免费智能真题库 > 历年试卷 > 软件设计师 > 2022年上半年 软件设计师 上午试卷 综合知识
  第27题      
  知识点:   进程管理   折半查找   查找   判定树
  关键词:   二分查找        章/节:   计算机软件知识       

 
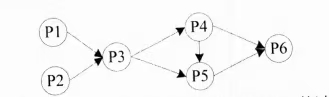
进程P1、P2、P3、P4、P5 和6的前趋图如下所示。

若用 PV 操作控制进程P1、P2、P3、P4、P5和P6并发执行的过程,需要设置7个信号量 S1、S2、S3、S4、S5、S6和S7:且信号量S1~S7的初值都等于零。如下图所示 P1~P6的进程执行图中,a和b处应分别填写(26);c和d处应分别填写(27);e和f处应分别填写(28)。
 
 
  A.  P(S2)V(S3)和P(S4)
 
  B.  V(S3)V(S4)和P(S3)
 
  C.  P(S2)V(S3)和V(S4)
 
  D.  V(S2)V(S4)和V(S4)
 
 
 

  相关试题:计算机软件知识          更多>  
 
  第54题    2019年下半年  
   64%
给定关系R(A,B,C,D)和S(B,C,E,F),与关系代数表达式π157(б2=5(R×S))等价的SQL语句如下:
SELE..
  第62题    2023年下半年  
   0%
将高级语言源程序通过编译或解释方式进行翻译时,可以先生成与源程序等价的某种中间代码。以下关于中间代码的叙途中,正确的是(..
  第20题    2015年下半年  
   33%
编译器和解释器是两种基本的高级语言处理程序。编译器对高级语言源程序的处理过程可以划分为词法分析、语法分析、语义分析、中间..
   知识点讲解    
   · 进程管理    · 折半查找    · 查找    · 判定树
 
       进程管理
               基本概念
                      程序与进程
                      1)程序
                      前趋图是一个有向无循环图,图由节点和节点间的有向边组成,节点代表各程序段的操作,而节点间的有向边表示两程序段操作之间存在的前趋关系("→")。两程序段PiPj的前趋关系表示成PiPj,其中PiPj的前趋,PjPi的后继,其含义是Pi执行完毕才能由Pj执行。
                      (1)程序顺序执行时的特征。
                      .顺序性。程序中的各程序段严格按照规定的顺序执行。
                      .封闭性。指程序运行时系统内各资源只受该程序控制,执行结果不受外界因素影响。
                      .可再现性。只要程序执行环境和初始条件相同,运行结果就相同。
                      (2)程序并发执行的特征。
                      .失去了程序的封闭性。
                      .程序和机器执行程序的活动不再一一对应。
                      .并发程序间无相互制约性。
                      2)进程
                      进程通常是由程序、数据及进程控制块(PCB)组成的。进程的程序部分描述了进程需要完成的功能,进程数据集合部分包括程序执行时所需的数据及工作区。
                      进程控制块是进程的描述信息和控制信息,是进程动态特性的集中反映,也是进程存在的唯一标志。进程控制块包含的主要内容有进程标志符、状态、位置信息、控制信息、队列指针、优先级、现场保护区及其他。PCB是操作系统中最主要的数据结构之一,既是进程存在的标志和调度的依据,又是进程可以被打断并能恢复运行的基础。操作系统通过PCB管理进程,一般PCB是常驻主存的,尤其是调度信息必须常驻主存。
                      进程的状态及其转换
                      1)三态模型
                      三态模型中最基本的状态有3种,即运行、就绪和阻塞。
                      .运行。进程正在处理机上运行。对于单处理机系统,处于运行状态的进程只有一个。
                      .就绪。进程具备运行条件,但尚未运行。
                      .阻塞。进程因发生某事件而暂停执行时的状态。
                      在进程运行过程中,由于自身进展情况及外界环境的变化,这3种基本状态可以在一定的条件下相互转换。进程的状态及转换如下图所示。
                      
