免费智能真题库 > 历年试卷 > 信息系统监理师 > 2011年上半年 信息系统监理师 上午试卷 综合知识
  第52题      
  知识点:   网络图法   工作流   图形   图形。   网络图
  关键词:   单代号网络图   工作流   箭线表   网络        章/节:   进度控制       

 
网络图由箭线和节点组成,用来表示工作流程的有向网状图形。在单代号网络图中,箭线表示(52)。
 
 
  A.  工作或事件
 
  B.  工作持续时间
 
  C.  工作之间的逻辑关系
 
  D.  工作的开始或结束状及工作之间的连接点
 
 
 

  相关试题:进度控制          更多>  
 
  第54题    2009年上半年  
   62%
按网络计划图进行工期优化的目的是为了缩短(54)。
  第52题    2011年下半年  
   49%
在某工程网络计划中,已知工作M没有自由时差,但总时差为5天,监理工程师检查实际进度时发现该工作的持续时间延长了4天,说明此时..
  第49题    2019年上半年  
   58%
进度控制过程是个周期性的循环过程,一个完整的进度控制过程为( )。
   知识点讲解    
   · 网络图法    · 工作流    · 图形    · 图形。    · 网络图
 
       网络图法
        网络图法是进度控制考查的重点,在这方面,主要需掌握网络图的绘制规则,有关时差和关键路径的概念,以及工期的计算和调整。
        网络图是由箭线和节点组成,用来表示工作流程的有向网状图形。网络图有单代号网络和双代号网络两种,它将研究和开发的项目及其控制过程作为一个系统来加以处理,通过将组成系统的各项工作整合成网络形式,对整个系统统筹规划、合理安排,有效地利用人力、物力,以最少的时间和资源消耗来达到整个系统的预期目标,是一种十分有效的进度管理方法。
                      网络图的绘制规则
                      网络图的绘制规则如下。
                      (1)网络图是有方向的,不允许出现回路。
                      (2)直接连接两个相邻节点之间的活动只能有一个。
                      (3)一个作业不能在两处出现。
                      (4)箭线首尾必有节点,不能从箭线中间引出另一条箭线。
                      (5)网络图必须只有一个网络始点和一个终点。
                      (6)各项活动之间的衔接必须按逻辑关系进行。
                      (7)工作或事件的字母代号或数字编号在同一网络图中不允许重复使用,每条箭线箭头节点的编号必须大于其箭尾节点的编号。
                      关键路径
                      关键路径法(Critical Path Method,CPM)是借助网络图和各活动所需时间(估计值)计算每一活动的最早或最迟开始和结束时间。CPM法的关键是计算总时差,这样可决定哪一个活动有最小的时间弹性。
                      CPM算法的核心思想是将WBS分解的活动按逻辑关系加以整合,统筹计算出整个项目的工期和关键路径。
                      在网络图中的某些活动可以并行地进行,所以完成工程的最少时间是从开始顶点到结束顶点的最长路径长度。移动从开始顶点到结束顶点的最长(工作时间之和最大)路径移动为关键路径(临界路径),关键路径上的活动称为关键活动。在一条路径中,每个工作的时间之和等于工程工期,这条路径就是关键路径。
                      与关键路径相关的概念还有最早开始时间、最迟开始时间、总时差和自由时差等。
                      (1)最早开始时间(最早开工时间):一个工作可以最早开始的时间。工作的最早开始时间应为其各项紧前工作的最早完成时间的最大值。
                      (2)最迟开始时间(最迟开工时间、最晚开工时间):不延误总工期的前提下,工作可以最晚的开始时间。
                      (3)总时差:不延误总工期的前提下,工作的机动时间。
                      (4)自由时差:不延误紧后工作开工的前提下,工作的机动时间。工作的自由时差等于其各项紧后工作最早开始时间的最小值与本项目最早完工时间之差。
                      工作的总时差也等于其紧后工作总时差的最小值与该工作自由时差之和。若在一条路径中,每个工作的总时差都是0,这条路径就是关键路径。
                      为了找出给定的网络图的关键活动,从而找出关键路径,需先定义几个重要的量。
                      .Vej)、Vlj):顶点j事件最早开始时间、最迟开始时间。
                      .ei)、li):活动i最早开始时间、最迟开始时间。
                      从源点Vl到某顶点Vj的最长路径长度称为事件Vj的最早开始时间,记做Vej)。Vej)也是以Vj为起点的出边<VjVk>所表示的活动ai的最早开始时间ei)。
                      在不推迟整个工程完成的前提下,一个事件Vj允许的最迟开始时间,记做Vlj)。显然,li)=Vlj)-(ai所需时间),其中jai活动的终点。满足条件li)=ei)的活动为关键活动。
                      求顶点VjVej)和Vlj)可按以下两步来做。
                      (1)由源点开始向汇点递推。
                      
