免费智能真题库 > 历年试卷 > 软件设计师 > 2020年下半年 软件设计师 上午试卷 综合知识
  第50题      
  知识点:   词法分析   有限自动机
  关键词:   有限自动机   自动机        章/节:   计算机软件知识       

 
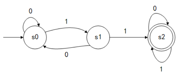
有限自动机的状态转换图如下图所示,该自动机可识别( )。
 
 
  A.  1001
 
  B.  1100
 
  C.  1010
 
  D.  0101
 
 
 

  相关试题:计算机软件知识          更多>  
 
  第20题    2023年上半年  
   23%
对布尔表达式"a or ((cb<c) and d)"求值时,( )时可进行短路计算。
  第63题    2010年下半年  
   49%
  第21题    2025年上半年  
   0%
将高级语言源程序翻译成机器语言程序的过程中,常引入中间代码。以下关于中间代码的叙述中,不正确的是()。
   知识点讲解    
   · 词法分析    · 有限自动机
 
       词法分析
        1)正规表达式和正规集
        对于字母表∑,其上的正规表达式(也称正则表达式,简称正规式)及其表示的正规集可以递归定义如下。
        (1)ε是一个正规式,它表示集合L(ε)={ε}。
        (2)若a是∑上的字符,则a是一个正规式,它所表示的正规集为{a}。
        (3)若正规式rs分别表示正规集L(r)和L(s),则
        ①r|s是正规式,表示集合L(r)∪L(s)。
        ②r.s是正规式,表示集合L(r)L(s)。
        ③r*是正规式,表示集合(L(r))*
        ④(r)是正规式,表示集合L(r)。
        仅由有限次地使用上述3个步骤定义的表达式才是∑上的正规式,其中运算符"|"".""*"分别称为"或""连接"和"闭包"。若两个正规式表示的正规集相同,则认为两者等价。
        2)有限自动机
        有限自动机是一种识别装置的抽象概念,它能够正确地识别正规集。
        (1)确定的有限自动机。
        一个确定的有限自动机(DFA)是个五元组:(S,∑,fs0Z),其中:
        ①S是一个有限集,其每个元素称为一个状态。
        ②∑是一个有限字母表,其每个元素称为一个输入字符。
        ③f是从S×∑→S上的单值部分映像。
        ④s0S是唯一的一个开始状态。
        ⑤Z是非空的终止状态集合。
        一个DFA可以用两种直观的方式表示,即状态转换图和状态转换矩阵。状态转换图简称为转换图,它是一个有向图。DFA中的每个状态对应转换图中的一个节点,DFA中的每个转换函数对应图中的一条有向弧,若转换函数为f(A,a)=Q,则该有向弧从节点A出发,进入节点Q,字符a是弧上的标记。状态转换矩阵可以用一个二维数组M表示,矩阵元素的行下标表示状态,列下标表示输入字符,M[A,a]的值是当前状态为A、输入为a时应转换到的下一状态。在转换矩阵中,一般以第一行的行下标所对应的状态作为初态,而终态则需要特别指出。
        (2)不确定的有限自动机。
        一个不确定的有限自动机(NFA)也是一个五元组,它与确定的有限自动机的区别如下。
        ①f是从S×∑→2S上的映像。对于S中的一个给定状态及输入符号,返回一个状态的集合。
        ②有向弧上的标记可以是ε。
        显然,DFA是NFA的特例。
        实际上,对于每个NFAM,都存在一个DFAN,且L(M)=L(N)。
        对于任何两个有限自动机M1M2,如果L(M1)=L(M2),则称M1M2是等价的。
        3)NFA到DFA的转换
        设NFAN=(S,∑,f,s0Z),与之等价的DFAM=(S',∑,f',q0,Z'),用子集法将非确定的有限自动机确定化的算法步骤如下。
        (1)求出DFAM的初态q0,此时S'仅含初态q0,并且没有标记。
        (2)对于S'中尚未标记的状态qi={si1,si2,…,sim}和sij∈(j=1,2,…,m)进行下述处理。
        ①标记qi
        ②对于每个a∈∑,令T=f(si1,si2,…,sim,a),qj=ε_CLOSURE(T)。
        ③若qi尚不在S'中,则将qj作为一个未加标记的新状态添加到S',并把状态转换函数f'(qi,a)=qj添加到DFAM
        (3)重复步骤(2),直到S'中不再有未标记的状态时为止。
        (4)令Z'={q|qS'且qZ≠?}。
        注:I是NFAN的状态集合的一个子集,其中ε_CLOSURE(I)的定义如下。
        ①状态集I的ε_CLOSURE(I)是一个状态集。
        ②状态集I的所有状态属于ε_CLOSURE(I)。
        ③若sI中,那么从s出发经过任意条ε弧到达的状态s'都属于ε_CLOSURE(I)。
        从NFA转换得到的DFA不一定是最简化的,可以通过等价变换将DFA进行最小化处理。
        4)正规式与有限自动机之间的转换
        (1)对于∑上的NFAM,可以构造一个∑上的正规式R,使得L(R)=L(M)。
        构造过程分以下两步进行。
        ①在M的状态转换图中加两个节点xy
        ②按下图所示的方法逐步消去M中的除xy的所有节点。
        
        状态转换图(消去中间节点)
        (2)对于∑上的每一个正规式R,可以构造一个∑上的NFAM,使得L(M)=L(R)。
        (3)构造过程分两步进行。
        ①对于正规式R,可用如下图所示的拓广状态图表示。
        