                      进程的状态及其转换
                      2)五态模型
                      五态模型在三态模型的基础上增加了新建态和终止态。新建态是一个进程刚刚被创建还没有被提交,并等待系统完成创建进程的所有必要信息状态。终止态是指当一个进程已经正常结束或异常结束,操作系统进行善后处理并且释放主存的状态。
                      3)具有挂起状态的进程状态
                      由于进程的不断创建,系统资源特别是主存资源已不能满足所有进程的运行要求,这时就必须将某些进程挂起,放到磁盘对换区,暂时不参加调度,以平衡系统负载。具有挂起状态的进程状态包括活跃就绪、静止就绪、活跃阻塞、静止阻塞。
               进程的控制
               进程控制就是对系统中所有进程从创建到消亡的全过程实施有效的控制。为此,操作系统设置了一套控制机构,该机构的主要功能包括创建一个新进程,撤销一个已经运行完的进程,改变进程的状态,实现进程间的通信。进程控制是由操作系统内核中的原语实现的。内核是计算机系统硬件的首次延伸,是基于硬件的第一层软件扩充,它为系统对进程进行控制和管理提供了良好的环境。
               原语是指由若干条机器指令组成的,用于完成特定功能的程序段。原语的特点是在执行时不能被分割,即原子操作——要么都做,要么都不做。内核中所包含的原语主要有进程控制原语、进程通信原语、资源管理原语以及其他方面的原语。属于进程控制方面的原语有进程创建原语、进程撤销原语、进程挂起原语、进程激活原语、进程阻塞原语以及进程唤醒原语等。不同的操作系统内核所包含的功能不同,但大多数操作系统的内核都包含支撑功能和资源管理的功能。
               进程间的通信
                      同步与互斥
                      同步是合作进程间的直接制约问题,互斥是申请临界资源进程间的间接制约问题。
                      1)同步
                      相互合作的进程需要在某些确定点上协调它们的工作,当一个进程到达这些点后,除非另一个进程已经完成某些操作;否则就不得不停下来等待这些操作结束。这就是进程间的同步。
                      2)互斥
                      在多道程序系统中,各进程可以共享各类资源,但有些资源一次只能供一个进程使用,称为临界资源。这就产生了进程间的间接制约问题——互斥。
                      3)临界区管理的原则
                      临界区是进程中对临界资源实施操作的那段程序。互斥临界区管理的原则是:有空即进,无空则登;有限等待,让权等待。
                      信号量与P、V操作
                      信号量机制主要有整型信号量、记录性信号量、信号量集机制。
                      1)整型信号量与P、V操作
                      信号量是一个整型变量,根据控制对象的不同赋予不同的值。信号量可分为以下两类。
                      (1)公用信号量。实现进程间的互斥,初值为1或资源的数目。
                      (2)私用信号量。实现进程间的同步,初值为0或某个正整数。
                      信号量S的物理意义为:S≥0,表示某资源的可用数;S<0,其绝对值表示阻塞队列中等待该资源的进程数。P、V操作是实现进程同步与互斥的常用方法。
                      P操作定义:S:=S-1,若S≥0,则执行P操作的进程继续执行;否则,若S<0,则置该进程为阻塞状态,并将其插入阻塞队列。
                      V操作定义:S:=S+1,若S>0,则执行V操作的进程继续执行;否则,若S≤0,则从阻塞状态唤醒一个进程,并将其插入就绪队列,执行V操作的进程继续执行。
                      2)利用P、V操作实现进程的互斥
                      令信号量的初值为1,当进程进入临界区时执行P操作,退出临界区时执行V操作。则进入临界区的代码段如下。
                      