                      其中,E1是网络中以Vj为终点的入边集合。
                      (2)由汇点开始向源点递推。
                      
                      其中,E2是网络中以Vj为起点的出边集合。
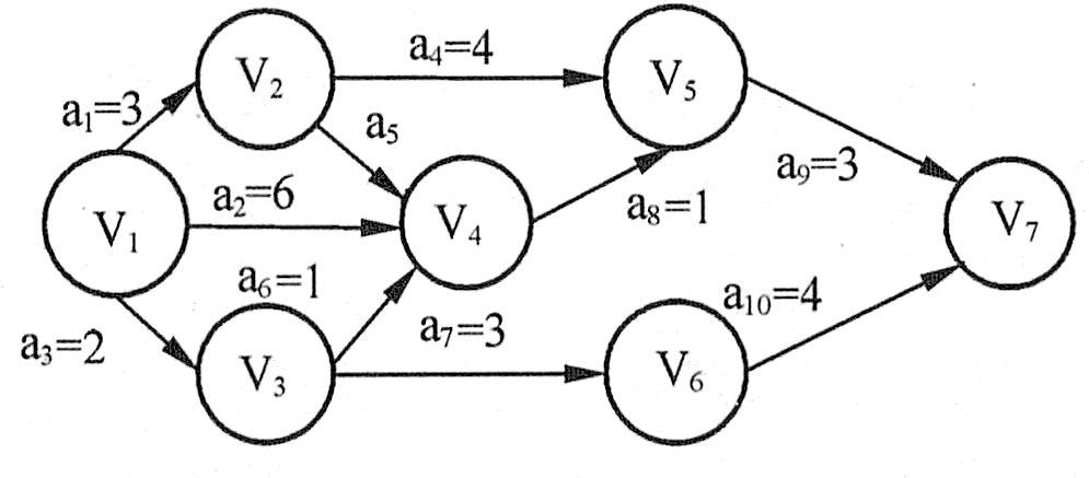
                      要求一个网络图的关键路径,一般需要根据以上变量列出一张表格,逐个检查。例如,求下图所示的网络图中关键路径的表格如下表所示。
                      
                      网络图的例子
                      
                      求关键路径的过程
                      根据上表,上图的关键活动为a1、a2、a4、a8和a9,其对应的关键路径有两条,分别为(V1,V2,V5,V7)和(V1,V4,V5,V7),长度都是10。
                      在一个网络图中,关键路径可以不止一条。例如,下图中的关键路径共有4条,分别是1→2→3→5→7→8,1→2→3→4→5→7→8,1→2→3→5→6→7→8及1→2→3→4→5→6→7→8。在下图中,从节点6到节点7中的虚线表示虚活动,虚活动只表示一种逻辑关系,没有历时。在下图中,表示活动L要在H、I和J都完成后才能开始。
                      
