免费智能真题库 > 历年试卷 > 软件设计师 > 2023年下半年 软件设计师 上午试卷 综合知识
  第54题      
  知识点:   词法分析
  关键词:   有限自动机   字符串   自动机        章/节:   计算机软件知识       

 
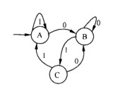
下图所示为一个有限自动机(其中,A是初态、C是终态),该自动机所识别的字符串的特点是(48)。
 
 
  A.  必须以00结尾的0、1串
 
  B.  必须以01结尾的0、1串
 
  C.  必须以10结尾的0、1串
 
  D.  必须以11结尾的0、1串
 
 
 

  相关试题:计算机软件知识          更多>  
 
  第42题    2024年上半年  
   38%
软件交付之后,由于软硬件环境发生变化而对软件进行修改的行为属于()维护。
  第51题    2014年上半年  
   32%
为了保证数据库中数据的安全可靠和正确有效,系统在进行事务处理时,对数据的插入、删除或修改的全部有关内容先写入(51);当系统..
  第54题    2009年上半年  
   30%
假设员工关系EMP (员工号,姓名,部门,部门电话,部门负责人,家庭住址,家庭成员,成员关系)如下表所示。如果一个部门可以有多..
   知识点讲解    
   · 词法分析
 
       词法分析
        1)正规表达式和正规集
        对于字母表∑,其上的正规表达式(也称正则表达式,简称正规式)及其表示的正规集可以递归定义如下。
        (1)ε是一个正规式,它表示集合L(ε)={ε}。
        (2)若a是∑上的字符,则a是一个正规式,它所表示的正规集为{a}。
        (3)若正规式rs分别表示正规集L(r)和L(s),则
        ①r|s是正规式,表示集合L(r)∪L(s)。
        ②r.s是正规式,表示集合L(r)L(s)。
        ③r*是正规式,表示集合(L(r))*
        ④(r)是正规式,表示集合L(r)。
        仅由有限次地使用上述3个步骤定义的表达式才是∑上的正规式,其中运算符"|"".""*"分别称为"或""连接"和"闭包"。若两个正规式表示的正规集相同,则认为两者等价。
        2)有限自动机
        有限自动机是一种识别装置的抽象概念,它能够正确地识别正规集。
        (1)确定的有限自动机。
        一个确定的有限自动机(DFA)是个五元组:(S,∑,fs0Z),其中:
        ①S是一个有限集,其每个元素称为一个状态。
        ②∑是一个有限字母表,其每个元素称为一个输入字符。
        ③f是从S×∑→S上的单值部分映像。
        ④s0S是唯一的一个开始状态。
        ⑤Z是非空的终止状态集合。
        一个DFA可以用两种直观的方式表示,即状态转换图和状态转换矩阵。状态转换图简称为转换图,它是一个有向图。DFA中的每个状态对应转换图中的一个节点,DFA中的每个转换函数对应图中的一条有向弧,若转换函数为f(A,a)=Q,则该有向弧从节点A出发,进入节点Q,字符a是弧上的标记。状态转换矩阵可以用一个二维数组M表示,矩阵元素的行下标表示状态,列下标表示输入字符,M[A,a]的值是当前状态为A、输入为a时应转换到的下一状态。在转换矩阵中,一般以第一行的行下标所对应的状态作为初态,而终态则需要特别指出。
        (2)不确定的有限自动机。
        一个不确定的有限自动机(NFA)也是一个五元组,它与确定的有限自动机的区别如下。
        ①f是从S×∑→2S上的映像。对于S中的一个给定状态及输入符号,返回一个状态的集合。
        ②有向弧上的标记可以是ε。
        显然,DFA是NFA的特例。
        实际上,对于每个NFAM,都存在一个DFAN,且L(M)=L(N)。
        对于任何两个有限自动机M1M2,如果L(M1)=L(M2),则称M1M2是等价的。
        3)NFA到DFA的转换
        设NFAN=(S,∑,f,s0Z),与之等价的DFAM=(S',∑,f',q0,Z'),用子集法将非确定的有限自动机确定化的算法步骤如下。
        (1)求出DFAM的初态q0,此时S'仅含初态q0,并且没有标记。
        (2)对于S'中尚未标记的状态qi={si1,si2,…,sim}和sij∈(j=1,2,…,m)进行下述处理。
        ①标记qi
        ②对于每个a∈∑,令T=f(si1,si2,…,sim,a),qj=ε_CLOSURE(T)。
        ③若qi尚不在S'中,则将qj作为一个未加标记的新状态添加到S',并把状态转换函数f'(qi,a)=qj添加到DFAM
        (3)重复步骤(2),直到S'中不再有未标记的状态时为止。
        (4)令Z'={q|qS'且qZ≠?}。
        注:I是NFAN的状态集合的一个子集,其中ε_CLOSURE(I)的定义如下。
        ①状态集I的ε_CLOSURE(I)是一个状态集。
        ②状态集I的所有状态属于ε_CLOSURE(I)。
        ③若sI中,那么从s出发经过任意条ε弧到达的状态s'都属于ε_CLOSURE(I)。
        从NFA转换得到的DFA不一定是最简化的,可以通过等价变换将DFA进行最小化处理。
        4)正规式与有限自动机之间的转换
        (1)对于∑上的NFAM,可以构造一个∑上的正规式R,使得L(R)=L(M)。
        构造过程分以下两步进行。
        ①在M的状态转换图中加两个节点xy
        ②按下图所示的方法逐步消去M中的除xy的所有节点。
        
        状态转换图(消去中间节点)
        (2)对于∑上的每一个正规式R,可以构造一个∑上的NFAM,使得L(M)=L(R)。
        (3)构造过程分两步进行。
        ①对于正规式R,可用如下图所示的拓广状态图表示。
        
        拓广状态图
        ②通过对正规式R进行分裂并加入新的节点,逐步把图转变成每条弧上的标记是∑上的一个字符或ε,转换规则如下图所示。
        
        状态转换图(加入新节点)
        5)词法分析器的构造
        词法分析器的构造过程如下。
        (1)用正规式描述语言中的单词构成规则。
        (2)为每个正规式构造一个NFA,用于识别正规式所表示的正规集。
        (3)将构造出的NFA转换成等价的DFA。
        (4)对DFA进行最小化处理,使其最简。
        (5)根据DFA构造词法分析器。
   题号导航      2023年下半年 软件设计师 上午试卷 综合知识   本试卷我的完整做题情况  
1 /
2 /
3 /
4 /
5 /
6 /
7 /
8 /
9 /
10 /
11 /
12 /
13 /
14 /
15 /
 
16 /
17 /
18 /
19 /
20 /
21 /
22 /
23 /
24 /
25 /
26 /
27 /
28 /
29 /
30 /
 
31 /
32 /
33 /
34 /
35 /
36 /
37 /
38 /
39 /
40 /
41 /
42 /
43 /
44 /
45 /
 
46 /
47 /
48 /
49 /
50 /
51 /
52 /
53 /
54 /
55 /
56 /
57 /
58 /
59 /
60 /
 
61 /
62 /
63 /
64 /
65 /
66 /
67 /
68 /
69 /
70 /
71 /
72 /
73 /
74 /
75 /
 
第54题    在手机中做本题