免费智能真题库 > 历年试卷 > 软件设计师 > 2025年上半年 软件设计师 上午试卷 综合知识
  第34题      
  知识点:   作业管理
  关键词:   CPU   并发执行   计算机系统   输出设备   输入设备   优先级调度   并发        章/节:   计算机软件知识       

 
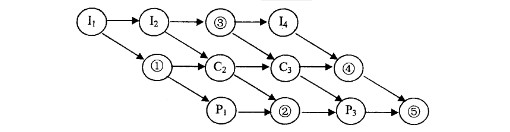
假设某计算机系统中只有一个CPU、一台输入设备和一台输出设备,若系统中有四个作业T1、T2、T3和T4,系统采用优先级调度,且T1的优先级>T2的优先级>T3的优先级>T4的优先级。每个作业Ti具有三个程序段:输入Ii、计算Ci和输出Pi(i=1,2,3,4),其执行顺序为Ii→Ci→Pi。这四个作业各程序段并发执行的前趋图如下所示。图中①、②分别为(24),③、④、⑤分别为(25)。
 
 
  A.  l2、P2
 
  B.  I2、C2
 
  C.  C1、P3
 
  D.  C1、P2
 
 
 

  相关试题:计算机软件知识          更多>  
 
  第27题    2021年下半年  
   60%
在磁盘上存储数据的排列方式会影响10服务的总时间。假设每个磁道被划分成10个物理块,每个物理块存放1个逻辑记录。逻辑记录R1,R2..
  第28题    2018年上半年  
   34%
若某文件系统的目录结构如下图所示,假设用户要访问文件rw.dll,且当前工作目录为swtools,则该文件的全文件名为(28),相对路径..
  第24题    2017年下半年  
   24%
下图所示的PCB(进程控制块)的组织方式是(24),图中(25)。
   知识点讲解    
   · 作业管理
 
       作业管理
               作业管理和作业控制
               作业是系统为完成一个用户的计算任务(或一次事务处理)所做的工作总和。操作系统中用来控制作业的进入、执行和撤销的一组程序称为作业管理程序,这些控制功能通过把作业步细化和执行进程来实现。
                      作业控制
                      用户作业可以采用脱机和联机两种控制方式控制作业的运行。在脱机控制方式中,作业运行的过程是无需人工干预的,因此用户必须将自己的意图用作业控制语言(JCL)编写成作业说明书连同作业一起提交给计算机系统。在联机控制方式中,操作系统向用户提供了一组联机命令,用户可以通过终端输入命令,将自己的意图告诉计算机,以控制作业的运行过程,因此整个作业的运行过程需要人工干预。
                      作业由程序、数据和作业说明书三部分组成。作业说明书包括作业基本情况、作业控制的描述、作业资源要求的描述。它体现了用户的控制意图。其中,作业基本情况包括用户名、作业名、编程语言、最大处理时间等;作业控制描述包括作业控制方式、作业步的操作顺序、作业执行出错处理;作业资源要求的描述包括处理时间、优先级、主存空间、外设类型和数量、实用程序要求等。
                      作业状态及其转换
                      作业的状态分为4种,即提交、后备、执行和完成。
                      (1)提交。作业提交给计算机中心,通过输入设备送入计算机系统的过程状态称为提交状态。
                      (2)后备。作业通过SPOOLing系统输入到计算机系统的后备存储器(磁盘)中,随时等待作业调度程序调度时的状态。
                      (3)执行。一旦作业被作业调度程序选中,为其分配了必要的资源,并为其建立了相应的进程后,该作业便进入了执行状态。
                      (4)完成。当作业正常结束或异常终止时,作业进入完成状态。此时由作业调度程序对该作业进行善后处理。如撤销作业的作业控制块,收回作业所占的系统资源,将作业的执行结果形成输出文件放到输出井中,由SPOOLing系统控制输出。
                      作业控制块和作业后备队列
                      作业控制块(JCB)是记录与该作业有关的各种信息的登记表。作业控制块是作业存在的唯一标志,包括用户名、作业名、状态标志等信息。
                      由于在输入井中有较多的后备作业,为了便于作业调度程序调度,通常将作业控制块排成一个或多个队列,这些队列称为作业后备队列,即作业后备队列是由若干个作业控制块组成的。
               作业调度
                      作业调度算法
                      常见的作业调度算法如下。
                      (1)先来先服务(FCFS)。按作业到达先后进行调度,即启动等待时间最长的作业。
                      (2)短作业优先(SJF)。以要求运行时间长短进行调度,即启动要求运行时间最短的作业。
                      (3)响应比高优先(HRN)。定义响应比,即HRN=作业响应时间/作业执行时间,其中作业响应时间是作业进入系统后的等待时间与作业的执行时间之和。
                      (4)优先级调度算法。可由用户指定作业优先级,根据作业的优先级别,优先级高者先调度。
                      (5)均衡调度算法。根据系统的运行情况和作业本身的特性对作业进行分类。作业调度程序轮流地从这些不同类别的作业中挑选执行。这种算法力求均衡地使用系统的各种资源,既注意发挥效率,又使用户满意。
                      作业调度算法性能的衡量指标
                      在一个以批量处理为主的系统中,通常用平均周转时间或平均带权周转时间来衡量调度性能的优劣。假设作业Jii=1,2,…,…,n)的提交时间为tsi,执行时间为tri,作业完成时间为toi,则作业Ji的周转时间Ti和周转系数Wi分别定义为
                      Ti=toi-tsii=1,2,…,n
                      Wi=Ti/trii=1,2,…,n
                      n个作业的平均周转时间T和平均带权周转时间W分别定义为
                      