                      有虚活动的网络图
                      分析进度偏差的影响
                      将实际进度与计划进度进行比较并分析结果,以保持项目工期不变,保证项目质量和所耗费用最少为目标,做出有效对策,进行项目进度更新,这是进行进度控制和进度管理的宗旨。项目进度更新主要包括两方面的工作,即分析进度偏差的影响和进行项目进度计划的调整。
                      当出现进度偏差时,应分析该偏差对后续工作及总工期的影响,主要包括以下几方面。
                      (1)分析产生进度偏差的工作是否为关键活动。若出现偏差的工作是关键活动,则无论其偏差大小,对后续工作及总工期都会产生影响,必须进行进度计划更新;若出现偏差的工作为非关键活动,则需根据偏差值与总时差和自由时差的大小关系,确定其对后续工作和总工期的影响程度。
                      (2)分析进度偏差是否大于总时差。如果工作的进度偏差大于总时差,则必将影响后续工作和总工期,应采取相应的调整措施;若工作的进度偏差小于或等于该工作的总时差,表明对总工期无影响,但其对后续工作的影响,需要将其偏差与其自由时差相比较才能做出判断。
                      (3)分析进度偏差是否大于自由时差。如果工作的进度偏差大于该工作的自由时差,则会对后续工作产生影响,如何调整应根据后续工作允许影响的程度而定;若工作的进度偏差小于或等于该工作的自由时差,则对后续工作无影响,进度计划可不进行调整更新。
                      经过上述分析,项目管理人员可以确定是否应该调整产生进度偏差的工作和调整偏差值的大小,以便确定应采取的调整更新措施,形成新的符合实际进度情况和计划目标的进度计划。
                      项目进度计划的调整
                      项目进度计划的调整往往是一个持续反复的过程,一般分为以下几种情况。
                      (1)关键活动的调整。
                      关键活动调整方法的原理来自于关键路线法。在项目计划图中,关键路径上的活动没有机动时间,称为关键活动。由于其中任一工作持续时间的缩短或延长都会对整个项目工期产生影响,因此,关键活动的调整是项目进度更新的重点,包括以下两种情况。
                      第一种情况:关键活动的实际进度较计划进度提前时的调整方法。
                      若仅要求按计划工期执行,则可利用该机会降低资源强度及费用。实现的方法是选择后续关键活动中资源消耗量大或直接费用高的予以适当延长,延长的时间不应超过已完成的关键活动提前的量;若要求缩短工期,则应将计划的未完成部分作为一个新的计划,重新计算与调整,按新的计划执行,并保证新的关键活动按新计算的时间完成。
                      第二种情况:关键活动的实际进度较计划进度落后时的调整方法。
                      调整的目标就是采取措施将耽误的时间补回来,以保证项目按期完成。调整的方法主要是缩短后续关键活动的持续时间。这种方法是指在原计划的基础上,采取组织措施或技术措施缩短后续工作的持续时间以弥补时间损失,以确保总工期不延长。
                      实际上,不得不延长工期的情况非常普遍,项目经理在项目总计划的制定中要充分考虑到适当的时间冗余。当预计到项目时间要拖延时应该分析原因,第一时间向项目干系人通报,并征求建设单位的意见,这也是项目进度监理与控制的重要工作内容。
                      (2)非关键活动的调整。
                      当非关键线路上某些工作的持续时间延长,但不超过其时差范围时,则不会影响项目工期,进度计划不必调整。为了更充分地利用资源,降低成本,必要时可对非关键活动的时差做适当调整,但不得超出总时差,且每次调整均需进行时间参数计算,以观察每次调整对计划的影响。
                      非关键活动的调整方法有三种:在总时差范围内延长非关键活动的持续时间、缩短工作的持续时间、调整工作的开始或完成时间。
                      当非关键线路上某些工作的持续时间延长而超出总时差范围时,则必然影响整个项目工期,关键线路就会转移。这时,其调整方法与关键线路的调整方法相同。
                      .增减工作项目。由于编制计划时考虑不周,或因某些原因需要增加或取消某些工作,则需重新调整网络计划,计算网络参数。由于增减工作项目不应影响原计划总的逻辑关系,以便使原计划得以实施,因此,增减工作项目只能改变局部的逻辑关系。
                      增加工作项目,只是对原遗漏或不具体的逻辑关系进行补充;减少工作项目,只是对提前完成的工作项目或原不应设置的工作项目予以消除。增减工作项目后,应重新计算网络时间参数,以分析此项调整是否对原计划工期产生影响,若有影响,应采取措施使之保持不变。
                      .资源调整。若资源供应发生异常,应进行资源调整。资源供应发生异常是指因供应满足不了需要,如资源强度降低或中断,影响到计划工期的实现。资源调整的前提是保证工期不变或使工期更加合理。资源调整的方法是进行资源优化。
                      所谓进度压缩,是指在不改变项目范围的条件下缩短项目进度的途径。常用的进度压缩的技术有赶工、快速跟进等。进度压缩的方法有加强控制、资源优化(增加资源数量)、提高资源利用率(提高资源质量)、改变工艺或流程、加强沟通、加班、外包、缩小范围等。
                      在软件工程项目中必须处理好进度与质量之间的关系。在软件开发实践中常常会遇到这样的事情:当任务未能按计划完成时,只好设法加快进度赶上去。但事实告诉我们,在进度压力下赶任务,其结果往往是以牺牲产品的质量为代价的。因此,当某一开发项目的进度有可能延期时,应该分析延期原因,加以补救,不应该盲目地投入新的人员或推迟预定完成日期。Brooks曾指出:为延期的软件项目增加人员将可能使其进度更慢。
 
