免费智能真题库 > 历年试卷 > 系统集成项目管理工程师 > 2010年上半年 系统集成项目管理工程师 上午试卷 综合知识
  第43题      
  知识点:   资源平衡
  关键词:   资源平衡        章/节:   控制进度       

 
下列关于资源平衡的描述中,(43)是正确的。
 
 
  A.  资源平衡通常用于已经利用关键链法分析过的进度模型之中
 
  B.  进行资源平衡的前提是不能改变原关键路线
 
  C.  使用按资源分配倒排进度法不一定能制定出最优项目进度表
 
  D.  资源平衡的结果通常是使项目的预计持续时间比项目初步进度表短
 
 
 

  相关试题:控制进度          更多>  
 
  第37题    2011年上半年  
   57%
下列做法无助于缩短活动工期的是 (37) 。
  第44题    2023年上半年  
   79%
()不能作为控制进度过程的输入。
  第46题    2022年上半年  
   76%
控制项目进度时常用的技术不包括()。
   知识点讲解    
   · 资源平衡
 
       资源平衡
        资源平衡通过调整活动的历时或次序,使得项目对资源的需求尽可能表现平缓并不超过资源限量。一般地,资源平衡通过调整非关键路径上的活动实现,这样能够满足交工日期。有时资源平衡也可能改变关键路径,使项目工期延长。
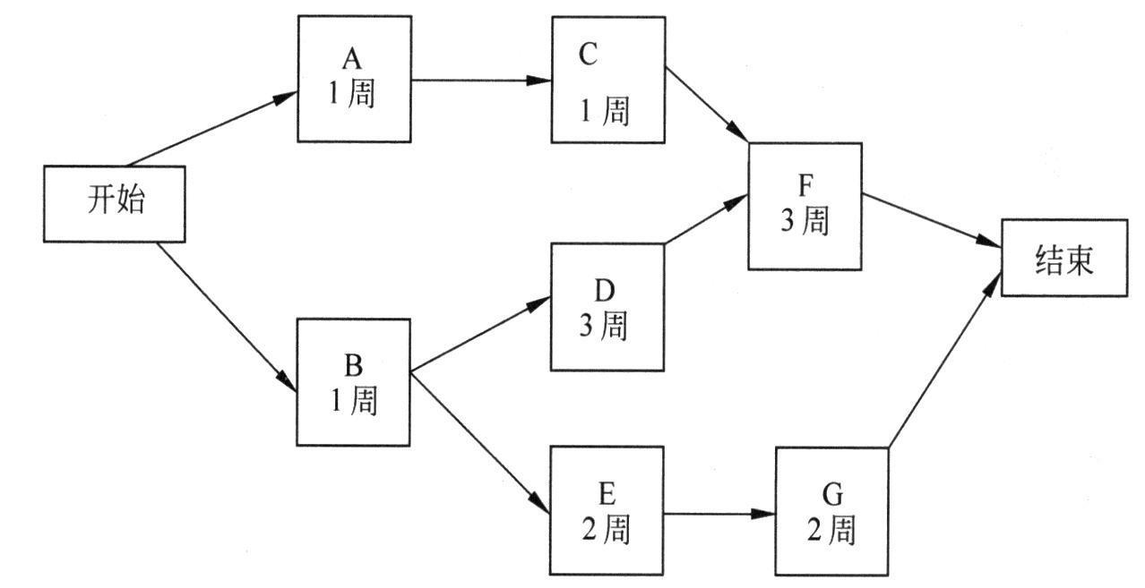
        例:某项目包括A、B、C、D、E、F、G共7个活动,各个活动的紧前活动、所需时间、所需人数如下表所示,计算该项目的工期,按此工期,整个项目至少需要多少人?
        
        某项目活动信息表
        根据上表可画出PDM网络图如下图所示。
        
        PDM网络图
        从图中可以看出路径B—D—F历时最长,为关键路径,该项目工期为B、D、F工期之和,即7周。
        工期不变,即关键路径上活动B、D、F的安排不能改变,则需要按照逻辑关系调整A、C、E、G的时间安排来做资源平衡,使项目需要人数最少。下面用甘特图来表示调整后活动的时间安排,如下图所示。
        
        甘特图
        甘特图中活动B、D、F是关键路径上的活动,其时间安排是确定的,B为第1周,D为2、3、4周,F为5、6、7周,横坐标表示以周为单位的时间,表示活动的横道下面标出了各活动所需要的人数。按照逻辑关系,A、C需要在F之前完成,即A、C可安排在0~4周之间,图中虚线表示;E、G需要安排在B之后,且结束时间不能超过7周,所以E、G可安排在1~7周之间,图中用虚线表示。
        为了使项目所需人数最少,在安排活动A、C、E、G的时候需要考虑平衡每周所需人数,使每周所需人数尽可能少,经过不同的尝试,得到上图的安排,每周所需的人数为该周各活动所需人数之和。图的下面标出了每周所需人数,可以看出,经过平衡以后,第2周所需人数最多,为10人,其他周所需人数基本平衡。
        因此,该项目至少需要10人。
   题号导航      2010年上半年 系统集成项目管理工程师 上午试卷 综合知识   本试卷我的完整做题情况  
1 /
2 /
3 /
4 /
5 /
6 /
7 /
8 /
9 /
10 /
11 /
12 /
13 /
14 /
15 /
 
16 /
17 /
18 /
19 /
20 /
21 /
22 /
23 /
24 /
25 /
26 /
27 /
28 /
29 /
30 /
 
31 /
32 /
33 /
34 /
35 /
36 /
37 /
38 /
39 /
40 /
41 /
42 /
43 /
44 /
45 /
 
46 /
47 /
48 /
49 /
50 /
51 /
52 /
53 /
54 /
55 /
56 /
57 /
58 /
59 /
60 /
 
61 /
62 /
63 /
64 /
65 /
66 /
67 /
68 /
69 /
70 /
71 /
72 /
73 /
74 /
75 /
 
第43题    在手机中做本题