免费智能真题库 > 历年试卷 > 软件设计师 > 2020年下半年 软件设计师 上午试卷 综合知识
  第20题      
  知识点:   语法分析
  关键词:   表达式   后缀式        章/节:   计算机软件知识       

 
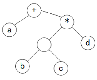
某表达式的语法树如下图所示,其后缀式(逆波兰式)是( )。
 
 
  A.  abcd-+*
 
  B.  ab-c+d*
 
  C.  abc-d*+
 
  D.  ab-cd+*
 
 
 

  相关试题:计算机软件知识          更多>  
 
  第25题    2020年下半年  
   31%
某文件系统采用索引节点管理,其磁盘索引块和磁盘数据块大小均为1KB字节且每个文件索引节点有8个地址项iaddr[0]~iaddr[7],每个地..
  第49题    2018年下半年  
   22%
下图所示为一个不确定有限自动机(NFA)的状态转换图。该NFA可识别字符串( )。
  第28题    2017年下半年  
   28%
某操作系统采用分页存储管理方式,下图给出了进程A和进程B的页表结构。如果物理页的大小为1K字节,那么进程A中逻辑地址为1024 (十..
   知识点讲解    
   · 语法分析
 
       语法分析
        语法分析的任务是根据语言的语法规则,分析单词串是否构成短语和句子,同时检查和处理程序中的语法错误。根据产生语法树的方向,语法分析可分为自底向上和自顶向下两类。
        自顶向下的分析是对给定的符号串,试图自顶向下地为其构造一棵语法树,或者说从文法的开始符号出发,为其构造一个最佳推导。
        自底向上的分析是对给定的符号串,试图自底向上地为其构造一棵语法树,或者说从给定的符号串本身出发,试图将其归约为文法的开始符号。
        算符优先文法属于自底向上的分析法,它利用各个算符间的优先关系和结合规则来进行语法分析,特别是用于分析各种表达式。算符优先文法的任何产生式的右部都会出现两个非终结符相邻的情况,且任何一对终结符之间至多只有3种算符关系,即">""<"和"="之一成立。
   题号导航      2020年下半年 软件设计师 上午试卷 综合知识   本试卷我的完整做题情况  
1 /
2 /
3 /
4 /
5 /
6 /
7 /
8 /
9 /
10 /
11 /
12 /
13 /
14 /
15 /
 
16 /
17 /
18 /
19 /
20 /
21 /
22 /
23 /
24 /
25 /
26 /
27 /
28 /
29 /
30 /
 
31 /
32 /
33 /
34 /
35 /
36 /
37 /
38 /
39 /
40 /
41 /
42 /
43 /
44 /
45 /
 
46 /
47 /
48 /
49 /
50 /
51 /
52 /
53 /
54 /
55 /
56 /
57 /
58 /
59 /
60 /
 
61 /
62 /
63 /
64 /
65 /
66 /
67 /
68 /
69 /
70 /
71 /
72 /
73 /
74 /
75 /
 
第20题    在手机中做本题