       工作流
               工作流的定义
               工作流(Workflow)是针对业务流程中具有固定程序的常规活动而提出的一个概念,通过将业务流程分解定义良好的任务、角色、规则和过程来进行执行和监控,达到提高生产组织水平和工作效率的目的,工作流技术为企业更好地实现经营目标提供了先进的手段。工作流要解决的主要问题是:为实现某个业务目标,在多个参与者之间,利用计算机,按某种预定规则自动传递文档、信息或者任务。
               一个工作流包括一组活动及它们的相互顺序关系,还包括过程及活动的启动和终止条件,以及对每个活动的描述。
               工作流管理系统
               工作流管理系统指运行在一个或多个工作流引擎上用于定义、实现和管理工作流运行的一套软件系统,它与工作流执行者(人、应用)交互,推进工作流实例的执行,并监控工作流的运行状态。
               工作流管理系统将业务流程中工作如何组织协调在一起的规则抽象出来,从而分离了具体工作的逻辑和流程组织的逻辑。我们在工作流管理系统的协助下:开发人员遵从一定的编程接口及约定,就可以开发出更具灵活性的事务处理系统;最终用户无需重新开发事务处理系统,就可以自己更改工作流程,以适应业务变化的需要。
               工作流管理系统可以描述不同覆盖范围和不同时间跨度的经营过程,根据经营过程以及组成活动的复杂程度,工作流管理系统可以采取多种实施方式,在不同实施方式中,所应用的信息技术、通信技术和支撑系统结构会有很大的差别,工作流管理系统的实际运行环境也可以在一个工作组内部,也可以在全企业所有业务部门。
               工作流管理系统在实际系统中的应用一般分为三个阶段:即模型建立阶段、模型实例化阶段和模型执行阶段。在模型建立阶段,通过利用工作流建模工具,完成企业经营过程模型的建立,将企业的实际经营过程转化为计算机可处理的工作流模型。模型实例化阶段完成为每个过程设定运行所需的参数,并分配每个活动执行所需要的资源,模型执行阶段完成经营过程的执行,在这一过程中,重要的任务是完成人机交互和应用的执行。
               工作流的功能
               工作流最大的优点是实现了应用逻辑与过程逻辑的分离,因此可以在不修改具体功能的实现情况下,通过修改过程模型来改变系统功能,完成对生产经营部分过程或全部过程的集成管理,有效地把人、信息和应用工具合理地组织在一起,发挥系统的最大效能。工作流技术可以支持企业实现对经营管理和生产组织的过程控制以及决策支持,实现现代企业对“在适当的时间把适当的信息传给适当的人”的要求。
               对于引入工作流的组织,能够在软件开发和业务两个层次受益。
               .方便开发,工作流管理系统能够简化企业级软件开发甚至维护。
               .降低开发风险——通过使用状态和动作这样的术语,业务分析师和开发人员使用同一种语言交谈。这样开发人员就不必将用户需求转化成软件设计了。
               .实现统一集中——业务流程经常变化,使用工作流系统的最大好处是:业务流程的实现代码,不再散落在各种各样的系统中。
               .加快应用开发——软件不用再关注流程的参与者,开发起来更快,代码更容易维护。
               .业务流程管理(BPM)——提高效率,在自动化过程中会去除一些不必要的过程。
               .提高对迭代开发的支持。
               如果软件中业务流程部分不容易更改,组织就需要花很大的精力在开发前的业务流程分析中,希望一次成功。但可悲的是,在任何软件项目开发中,这都很少能实现。工作流系统使得新业务流程很容易部署,业务流程相关的软件可以一种迭代的方式开发,因此使用工作流系统使开发更有效、风险更低。
 