                      3)利用P、V操作实现进程的同步
                      进程的同步是由于进程间合作而引起的相互制约问题。要实现进程的同步,可用一个信号量与消息联系起来。当信号量的值为0时表示消息未产生,当信号量的值为非0时表示希望的消息已经存在。假定用信号量S表示某条消息,进程可以通过调用P操作测试消息是否达到,调用V操作通知消息已经准备好。
                      高级通信原语
                      P、V操作是用来协调进程间关系的,编程较困难、效率低,通信对用户不透明,生产者每次只能向缓冲区放一个消息,消费者只能从缓冲区中取一个消息。所以交换的信息量多时要引入高级通信原语。进程高级通信的类型主要有以下几种。
                      (1)共享存储系统。相互通信的进程共享某些数据结构或存储区,以实现进程之间的通信。
                      (2)消息传递系统。进程间的数据交换以消息为单位,程序员直接利用系统提供的一组通信命令(原语)来实现通信,如Send(A)、Receive(A)。
                      (3)管道通信。管道是指用于连接两个进程之间的一个打开的共享文件(pipe文件)。向管道(共享文件)提供输入的发送进程(即写进程),以字符流的形式将大量的数据送入管道;而接收进程可从管道的另一端接收大量的数据。由于通信时采用管道,所以叫管道通信。
               管程
               管程是由一些共享数据、一组能为并发进程执行的作用在共享数据上的操作集合、初始代码以及存取权组成的。
               采用这种方式管理共享资源可以借助数据结构及在其上实施操作的若干过程来进行,对共享资源的申请和释放可以通过过程在数据结构上的操作来实现。
               管程提供了一种允许多进程安全有效地共享抽象数据类型的机制,管程实现同步机制的基础是"条件结构"。为实现进程的互斥和同步,必须定义一些条件变量。这些条件变量只能被wait和signal访问。利用管程可以解决生产者-消费者问题。
               进程调度
               在某些操作系统中,一个作业从提交到完成需要经历高、中、低3级调度。
               (1)高级调度。又称"长调度""作业调度"或"接纳调度"。它决定处于输入池中的哪个后备作业可以调入主系统做好运行的准备,使其成为一个或一组就绪进程。系统中一个作业只需经过一次高级调度。
               (2)中级调度。又称"中程调度"或"对换调度"。它决定处于交换区中的就绪进程哪个可以调入主存,以便使其直接参与对CPU的竞争。在主存资源紧张时,为了将进程调入主存,必须将主存中处于阻塞状态的进程调至交换区,以便为调入进程腾出空间。
               (3)低级调度。又称"短程调度"或"进程调度"。它决定处于主存中的就绪进程哪个可以占用CPU,是操作系统中最活跃、最重要的调度程序,对系统的影响很大。
                      调度方式
                      调度方式是指当有更高优先级的进程到来时如何分配CPU。调度方式分为可剥夺式和不可剥夺式两种。可剥夺式是指当有更高优先级的进程到来时,强行将正在运行的进程所占用的CPU分配给高优先级的进程;不可剥夺式是指当有更高优先级的进程到来时,必须等待正在运行的进程自动释放占用的CPU,然后将CPU分配给高优先级的进程。
                      进程调度算法
                      常用的进程调度算法有先来先服务、时间片轮转、优先级调度和多级反馈调度算法。
                      1)先来先服务
                      先来先服务(FCFS)是按照作业提交或进程变为就绪状态的先后次序分配CPU。即每当进入进程调度时,总是将就绪队列队首的进程投入运行。FCFS主要用于宏观调度,其特点是比较有利于长作业,而不利于短作业;有利于CPU繁忙的作业,而不利于I/O繁忙的作业。
                      2)时间片轮转
                      时间片轮转的基本思路是通过时间片轮转,提高进程并发性和响应时间,从而提高资源利用率。时间片轮转算法主要用于微观调度,其设计目标是提高资源利用率。
                      3)优先级调度
                      优先级调度分为静态优先级和动态优先级两种。
                      (1)静态优先级。进程的优先级是在创建时就已确定好了,直到进程终止都不会改变。
                      (2)动态优先级。在创建进程时赋予一个优先级,在进程运行过程中还可以改变,以便获得更好的调度性能。
                      4)多级反馈调度
                      多级反馈调度算法是在时间片轮转算法和优先级算法的基础上改进的。其优点是:照顾短进程,提高系统吞吐量,缩短平均周转时间;照顾I/O型进程以获得较好的I/O设备利用率和缩短响应时间;不必估计进程的执行时间,动态调节优先级。
                      优先级的确定需要考虑以下情况。
