免费智能真题库 > 历年试卷 > 信息系统项目管理师 > 2009年下半年 信息系统项目管理师 上午试卷 综合知识
  第38题      
  知识点:   关键路径法
  章/节:   项目进度管理的技术和工具       

 
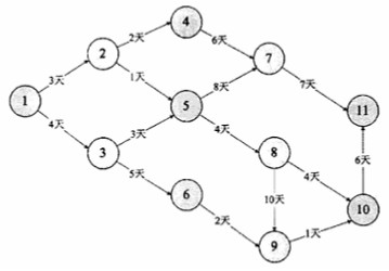
下图为某工程进度网络图,结点1为起点,结点11为终点,那么关键路径为(37),此工程最快(38)天完成。
 
 
  A.  18
 
  B.  28
 
  C.  22
 
  D.  20
 
 
 

  相关试题:项目进度管理的技术和工具          更多>  
 
  第51题    2012年下半年  
   28%
与组织在进行单项目管理时所采用的项目管理方法不同,多项目管理有其自身的特点。关于多项目管理环境下的资源平衡技术的理解。(..
  第33题    2021年上半年  
   19%
某项目各活动先后顺序及持续时间如下表所示,该项目的关键路径为(32)。
执行过程中一名工程师因病缺席,导致活动D延期..
  第34题    2019年下半年  
   31%
某项目包含A、B、C、D、E、F、G七个活动,各活动的历时估算和活动间的逻辑关系如下表所示:

依据上表内容,活动D..
   知识点讲解    
   · 关键路径法
 
       关键路径法
        关键路径法(CPM)根据项目网络图及每个活动的历时,识别关键路径,预测整个项目的工期。在关键路径法的计算中需要进行正向计算和反向计算。
        正向计算:
        .用来计算最早时间。
        .根据逻辑关系,从网络图左边开始,为每项活动制订最早开始和最早结束时间。
        .第一个活动的开始时间为项目开始时间,活动最早完成时间为最早开始时间加持续时间;后续活动最早开始时间根据前置活动的最早结束时间确定。
        .一个活动有多个前置活动存在时,该活动的最早开始时间根据前置活动中最早结束时间最大的活动时间确定。
        反向计算:
        .用来计算最晚时间。
        .根据逻辑关系,从网络图右边开始,计算每个活动最迟开始和最迟结束时间。
        .最后一个活动的完成时间为项目完成时间,活动最迟开始时间为最迟完成时间减持续时间;前置活动最迟完成时间根据其后续活动的最迟开始时间确定。
        .一个活动有多个后续活动存时,该活动的最迟完成时间根据后续活动中最迟开始时间最小的活动时间确定。
        关键路径计算方法可总结为下面三句话:
        .先正推,再反推。
        .正向看流入(前置活动),正向取大值。
        .反向看流出(后续活动),反向取小值。
        例1:下图为某项目的网络图,已经完成活动历时估算,确定每个活动的ES、EF、LS、LF,识别关键路径,计算项目工期。
        
        某项目的网络图
        用下图表示节点:
        
        节点
        根据CPM正推、反推计算方法得到下图所示的网络图。
        
        根据CPM正推、反推得到的网络图
        正向计算(计算各活动的最早开始与最早完成时间):
        假设项目最早开始时间为第0天,则活动A和活动D的最早开始时间都为第0天。活动A的最早结束时间为第0+2=2天,活动B最早开始时间和活动A最早结束时间相同,为第2天,则2+6=8,活动B最早结束时间为第8天。依次类推,计算其他活动的最早开始与结束时间。其中活动F比较特殊,有两个前置活动D和E,根据正向取大值原则,活动F的最早开始时间和活动E的最早结束时间相同,为第13天。正向计算通过计算各活动的最早开始与结束日期,最终得到项目结束时的时间为第17天。
        反向计算(计算各活动的最迟开始与最迟完成时间):
        项目结束时的时间为第17天,则活动C和活动F的最迟结束时间都为第17天。活动C的最迟开始时间为第17-3=14,活动F的最迟开始时间为第17-4=13天。活动E的最迟结束时间和活动F的最迟开始时间相同,为第13天。依次类推,计算其他活动的最迟结束与最迟开始时间。其中活动B比较特殊,它有两个后续活动C和E,根据反向取小值的原则,可以确定活动B的最迟结束时间为第8天。
        求浮动时差:
        根据公式TF=LS-ES=LF-EF很容易计算出各活动的浮动时差,如图中标注。
        识别关键路径:
        .关键路径上的活动的最早开始时间和最迟开始时间相同,最早结束时间和最迟结束时间相同。
        .关键路径上的活动浮动时间为0或负数。
        .关键路径上活动的总历时最长。
        从网络图中不难看出本项目的关键路径是A—B—E—F,项目工期为17天。
        注:若只是要求简单网络图的关键路径,也可以利用试算法,根据关键路径上活动的总历时最长来确定关键路径及项目工期。
        例2:根据下图所示的网络图(网络图图例同例1)回答问题:
        
        某项目的网络图
        (1)分析网络图的关键路径及本项目工期。
        (2)如果在活动B后5天开始活动D,并进行10天,对项目有何影响?
        (3)经努力,活动F要12天完成,则活动E的LS和LF为多少?
        (4)活动G多用了8天,对项目有何影响?
        (1)根据浮动时间为0的活动在关键路径上,很容易得到本项目的关键路径为A—B—D—H,项目工期为38天。
        (2)活动D的估算历时为15天,如果D推迟5天开始,但历时变为10天,这样仍然没有超过15天,不会对项目产生影响。
        (3)若活动F的历时改为12天,则F的最迟开始时间变为33-12+1=22,E的最迟结束时间由F和G中最迟开始时间最小值确定,应该为LF=22-1=21,其LS=21-5+1=17。
        (4)活动G的浮动时间为10天,8<10,所以活动G多用8天对项目没有影响。
        注:例2网络图中的开始时间是从第1天开始的,这种表示方法和例1相比计算较复杂。正推法时,同一活动的EF=ES+DU-1,后续活动的ES=前置活动的EF+1;反推法时,同一活动的LS=LF-DU+1,前置活动的LF=后续活动的LS-1。
   题号导航      2009年下半年 信息系统项目管理师 上午试卷 综合知识   本试卷我的完整做题情况  
1 /
2 /
3 /
4 /
5 /
6 /
7 /
8 /
9 /
10 /
11 /
12 /
13 /
14 /
15 /
 
16 /
17 /
18 /
19 /
20 /
21 /
22 /
23 /
24 /
25 /
26 /
27 /
28 /
29 /
30 /
 
31 /
32 /
33 /
34 /
35 /
36 /
37 /
38 /
39 /
40 /
41 /
42 /
43 /
44 /
45 /
 
46 /
47 /
48 /
49 /
50 /
51 /
52 /
53 /
54 /
55 /
56 /
57 /
58 /
59 /
60 /
 
61 /
62 /
63 /
64 /
65 /
66 /
67 /
68 /
69 /
70 /
71 /
72 /
73 /
74 /
75 /
 
第38题    在手机中做本题