       图形
               表示与存储
               图形是指能在人的视觉系统中产生视觉印象的客观对象,它包括人眼观察到的自然景物、拍摄到的图片、绘图工具得到的工程图、用数学方法描述的图像等。图形是客观对象的一种抽象表示,它带有形状和颜色信息。构成图形的要素有几何要素(刻画对象轮廓形状的点、线、面、体等)和非几何要素(刻画对象表面属性或材质的颜色、灰度等)。图形可用形状参数和属性参数表示,即参数表示法;也可用带有灰度或色彩的点阵图表示,简称像素图、图像(数字图像),即点阵表示法。
               图形是计算机图形学(Computer Graphics, CG)研究的对象。ISO给计算机图形学的定义为:研究用计算机进行数据和图形之间相互转换的方法和技术。还有定义为:计算机图形学是运用计算机描述、输入、表示、存储、处理(检索/变换/图形运算)、显示、输出图形的一门学科。计算机图形技术主要研究如何在计算机中表示图形,以及利用计算机进行图形的计算、处理和显示的相关原理和算法,其核心是将客观世界对象以图形的形式在计算机内表示出来,主要包括模型生成和图形显示,如下图所示。模型生成是获取、存储和管理客观世界物体的计算机模型,以在计算机上建立客观世界的模拟环境。图形显示是生成、处理和操纵客观世界物体模型的可视化结果,以在输出设备上呈现客观世界物体的图像。
               
