免费智能真题库 > 历年试卷 > 软件设计师 > 2023年下半年 软件设计师 上午试卷 综合知识
  第20题      
  知识点:   UML概述
  关键词:   UML   活动图   建模   行序        章/节:   面向对象基础知识       

 
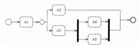
UML活动图用于建模(41)以下活动图中,活动A1之后,可能的活动执行序列顺序是(42)。

 
 
  A.  系统在它的周边环境的语境中所提供的外部可见服务
 
  B.  对象的生命周期中某个条件或者状态
 
  C.  系统内从一个活动到另一个活动的流程
 
  D.  某一时刻一组对象以及它们之间的关系
 
 
 

  相关试题:面向对象基础知识          更多>  
 
  第46题    2009年下半年  
   23%
下列UML类图表示的是(46)设计模式。该设计模式中,(47)。

  第44题    2011年下半年  
   44%
(44)模式通过提供与对象相同的接口来控制对这个对象的访问。
  第47题    2014年上半年  
   45%
下列设计模式中,(46)模式既是类结构型模式,又是对象结构型模式。此模式与(47)模式类似的特征是,都给另一个对象提供了一定程度..
   知识点讲解    
   · UML概述
 
       UML概述
        统一建模语言(UML)是面向对象软件的标准化建模语言。UML由3个要素构成,即UML的基本构造块、支配这些构造块如何放置在一起的规则和运用于整个语言的一些公共机制。UML的词汇表包含3种构造块,即事物、关系和图。事物是对模型中最具代表性的成分的抽象,关系把事物结合在一起,图聚集了相关的事物。
               事物
               事物包括结构事物、行为事物、分组事物和注释事物。
               (1)结构事物(Structural Thing)。结构事物是UML模型中的名词。它们通常是模型的静态部分,描述概念或物理元素。结构事物包括类(Class)、接口(Interface)、协作(Collaboration)、用例(Use Case)、主动类(Active Class)、构件(Component)和节点(Node)。
               (2)行为事物(Behavior Thing)。行为事物是UML模型的动态部分。它们是模型中的动词,描述了跨越时间和空间的行为。共有两类主要的行为事物,即交互(Interaction)和状态机(State Machine)。
               (3)分组事物(Grouping Thing)。分组事物是UML模型的组成部分。它们是一些由模型分解成的"盒子"。在所有的分组事物中,最主要的分组事物是包(Package)。
               (4)注释事物(Annotational Thing)。注释事物是UML模型的解释部分。这些注释事物用来描述、说明和标注模型的任何元素。注解(Note)是一种主要的注释事物。注解是一个依附于一个元素或者一组元素之上,并对它进行约束或解释的简单符号。
               关系
               UML中有4种关系,即依赖、关联、泛化和实现。
               (1)依赖(Dependency)。依赖是两个事物间的语义关系,其中一个事物(独立事物)发生变化会影响另一个事物(依赖事物)的语义。
               (2)关联(Association)。关联是一种结构关系,它描述了一组链,链是对象之间的连接。聚集(Aggregation)是一种特殊类型的关联,它描述了整体和部分间的结构关系。
               (3)泛化(Generalization)。泛化是一种特殊一般关系,特殊元素(子元素)的对象可替代一般元素(父元素)的对象。用这种方法子元素共享了父元素的结构和行为。
               (4)实现(Realization)。实现是类元之间的语义关系,其中一个类元指定了由另一个类元保证执行的契约。在两种地方要遇到实现关系:一种是在接口和实现它们的类或构件之间;另一种是在用例和实现它们的协作之间。
               UML中的图
               UML提供的图包括类图、对象图、用例图、交互图、状态图、活动图、构件图和部署图。
               (1)类图(Class Diagram)展现了一组对象、接口、协作及其关系。类图给出系统的静态设计视图。包含主动类的类图给出了系统的静态进程视图。
               (2)对象图(Object Diagram)展现了一组对象及其关系。对象图描述了在类图中所建立的事物的实例的静态快照。对象图一般包括对象和链。
               (3)用例图(Use Case Diagram)展现了一组用例、参与者(Actor)及其关系。
               (4)序列图、通信图、交互概览图和时序图均被称为交互图,它们用于对系统的动态方面进行建模。
               (5)状态图(State Diagram)展现了一个状态机,它由状态、转换、事件和活动组成。状态图关注系统的动态视图,它对于接口、类和协作的行为建模尤为重要,强调对象行为的事件顺序。
               (6)活动图(Activity Diagram)是一种特殊的状态图,它展现了在系统内从一个活动到另一个活动的流程。活动图专注于系统的动态视图,它对于系统的功能建模特别重要,并强调对象间的控制流程。
               (7)构件图(Component Diagram)展现了一组构件之间的组织和依赖。构件图专注于系统的静态实现视图。它与类图相关,通常把构件映射为一个或多个类、接口或协作。
               (8)部署图(Deployment Diagram)展现了运行处理节点以及其中构件的配置。部署图给出了体系结构的静态实施视图。它与构件图相关,通常一个节点包含一个或多个构件。
   题号导航      2023年下半年 软件设计师 上午试卷 综合知识   本试卷我的完整做题情况  
1 /
2 /
3 /
4 /
5 /
6 /
7 /
8 /
9 /
10 /
11 /
12 /
13 /
14 /
15 /
 
16 /
17 /
18 /
19 /
20 /
21 /
22 /
23 /
24 /
25 /
26 /
27 /
28 /
29 /
30 /
 
31 /
32 /
33 /
34 /
35 /
36 /
37 /
38 /
39 /
40 /
41 /
42 /
43 /
44 /
45 /
 
46 /
47 /
48 /
49 /
50 /
51 /
52 /
53 /
54 /
55 /
56 /
57 /
58 /
59 /
60 /
 
61 /
62 /
63 /
64 /
65 /
66 /
67 /
68 /
69 /
70 /
71 /
72 /
73 /
74 /
75 /
 
第20题    在手机中做本题