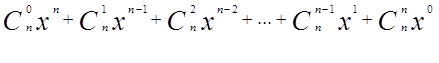
对于大于1的正整数n,(x+1)n可展开为
下面流程图的作用是计算(x+1)n展开后的各项系数 (i=0,1,....,n)并依次存放在数组A[0...n]中。方法是依次计算k=2,3,..,n时(x +1)k的展开系数并存入数组A,在此过程中,对任一确定的k,利用关系式 ,按照i递减的顺序逐步计算并将结果存储在数组A中。其中, 和 都为1,因此可直接设置A[0]、A[k]的值为1。
例如,计算(x+1)3的过程如下:
先计算 (x+1)2 ( 即k=2) 的各项系数,然后计算(x+1)3(即k=3)的各项系数。
K=2时,需要计算 , 和 ,并存入A[0] ,A[1]和A[2],其中A[0]和A[1]的值已有,因此将 (即 A[1])和 即 (A[0])相加得到 的值并存入A[1]。
k=3 时,需要计算 , 和 和 ,先计算出 (由 )得到并存入A[2],再计算 (由 得到)并存入A[1]。
|
|
|
问题:1.1
(共15分)
阅读以下说明和流程图,填补流程图中的空缺,将解答填入答题纸的对应栏内。
【流程图】

注:循环开始框内应给出循环控制变量的初值和终值,默认递增值为1。
格式为:循环控制变量=初值,终值,递增值。
|
|
|
|
|
|