               计算机图形生成模型
               计算机图形技术所涉及的研究内容非常广泛,如图形硬件、图形标准、图形交互技术、光栅图形生成算法、曲线曲面造型、实体造型、真实感图形计算与显示算法、风格化绘制、科学计算可视化、计算机动画、自然景物仿真、虚拟现实等。
               图形的文件格式
               ① TIF。
               TIF格式是平面设计中最常用的一种图形格式,因为其属于跨平台的格式,而且支持CMYK色,所以经常被用于印刷输出的场合。此外还有一个特色就是其支持LZW压缩,即不失真压缩,也就是说不管如何压缩,图档的品质都还能保持原来的水准。
               ②TGA。
               TGA图形格式的最大特点就是可以制作出不规则形状的图档,一般图档都为四方形,若需要圆形、菱形甚至镂空的图档时,TGA格式可能就会派上用场了。TGA格式同样支持压缩,也属于不失真压缩。
               ③ PSD。
               PSD格式是Photoshop专用的图形文件格式,该格式包含图形中的色层、遮罩、色频、选取区等Photoshop可以处理的属性,这样全方位的存储如果运用得当,几乎可以将创作的过程完整地记录,以便日后的修改。
               ④UFO。
               UFO格式是另一个著名制图软件Ulead Photoimapct的专用图形格式,其是致力于追赶Adobe的有力科技,同样也发展出了与PSD格式类似的图档格式,能够完整记录所有处理过的属性,不过在记录原理上却有些不同,UFO以物件代替图层,这一点并无大碍,因为Photoimapct与Photoshop本身就有很多的不同之处。
               ⑤RIF。
               RIF是著名制图软件Painter的专用图形格式,处理方式和前面两种大同小异,都可以存储相当多的属性资料。另外,Painter可以打开PSD文件,而且经过Painter处理的PSD文件可以在Photoshop中通用,这样就可以使同一文件在Photoshop和Painter中交换使用了。
               ⑥ CDR。
               CDR是著名制图软件CorelDRAW的专用图形格式,由于CorelDRAW是向量软件,所以CDR可以记录的资料可以说是千奇百怪,各物件的属性、位置、分页通通可以存储,以便日后修改。在兼容度上,目前基本没有其他软件可以打开CDR文件,这是向量软件的通病。
               ⑦EPS。
               EPS是印刷时经常用到的格式,向量图可以转换成EPS格式,点阵图也可以转成EPS格式。EPS文件可以同时存储点阵以及向量,故专门用于印前操作,如排版等,所以一般在印刷时都使用EPS文件。
               图形处理技术
               图形处理技术的范围很广,这里以真实感图形绘制和非真实感图形绘制为例简单介绍图形处理技术。
               真实感图形绘制是指借助数学、物理、计算机等学科知识使用计算机生成三维场景中真实逼真的图形、图像的过程。真实感图像绘制主要包括两个方面:表面特性的精确表示和场景中光照效果的物理描述。真实感图形绘制的应用非常广泛,例如计算机动画制作、影视特效仿真、计算机游戏、多媒体教育和虚拟现实等。真实感图形绘制所涉及的技术主要有消隐技术、表面细节绘制技术、纹理贴图技术、高级光照与着色技术等。
               非真实感图形绘制是指利用计算机生成不具有照片般真实感而具有手绘风格的图形的技术,其目标不在于表现图形的真实性,而是在于表现图形的艺术特质、模拟艺术作品(甚至包括作品中的缺陷)或作为真实感图形的有效补充。非真实感图形绘制的应用领域也非常广泛,其中一个重要的应用领域就是对绘画进行模拟,主要模拟的画种有油画、水彩画、钢笔画、铅笔画、水墨画和卡通动画。非真实感图形绘制所涉及的技术主要有基于像素的绘制,基于线条、曲线和笔画的绘制,模拟绘画绘制等。
               如下图所示,树和天空是采用真实感图形绘制技术绘制出来的,国画是采用非真实感图形绘制技术绘制出来的。
               
               真实感图形绘制和非真实感图形绘制
 
       图形。
        图形是一种矢量图。矢量图是用数学的方式来描述一幅图形,它的基本元素是图元,即图形指令。矢量图形的描述包括形状、色彩和位置等。例如指令Rect(0,0,200,200)表示从坐标(0,0)开始,水平走200个像素点,再垂直走200个像素点,最后形成一个正方形。该指令描述中,所用字符数不到20个字节。矢量图形本身就用数字化形式来表述,其特点是存储量小,且图形的大小变换时不失真。但是,对于一幅复杂的彩色照片,是很难用数学来描述的,因此也难于用矢量图来表示。
 
       网络图
               网络计划技术
               甘特图虽然简单直观,但对于复杂的大型项目来说,很难清楚表明各项工作之间的逻辑关系,时间参数计算也不便,不能指出影响项目周期的关键所在,难以对计划在执行过程中进行明确的修改和调整。网络计划技术是指在应用网络模型的基础上,利用相关信息进行分析计算,通过对时间、费用、资源等要素的不断调整优化,并在工作过程中加强控制,以达到节省费用、缩短工期、提高工作效率,它是能有效实现项目目标的一种科学管理方法。网络计划技术的基本原理,可以归纳为以下4点。
               (1)把一个项目的全部实现过程分解成若干项工作,并按各项工作的开展顺序和相互制约关系,绘制成网络图形。
               (2)通过网络图时间参数计算,找出关键工作和关键线路。
               (3)利用最优化原理,不断改进网络计划的初始方案,寻求其最优方案。
               (4)在网络计划执行过程中,对其进行有限监督和控制,合理安排人力、物力和资源,以最少的资源消耗,获得最大的经济效果。
               网络图
               网络图是网络计划技术的基础。网络图是由箭线和节点组成,用来表示工作流程的方向、顺序的网状图形,一个网络图表示一个项目任务。网络图包含三个因素即作业、事件和路线。作业,是指一项工作或一道工序,需要消耗人力、物力和时间的具体活动过程,在网络图中作业用箭线或节点表示;事件是指某项作业的开始或结束,它不消耗任何资源和时间;路线,是指自网络始点开始,顺着箭线的方向,经过一系列连续不断的作业和事件直至网络终点的通道,一条路线上各项作业的时间之和是该路线的总长度(路长)。
               
