免费智能真题库 > 历年试卷 > 系统架构设计师 > 2022年下半年 系统架构设计师 上午试卷 综合知识
  第16题      
  知识点:   时间模型   可靠度   失效率
  关键词:   等待时间   平均失效间隔时间   无故障   故障        章/节:   系统可靠性       

 
系统(16)是指在规定的时间内和规定条件下能有效地实现规定功能的能力。它不仅取决于规定的使用条件等因素,还与设计技术有关。常用的度量指标主要有故障率(或失效率)、平均失效等待时间、平均失效间隔时间和可靠度等。其中,(17)是系统在规定工作时间内无故障的概率。
 
 
  A.  可靠性
 
  B.  可用性
 
  C.  可理解性
 
  D.  可测试性
 
 
 

  相关试题:系统可靠性          更多>  
 
  第40题    2024年下半年  
   50%
N版本设计较传统多了哪三个步骤。
  第8题    2025年下半年  
   0%
多道程序设计技术不仅使CPU得到充分利用,同时改善0设备和内存的( ),从而提高了整个系统的资源利用率和系统吞叶量(单时间内处理..
  第2题    2024年上半年  
   29%
多道程序设计技术不仅使CPU得到充分利用,同时改善0设备和内存的( ),从而提高了整个系统的资源利用率和系统吞叶量(单时间内处理..
   知识点讲解    
   · 时间模型    · 可靠度    · 失效率
 
       时间模型
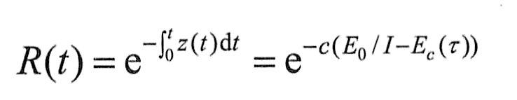
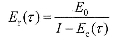
        时间模型基于这样一个假设:一个软件中的故障数目在t=0时是常数,随着故障被纠正,故障数目逐渐减少。在此假设下,一个软件经过一段时间的调试后剩余故障的数目可用下式来估计:
        
        其中,τ为调试时间,Erτ)为在时刻τ软件中剩余的故障数,E0τ=0时软件中的故障数,Ecτ)为在[0,τ]内纠正的故障数,I为软件中的指令数。
        由故障数Erτ)可以得出软件的风险函数Zt)=C·Erτ),其中C是比例常数。于是,软件的可靠度为:
        
        软件的平均无故障时间为:
        
        在时间模型中,需要确定在调试前软件中的故障数目,这往往是一件很困难的任务。
 
       可靠度
        我们用来表示可靠性最为直接的方式就是可靠度,根据可靠性的定义,可靠度就是软件系统在规定的条件下,规定的时间内不发生失效的概率,如果用Ft)来表示到t时刻止,软件不出现失效的概率,则可靠度的公式为
        
        同样,我们知道R(0)=1,R(+∞)=0
 
       失效率
        失效率(Failure Rate)又称风险函数(Hazard Function),也可以称为条件失效强度,物理解释就是在运行至此软件系统未出现失效的情况下,单位时间软件系统出现失效的概率。具体用数学用语来描述,就是当软件在0~t时刻内没有发生失效的条件下,t时刻软件系统的失效强度,用λt)表示失效率,则
        
        代入公式(15-1)可得从可靠度到失效率的转换表达式:
        
   题号导航      2022年下半年 系统架构设计师 上午试卷 综合知识   本试卷我的完整做题情况  
1 /
2 /
3 /
4 /
5 /
6 /
7 /
8 /
9 /
10 /
11 /
12 /
13 /
14 /
15 /
 
16 /
17 /
18 /
19 /
20 /
21 /
22 /
23 /
24 /
25 /
26 /
27 /
28 /
29 /
30 /
 
31 /
32 /
33 /
34 /
35 /
36 /
37 /
38 /
39 /
40 /
41 /
42 /
43 /
44 /
45 /
 
46 /
47 /
48 /
49 /
50 /
51 /
52 /
53 /
54 /
55 /
56 /
57 /
58 /
59 /
60 /
 
61 /
62 /
63 /
64 /
65 /
66 /
67 /
68 /
69 /
70 /
71 /
72 /
73 /
74 /
75 /
 
第16题    在手机中做本题