                      (1)I/O型进程。让其进入最高优先级队列,以便能及时响应需要I/O交互的进程。通常执行一个小的时间片,在该时间片内,要求能处理完一次I/O请求的数据,然后转入阻塞队列。
                      (2)计算型进程。每次都执行完时间片,进入更低级序列。最终采用最大时间片来执行,减少调度次数。
                      (3)I/O次数不多而主要是CPU处理的进程。在I/O完成后,放回优先的I/O申请时离开的队列,以免每次都回到最高优先级队列后再逐次下降。
                      (4)为适应一个进程在不同时间段的运行特点,在I/O完成时,提高优先级;时间片用完时,降低优先级。
               死锁
               死锁是指两个以上的进程互相都因要求对方已经占有的资源,导致无法运行下去的现象。死锁是系统的一种出错状态,不仅浪费大量的系统资源,甚至会导致整个系统的崩溃,所以死锁是应该尽量预防和避免的。
                      产生死锁的原因
                      产生死锁的原因是资源竞争及进程推进顺序非法。
                      产生死锁的4个必要条件
                      产生死锁的4个必要条件如下。
                      (1)互斥条件。进程对其要求的资源进行排他性控制,即一次只允许一个进程使用。
                      (2)请求保持条件。零星地请求资源,即已获得部分资源后又请求资源被堵塞。
                      (3)不可剥夺条件。进程已获得资源在未使用完之前不能被剥夺,只能在使用完时由自己释放。
                      (4)环路条件。发生死锁时,在进程资源有向图中必构成环路,其中每个进程占有下一个进程申请的一个或多个资源。
                      进程资源有向图
                      进程资源有向图由方框、圆圈和有向边3部分组成。其中,方框表示资源,圆圈表示进程。
                      请求资源:○→□,箭头由进程指向资源。
                      分配资源:○←□,箭头由资源指向进程。
                      死锁的处理
                      下面介绍死锁的处理。
                      (1)死锁的预防。根据产生死锁的4个必要条件,只要使其中之一不能成立,死锁就不会出现。为此,可以采取下列预防措施,即预先静态分配法和资源有序分配法。
                      (2)死锁的避免。最著名的死锁避免算法是Dijkstra提出的银行家算法,其思想是:对于进程发出的每一个系统可以满足的资源请求命令加以检测,如果发现分配资源后,系统可能进入不安全状态,则不予分配;若分配资源后系统仍处于安全状态,则分配资源。与死锁预防策略相比提高了资源的利用率,但增加了系统的开销。
                      (3)死锁的检测。这种方法对资源的分配如不加限制,即允许死锁发生。但系统定时地运行一个"死锁检测"程序,判断系统是否发生死锁,若检测到有死锁,则设法加以解除。
                      (4)死锁的解除。检测到死锁发生后,常采用资源剥夺法和撤销进程法解除死锁。
               线程
                      线程的基本概念
                      线程是比进程更小的能独立运行的基本单位。在引入线程的操作系统中,线程是进程中的一个实体,是系统独立分配和调度的基本单位。线程自己基本上不拥有资源,只拥有一点在运行中必不可少的资源(如程序计数器、一组寄存器和栈),但它可与同属一个进程的其他线程共享该进程所占用的全部资源。一个线程可以创建和撤销另一个线程,同一个进程中的多个线程之间可以并发执行。线程也同样有就绪、等待和运行3种基本状态。
                      线程的分类
                      线程的分类如下。
                      (1)用户级线程。不依赖于内核,该类线程的创建、撤销和切换都不利用系统调用实现。
                      (2)内核支持线程。依赖于内核,即无论是用户进程中的线程,还是系统中的线程,它们的创建、撤销和切换都利用系统调用实现。
                      (3)同时实现了两种类型的线程。
                      线程与进程的比较
                      下面介绍线程与进程的比较。
                      (1)调度。将线程作为调度和分配的基本单位,进程作为拥有资源的基本单位。
                      (2)并发性。不仅进程之间可并发执行,而且同一个进程中的多个线程之间也可并发执行。
                      (3)拥有资源。进程是拥有资源的一个独立单位,线程不拥有系统资源,但可访问隶属于进程的资源。
                      (4)系统开销。在创建或撤销进程时,由于系统都要为之分配和回收资源,导致系统的开销明显地大于创建或撤销线程时的开销。
 