        拓广状态图
        ②通过对正规式R进行分裂并加入新的节点,逐步把图转变成每条弧上的标记是∑上的一个字符或ε,转换规则如下图所示。
        
        状态转换图(加入新节点)
        5)词法分析器的构造
        词法分析器的构造过程如下。
        (1)用正规式描述语言中的单词构成规则。
        (2)为每个正规式构造一个NFA,用于识别正规式所表示的正规集。
        (3)将构造出的NFA转换成等价的DFA。
        (4)对DFA进行最小化处理,使其最简。
        (5)根据DFA构造词法分析器。
 
       有限自动机
        有限自动机是一种识别装置的抽象概念,它能准确地识别正规集。有限自动机分为两类:确定的有限自动机和不确定的有限自动机。
        (1)确定的有限自动机(Deterministic Finite Automata,DFA)。一个确定的有限自动机是个五元组:(S,∑,fs0Z),其中:
        ①S是一个有限集合,它的每个元素称为一个状态。
        ②∑是一个有穷字母表,它的每个元素称为一个输入字符。
        ③fS×∑→S上的单值部分映像。fAa=Q表示当前状态为A、输入为a时,将转换到下一状态Q。称QA的一个后继状态。
        ④s0S,是唯一的一个开始状态。
        ⑤Z是非空的终止状态集合,
        一个DFA可以用两种直观的方式表示:状态转换图和状态转换矩阵。状态转换图是一个有向图,简称为转换图。DFA中的每个状态对应转换图中的一个结点;DFA中的每个转换函数对应图中的一条有向弧,若转换函数为fAa)=Q,则该有向弧从结点A出发,进入结点Q,字符a是弧上的标记。
        例如,DFAM1=({s0s1s2s3},{ab},fs0,{s3}),其中f为:
        fs0a)=s1fs0b)=s2fs1a)=s3fs1b)=s2fs2a)=s1fs2b)=s3fs3a)=s3
        与DFAM1对应的状态转换图如下图(a)所示,其中,状态s3表示的结点是终态结点。状态转换矩阵可以用一个二维数组M表示,矩阵元素M[A,a]的行下标表示状态,列下标表示输入字符,M[Aa]的值是当前状态为A、输入字符为a时,应转换到的下一状态。与DFAM1对应的状态转换矩阵如下图(b)所示。在转换矩阵中,一般以第一行的行下标对应的状态作为初态,而终态则需要特别指出。
        
        确定的有限自动机示意图
        对于∑中的任何字符串ω,若存在一条从初态结点到某一终止状态结点的路径,且这条路径上所有弧的标记符连接成的字符串等于ω,则称ω可由DFAM识别(接受或读出)。若一个DFAM的初态结点同时又是终态结点,则空字ε可由该DFA识别(或接受)。DFAM所能识别的语言LM)={ω|ω是从M的初态到终态的路径上的弧上标记所形成的串}。
        例如,对于字符串"ababaa",在上图(a)所示的状态转换图中,识别"ababaa"的路径是s0s1s2s1s2s1s3。由于从初态结点s0出发,存在到达终态结点s3的路径,因此该DFA可识别串"ababaa"。而"abab"和"baab"都不能被该DFA接受。对于字符串“abab“,从初态结点s0出发,经过路径s0s1s2s1s2,当串结束时还没有到达终态结点s3;而对于串"baab",经过路径s0s2s1s3,虽然能到达终态结点s3,但串尚未结束又不存在与下一字符"b"相匹配的状态转换。
        (2)不确定的有限自动机(Nondeterministic Finite Automata,NFA)。一个不确定的有限自动机也是一个五元组,它与确定有限自动机的区别如下。
        ①fS×∑→2s上的映像。对于S中的一个给定状态及输入符号,返回一个状态的集合。即当前状态的后继状态不一定是唯一确定的。
        ②有向弧上的标记可以是ε
        例如,已知有NFAN=({s0s1s2s3},{ab},fs0,{s3}),其中f为:
        fs0a)=s0fs0a)=s1fs0b)=s0fs1b)=s2fs2b)=s3
        与NFAM2对应的状态转换图和状态转换矩阵如下图所示。
        
        NFA的状态转换图和转换矩阵
        显然,DFA是NFA的特例。实际上,对于每个NFAM,都存在一个DFAN,L(M)=L(N)。
        词法分析器的任务是把构成源程序的字符流翻译成单词符号序列。手工构造词法分析器的方法是先用正规式描述语言规定的单词符号,然后构造相应有限自动机的状态转换图,最后依据状态转换图编写词法分析器(程序)。
   题号导航      2020年下半年 软件设计师 上午试卷 综合知识   本试卷我的完整做题情况  
1 /
2 /
3 /
4 /
5 /
6 /
7 /
8 /
9 /
10 /
11 /
12 /
13 /
14 /
15 /
 
16 /
17 /
18 /
19 /
20 /
21 /
22 /
23 /
24 /
25 /
26 /
27 /
28 /
29 /
30 /
 
31 /
32 /
33 /
34 /
35 /
36 /
37 /
38 /
39 /
40 /
41 /
42 /
43 /
44 /
45 /
 
46 /
47 /
48 /
49 /
50 /
51 /
52 /
53 /
54 /
55 /
56 /
57 /
58 /
59 /
60 /
 
61 /
62 /
63 /
64 /
65 /
66 /
67 /
68 /
69 /
70 /
71 /
72 /
73 /
74 /
75 /
 
第50题    在手机中做本题