免费智能真题库 > 历年试卷 > 软件设计师 > 2020年下半年 软件设计师 上午试卷 综合知识
  第43题      
  知识点:   UML中的图
  章/节:   面向对象基础知识       

 
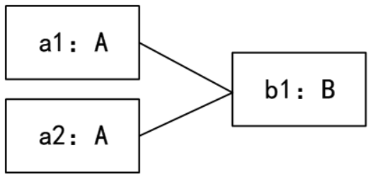
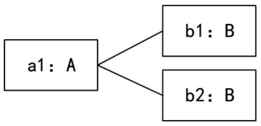
UML图中,对象图展现了(42),(43)所示对象图与 下图所示类图不一致。
 
 
 
  A. 
 
  B. 
 
  C. 
 
  D. 
 
 
 

  相关试题:面向对象基础知识          更多>  
 
  第9题    2019年上半年  
   41%
用户A和B要进行安全通信,通信过程需确认双方身份和消息不可否认。A和B通信时可使用(9)来对用户的身份进行认证;使用(10)确保..
  第45题    2022年上半年  
   0%
在某系统中,项目经费支配申请(Request)根据额度的不同,由不同层次的主管人员分级审批,项目经理(Manager)可以审批5万元以下的支..
  第46题    2022年下半年  
   74%
在某系统中,不同级别的日志信息记录方式不同,每个级别的日志处理对象根据信息级别高低,采用不同方式进行记录。每个日志处理对..
   知识点讲解    
   · UML中的图
 
       UML中的图
        UML提供的图包括类图、对象图、用例图、交互图、状态图、活动图、构件图和部署图。
        (1)类图(Class Diagram)展现了一组对象、接口、协作及其关系。类图给出系统的静态设计视图。包含主动类的类图给出了系统的静态进程视图。
        (2)对象图(Object Diagram)展现了一组对象及其关系。对象图描述了在类图中所建立的事物的实例的静态快照。对象图一般包括对象和链。
        (3)用例图(Use Case Diagram)展现了一组用例、参与者(Actor)及其关系。
        (4)序列图、通信图、交互概览图和时序图均被称为交互图,它们用于对系统的动态方面进行建模。
        (5)状态图(State Diagram)展现了一个状态机,它由状态、转换、事件和活动组成。状态图关注系统的动态视图,它对于接口、类和协作的行为建模尤为重要,强调对象行为的事件顺序。
        (6)活动图(Activity Diagram)是一种特殊的状态图,它展现了在系统内从一个活动到另一个活动的流程。活动图专注于系统的动态视图,它对于系统的功能建模特别重要,并强调对象间的控制流程。
        (7)构件图(Component Diagram)展现了一组构件之间的组织和依赖。构件图专注于系统的静态实现视图。它与类图相关,通常把构件映射为一个或多个类、接口或协作。
        (8)部署图(Deployment Diagram)展现了运行处理节点以及其中构件的配置。部署图给出了体系结构的静态实施视图。它与构件图相关,通常一个节点包含一个或多个构件。
   题号导航      2020年下半年 软件设计师 上午试卷 综合知识   本试卷我的完整做题情况  
1 /
2 /
3 /
4 /
5 /
6 /
7 /
8 /
9 /
10 /
11 /
12 /
13 /
14 /
15 /
 
16 /
17 /
18 /
19 /
20 /
21 /
22 /
23 /
24 /
25 /
26 /
27 /
28 /
29 /
30 /
 
31 /
32 /
33 /
34 /
35 /
36 /
37 /
38 /
39 /
40 /
41 /
42 /
43 /
44 /
45 /
 
46 /
47 /
48 /
49 /
50 /
51 /
52 /
53 /
54 /
55 /
56 /
57 /
58 /
59 /
60 /
 
61 /
62 /
63 /
64 /
65 /
66 /
67 /
68 /
69 /
70 /
71 /
72 /
73 /
74 /
75 /
 
第43题    在手机中做本题