免费智能真题库 > 历年试卷 > 系统架构设计师 > 2022年下半年 系统架构设计师 上午试卷 综合知识
  第2题      
  知识点:   三态模型   由源点开始向汇点递推   进程
  关键词:   进程        章/节:   图论应用   操作系统       

 
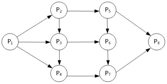
前趋图(Precedence Graph)是一个有向无环图,记为:→={(Pi,Pj)|Pimust complete before pj may start},假设系统中进程P={P1,P2,P3,P4,P5,P6,P7,P8},且进程的前趋图如下图所示。

那么,该前趋图可记为(  )。
 
 
  A.  →={(P1,P2),(P1,P3),(P1,P4),(P2,P5),(P3,P5),(P4,P7),(P5,P6),(P5,P7),(P7,P6),(P4,P5),(P6,P7),(P7,P8)}
 
  B.  →={(P1,P2),(P1,P3),(P1,P4),(P2,P3),(P2,P5),(P3,P4),(P3,P6),(P4,P7),(P5,P6),(P5,P8),(P6,P7),(P7,P8)}
 
  C.  →={(P1,P2),(P1,P3),(P1,P4),(P2,P3),(P2,P5),(P3,P4),(P3,P5),(P4,P6),(P5,P7),(P5,P8),(P6,P7),(P7,P8)}
 
  D.  →={(P1,P2),(P1,P3),(P2,P3),(P2,P5),(P3,P4),(P3,P6),(P4,P7),(P5,P6),(P5,P8),(P6,P7),(P6,P8),(P7,P8)}
 
 
 

  相关试题:操作系统          更多>  
 
  第3题    2019年下半年  
   46%
进程P有8个页面,页号分别为0~7,页面大小为4K,假设系统给进程P分配了4个存储块,进程P的页面变换表如下所示。表中状态位等于1和..
  第2题    2013年下半年  
   35%
某操作系统采用分页存储管理方式,下图给出了进程A和进程B的页表结构,如果物理页的大小为512字节,那么进程A逻辑地址为1111(十进..
  第4题    2018年下半年  
   49%
某文件系统采用多级索引结构,若磁盘块的大小为4KB,每个块号需占4B,那么采用二级索引结构时的文件最大长度可占用( )个物理块..
   知识点讲解    
   · 三态模型    · 由源点开始向汇点递推    · 进程
 
       三态模型
        按照进程在执行过程中的不同状况,至少可以定义三种不同的进程状态:
        (1)运行态:占有处理器正在运行。
        (2)就绪态:具备运行条件,等待系统分配处理器以便运行。
        (3)等待态(阻塞态):不具备运行条件,正在等待某个事件的完成。
        一个进程在创建后将处于就绪状态。每个进程在执行过程中,任一时刻当且仅当处于上述三种状态之一。同时,在一个进程执行过程中,它的状态将会发生改变。如下图所示为进程的状态转换。
        
        进程三态模型及其状态转换
        运行状态的进程将由于出现等待事件而进入等待状态,当等待事件结束之后等待状态的进程将进入就绪状态,而处理器的调度策略又会引起运行状态和就绪状态之间的切换。引起进程状态转换的具体原因如下:
        (1)运行态→等待态:等待使用资源,如等待外设传输;等待人工干预。
        (2)等待态→就绪态:资源得到满足,如外设传输结束;人工干预完成。
        (3)运行态→就绪态:运行时间片到;出现有更高优先权进程。
        (4)就绪态→运行态:CPU空闲时选择一个就绪进程。
 
       由源点开始向汇点递推
        
        其中,E1是网络中以Vj为终点的入边集合。
 
       进程
        简单而言,一个进程就是一个正在运行的程序。一般来说,一个进程至少应该包括以下几个方面的内容。
        .相应的程序:进程既然是一个正在运行的程序,当然需要有相应程序的代码和数据。
        .CPU上下文:指程序在运行时,CPU中各种寄存器的当前值,包括:程序计数器,用于记录将要取出的指令的地址;程序状态字,用于记录处理器的运行状态信息;通用寄存器,用于存放数据或地址;段寄存器,用于存放程序中各个段的地址;栈指针寄存器,用于记录栈顶的当前位置。
        .一组系统资源:包括操作系统用来管理进程的数据结构、进程的内存地址空间、进程正在使用的文件等。
        进程有动态性、独立性和并发行三个特性。
        (1)动态性。进程是一个正在运行的程序,而程序的运行状态是在不断地变化的。例如,当一个程序在运行的时候,每执行完一条指令,PC寄存器的值就会增加,指向下一条即将执行的指令。而CPU中用来存放数据和地址的那些通用寄存器,它们的值肯定也不断地变化。另外,堆和栈的内容也在不断地变化,每当发生一次函数调用时,就会在栈中分配一块空间,用来存放此次函数调用的参数和局部变量。而当函数调用结束后,这块栈空间就会被释放掉。
        (2)独立性。一个进程是一个独立的实体,是计算机系统资源的使用单位。每个进程都有自己的运行上下文和内部状态,在它运行的时候独立于其他的进程。
        (3)并发性。从宏观上来看,在系统中同时有多个进程存在,它们相互独立地运行。
        下图表示四个进程A、B、C、D在系统中并发地运行。从中可以看出,虽然从宏观上来说,这四个进程都是在系统中运行,但从微观上来看,在任何一个特定的时刻,只有一个进程在CPU上运行。从时间上来看,开始是进程A在运行,然后是进程B在运行,然后是进程C和进程D。接下来又轮到了进程A去运行。因此,在单CPU的情形下,所谓的并发性,指的是宏观上并发运行,而微观上还是顺序运行,各个进程轮流去使用CPU资源。
        
        四个进程在并发运行
        在具体实现上,以CPU中的程序计数器PC为例,真正物理上的PC寄存器只有一个。当四个进程在轮流执行时,PC取值的运动轨迹是先在进程A内部流动,然后再到进程B的内部流动,再到进程C和D。从进程的独立性角度来说,每个进程都有“自己”独立的PC寄存器,即逻辑上的PC寄存器,它们的取值相互独立、互不影响。所谓的逻辑PC,其实就是一个内存变量。例如,在上图中,当进程A要执行的时候,就把A的逻辑PC的值拷贝到物理PC中,然后开始运行。当轮到B运行的时候,先把物理PC的当前值保存到A的逻辑PC中,然后再把B的逻辑PC的值装入到物理PC中,即可运行。这样就实现了各个进程的轮流运行。
   题号导航      2022年下半年 系统架构设计师 上午试卷 综合知识   本试卷我的完整做题情况  
1 /
2 /
3 /
4 /
5 /
6 /
7 /
8 /
9 /
10 /
11 /
12 /
13 /
14 /
15 /
 
16 /
17 /
18 /
19 /
20 /
21 /
22 /
23 /
24 /
25 /
26 /
27 /
28 /
29 /
30 /
 
31 /
32 /
33 /
34 /
35 /
36 /
37 /
38 /
39 /
40 /
41 /
42 /
43 /
44 /
45 /
 
46 /
47 /
48 /
49 /
50 /
51 /
52 /
53 /
54 /
55 /
56 /
57 /
58 /
59 /
60 /
 
61 /
62 /
63 /
64 /
65 /
66 /
67 /
68 /
69 /
70 /
71 /
72 /
73 /
74 /
75 /
 
第2题    在手机中做本题