       折半查找
        折半查找的基本思想是:设查找表的元素存储在一维数组r[1…n]中,那么在表中的元素已经按关键字递增(或递减)的方式排序的情况下,可进行折半查找。其方法是:首先将待查的key值与表r中间位置上(下标为mid)记录的关键字进行比较,若相等则查找成功;若key>r[mid].key,则说明待查记录只可能在后半个子表r[mid+1…n]中,下一步应在后半个子表中再进行折半查找;若key<r[mid].key,说明待查记录只可能在前半个子表r[1…mid-1]中,下一步应在r的前半个子表中进行折半查找。这样通过逐步缩小范围,直到查找成功或子表为空时失败为止。
        折半查找的性能分析:折半查找的过程可以用一棵二叉树描述,不妨设节点总数为n=2h-1,则判定树是深度为h=log2(n+1)的满二叉树。在等概率情况下,折半查找的平均查找长度为
        当n值较大时,ASLbs≈log2(n+1)-1。
        折半查找比顺序查找的效率高,但它要求查找表进行顺序存储并且按关键字有序排列,因此对表进行元素的插入和删除时,需要移动大量的元素,所以折半查找适用于表不易变动,且又经常进行查找的情况。
 
       查找
        1)顺序查找
        顺序查找又称线性查找,顺序查找的过程是从线性表的一端开始,依次逐个与表中元素的关键字值进行比较,如果找到其关键字与给定值相等的元素,则查找成功;若表中所有元素的关键字与给定值比较都不成功,则查找失败。
        2)折半查找
        折半查找的过程是先将给定值与有序线性表中间位置上元素的关键字进行比较,若两者相等,则查找成功;若给定值小于该元素的关键字,那么选取中间位置元素关键字值小的那部分元素作为新的查找范围,然后继续进行折半查找;如果给定值大于该元素的关键字,那么选取比中间位置元素关键字值大的那部分元素作为新的查找范围,然后继续进行折半查找,直到找到关键字与给定值相等的元素或查找范围中的元素数量为零时结束。
        3)分块查找
        在分块查找过程中,首先将表分成若干块,每一块中关键字不一定有序,但块之间是有序的。此外,还建立了一个索引表,索引表按关键字有序。分块查找过程需分两步进行:先确定待查记录所在的块;然后在块中顺序查找。
        4)哈希表及其查找
        根据设定的哈希函数H(key)和处理冲突的方法,将一组关键字映射到一个有限的连续地址集上,并以关键字在地址集中的像作为记录在表中的存储位置,这种表称为哈希表,也称散列表。这一过程所得到的存储位置称为散列地址,由此形成的查找方法称为散列查找。
 
       判定树
        判定树是判定表的变形。一般情况下,判定树比判定表更直观,而且易于理解和使用。判定树结构如下图所示。
        
        判定树结构
   题号导航      2022年上半年 软件设计师 上午试卷 综合知识   本试卷我的完整做题情况  
1 /
2 /
3 /
4 /
5 /
6 /
7 /
8 /
9 /
10 /
11 /
12 /
13 /
14 /
15 /
 
16 /
17 /
18 /
19 /
20 /
21 /
22 /
23 /
24 /
25 /
26 /
27 /
28 /
29 /
30 /
 
31 /
32 /
33 /
34 /
35 /
36 /
37 /
38 /
39 /
40 /
41 /
42 /
43 /
44 /
45 /
 
46 /
47 /
48 /
49 /
50 /
51 /
52 /
53 /
54 /
55 /
56 /
57 /
58 /
59 /
60 /
 
61 /
62 /
63 /
64 /
65 /
66 /
67 /
68 /
69 /
70 /
71 /
72 /
73 /
74 /
75 /
 
第27题    在手机中做本题