               双代号网络图
               网络图有双代号网络图和单代号网络图两种。双代号网络图又称箭线式网络图,它是以箭线及其两端节点的编号表示工作,同时,节点表示工作的开始或结束以及工作之间的连接状态,如上图所示;单代号网络图又称节点式网络图,它是以节点及其编号表示工作,箭线表示工作之间的逻辑关系,如下图所示。
               
               单代号网络图
               网络图的绘制
               网络图中工作的表示方法如下图一和下图二所示。网络图中的节点都必须有编号,其编号严禁重复,并应使每一条箭线上箭尾节点编号小于箭头节点编号。在双代号网络图中,一项工作必须有唯一的一条箭线和相应的一对不重复出现的箭尾、箭头节点编号。因此,一项工作的名称可以用其箭尾和箭头节点编号来表示。可以允许存在虚箭线,虚箭线不代表实际工作,我们称之为虚工作。虚工作既不消耗时间,也不消耗资源。虚工作主要用来表示相邻两项工作之间的逻辑关系。但有时为了避免两项同时开始、同时进行的工作具有相同的开始节点和完成节点,也需要用虚工作加以区分。而在单代号网络图中,一项工作必须有唯一的一个节点及相应的一个代号,该工作的名称可以用其节点编号来表示。在单代号网络图中,虚拟工作只能出现在网络图的起点节点或终点节点处。
               
               双代号网络图工作表示法
               
               单代号网络图工作表示法
               工作之间先后顺序关系是项目逻辑关系的组成部分。工作关系可以被描述为紧前工作、紧后工作和平行工作。紧前工作、紧后工作及平行工作是工作之间逻辑关系的具体表现,只要能根据工作之间的关系明确其紧前或紧后关系,即可据此绘出网络图。它是正确绘制网络图的前提条件。
               (1)紧前工作。在网络图中,相对于某工作而言,紧排在该工作之前的工作称为该工作的紧前工作。在双代号网络图中,工作与其紧前工作之间可能有虚工作存在。
               (2)紧后工作。在网络图中,相对于某工作而言,紧排在该工作之后的工作称为该工作的紧后工作。在双代号网络图中,工作与其紧后工作之间也可能有虚工作存在。
               (3)平行工作。在网络图中,相对于某工作而言,可以与该工作同时进行的工作即为该工作的平行工作。
               在关于网络图的描述中还有几个相关概念:
               (1)先行工作和后续工作:先行工作指对于某工作而言,从网络图的第一个节点(起点节点)开始,顺箭头方向经过一系列箭线与节点到达该工作为止的各条通路上的所有工作。后续工作指相对于某工作而言,从该工作之后开始,顺箭头方向经过一系列箭线与节点到网络图最后一个节点(终点节点)的各条通路上的所有工作。
               (2)线路:网络图中从起点节点开始,沿箭头方向顺序通过一系列箭线与节点,最后到达终点节点的通路称为线路。线路既可依次用该线路上的节点编号来表示,也可依次用该线路上的工作名称来表示。如下图所示,该网络图中有2条线路,可表示为:①—②—③—⑤—⑥和①—②—④—⑤—⑥,也可表示为:A—B—D—F和A—C—E—F。
               
