免费智能真题库 > 历年试卷 > 程序员 > 2024年上半年 程序员 下午试卷 案例
  第5题      

 
【说明】
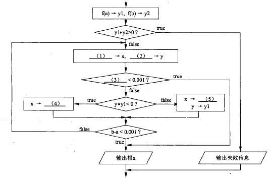
求连续函数f(x)的根(方程f(x)=o的解)的最简单方法是二分法。为此,首先需要在若干点上检查函数值的符号,如果发现f(a)与f(b)符号相反(a<b),则在区间(a, b)中必然存在f(x)的根。因为当x从a变到b时,连续函数的值将从正变到负(或从负变到正),必然要经过0。区间(a,b)就是根的初始范围。
取该区间的中点m,如果f(m)=0,则根就是m。如果f(a)与f(m)符号相反,则根一定在区间(a,m)中;如果f(m)与f(b)符号相反,则根一定在区间(m,b)中。因此,根的范围缩小了一半。
依此类推,将区间一半一半地分下去,当区间的长度很小(达到根的精度要求,例如0.001)时,或者当区间中点处的函数值几乎接近于0 (即绝对值小于预先规定的微小量,例如0.001)时,近似计算就可以结束了。
以下流程图描述了用二分法近似计算区间(a, b)中f(x)的根的过程。
 
问题:5.1   【流程图】
 
 
 

   题号导航      2024年上半年 程序员 下午试卷 案例   本试卷我的完整做题情况  
1 /
2 /
3 /
4 /
5 /
6 /
 
第5题    在手机中做本题