                      从用户的角度来说,总是希望自己的作业在提交后能立即执行,这意味着当等待时间为零时作业的周转时间最短,即Ti=tri。但是作业的执行时间tri并不能直观地衡量出系统的性能,而带权周转时间Wi却能直观地反映系统的调度性能。从整个系统的角度来说,不可能满足每个用户的这种要求,而只能是系统的平均周转时间或平均带权周转时间最小。
               用户界面
               用户界面是计算机中实现用户与计算机通信的软件和硬件部分的总称。用户界面也称为用户接口或人机界面。
                      控制面板式用户界面
                      计算机发展早期,用户通过控制台开关、板键或穿孔纸带向计算机送入命令或数据,而计算机通过指示灯及打印机输出运行情况或结果。这种界面的特点是人去适应计算机,现在看来是十分笨拙的。
                      字符用户界面
                      字符用户界面是基于字符型的。用户通过键盘或其他输入设备输入字符,由显示器或打印机输出字符。字符用户界面的优点是功能强、灵活性好、屏幕开销少;缺点是操作步骤繁琐,学会操作较费时。
                      图形用户界面
                      随着文字、图形、声音、图像等多媒体技术的出现,各种图形用户界面应运而生,用户既可使用传统的字符,也可以使用图形、图像和声音同计算机进行交互,操作更为自然、更加方便,多媒体技术进一步推广、发展与完善。现代界面的关键技术是超文本。超文本的"超"体现在它不仅包括文本,还包括图像、音频、视频等多媒体信息,即将文本的概念扩充到超文本,超文本的最大特点是具有指向性。
                      新一代用户界面
                      多媒体、多通道及智能化是新一代用户界面的技术支持。新的、更加自然的交互技术,将为用户提供更方便的输入技术。计算机将通过多种感知通道来理解用户的意图,实现用户的要求;计算机不仅以二维屏幕向用户输出,而且能以真实感的计算机仿真环境向用户提供真实的体验。
   题号导航      2025年上半年 软件设计师 上午试卷 综合知识   本试卷我的完整做题情况  
1 /
2 /
3 /
4 /
5 /
6 /
7 /
8 /
9 /
10 /
11 /
12 /
13 /
14 /
15 /
 
16 /
17 /
18 /
19 /
20 /
21 /
22 /
23 /
24 /
25 /
26 /
27 /
28 /
29 /
30 /
 
31 /
32 /
33 /
34 /
35 /
36 /
37 /
38 /
39 /
40 /
41 /
42 /
43 /
44 /
45 /
 
46 /
47 /
48 /
49 /
50 /
51 /
52 /
53 /
54 /
55 /
56 /
57 /
58 /
59 /
60 /
 
61 /
62 /
63 /
64 /
65 /
66 /
67 /
68 /
69 /
70 /
71 /
72 /
73 /
74 /
75 /
 
第34题    在手机中做本题