               双代号网络图
               网络图的绘图一般应遵循以下基本规则:
               (1)网络图必须按照已定的逻辑关系绘制。
               (2)网络图中严禁出现循环回路。
               (3)网络图中的箭线(包括虚箭线,以下同)应保持自左向右的方向,不应出现箭头指向左方的水平箭线和箭头偏向左方的斜向箭线。
               (4)网络图中严禁出现双向箭线和无箭头箭线,严禁出现没有箭尾节点的箭线和没有箭头节点的箭线。
               (5)严禁在箭线上引出箭线。
               (6)应避免出现交叉箭线,当不可避免时,可采用过桥法和指向法处理。
               (7)网络图中应只有一个起点节点和一个终点节点(任务中部分工作需要分期完成的网络计划除外)。除网络图的起点节点和终点节点外,不允许出现没有外向箭线的节点和没有内向箭线的节点。
               网络计划及参数计算
               网络计划是指在网络图上加注时间参数而编制的进度计划。网络时间参数是指网络计划及其工作、节点所具有的各种时间值。网络时间参数的计算应在各项工作的持续时间确定之后进行。
               (1)网络时间参数及含义。
               工作持续时间是指一项工作从开始到完成的时间。
               工作的最早开始时间(ES)是指在其所有紧前工作全部完成后,本工作有可能开始的最早时刻。工作的最早完成时间(EF)是指在其所有紧前工作全部完成后,本工作有可能完成的最早时刻。工作的最早完成时间等于本工作的最早开始时间与其持续时间之和。
               工作的最迟完成时间(LF)是指在不影响整个任务按期完成的前提下,本工作必须完成的最迟时刻。工作的最迟开始时间(LS)是指在不影响整个任务按期完成的前提下,本工作必须开始的最迟时刻。工作的最迟开始时间等于本工作的最迟完成时间与其持续时间之差。
               工作的总时差(TF)是指在不影响总工期的前提下,本工作可以利用的机动时间。工作的自由时差(FF)是指在不影响其紧后工作最早开始时问的前提下,本工作可以利用的机动时间。对于同一项工作而言,自由时差不会超过总时差。当工作的总时差为零时,其自由时差必然为零。
               (2)网络时间参数的计算。
               网络参数的计算应在确定各项工作的持续时间之后进行,网络计划的起点节点的最早开始时间为零。
               网络计划中各项工作的最早开始时间(ES)和最早完成时间(EF)的计算应从网络计划的起点节点开始,顺着箭线方向依次逐项计算。工作的最早开始时间等于该工作的各个紧前工作的最早完成时间的最大值,ES=max{紧前工作的EF};工作的最早完成时间等于该工作的最早开始时间加上其持续时间,EF=ES+本工作持续时间。
               网络计划中各项工作的最迟开始时间(LS)和最迟完成时间(LF)的计算应以项目规定或计算的工期为基准,从网络计划的终止节点,逆着箭线方向依次逐项计算。某工作的最迟完成时间等于该工作的各项紧后工作的最迟开始时间的最小值,LF=min{紧后工作的LS};最迟开始时间等于本项工作的最迟完成时间减本项工作的持续时间,LS=LF-工作的持续时间。
               某项工作总时差(TF)等于该工作最迟完成时间与最早完成时间之差,或该工作最迟开始时间与最早开始时间之差,TF=LF-EF或TF=LS-ES。
               某项工作自由时差(FF)的计算有两种情况,对于有紧后工作的工作,其自由时差等于本工作之紧后工作最早开始时间减本工作最早完成时间所得之差的最小值,FF=min{ES(紧后工作)}-EF;对于无紧后工作的工作,也就是以网络计划终点节点为完成节点的工作,其自由时差等于计划工期与本工作最早完成时间之差。
   题号导航      2011年上半年 信息系统监理师 上午试卷 综合知识   本试卷我的完整做题情况  
1 /
2 /
3 /
4 /
5 /
6 /
7 /
8 /
9 /
10 /
11 /
12 /
13 /
14 /
15 /
 
16 /
17 /
18 /
19 /
20 /
21 /
22 /
23 /
24 /
25 /
26 /
27 /
28 /
29 /
30 /
 
31 /
32 /
33 /
34 /
35 /
36 /
37 /
38 /
39 /
40 /
41 /
42 /
43 /
44 /
45 /
 
46 /
47 /
48 /
49 /
50 /
51 /
52 /
53 /
54 /
55 /
56 /
57 /
58 /
59 /
60 /
 
61 /
62 /
63 /
64 /
65 /
66 /
67 /
68 /
69 /
70 /
71 /
72 /
73 /
74 /
75 /
 
第52题    在手机中做本题