免费智能真题库 > 历年试卷 > 软件设计师 > 2019年下半年 软件设计师 上午试卷 综合知识
  第17题      
  知识点:   活动图   进度管理   关键路径
  关键词:   关键路径   活动图   里程碑   软件项目        章/节:   软件工程基础知识       

 
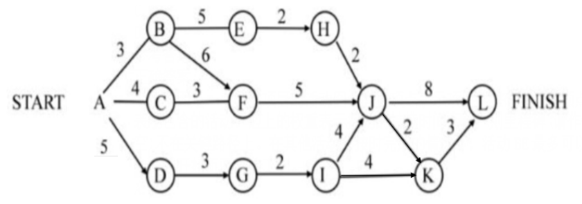
下图是一个软件项目的活动图,其中顶点表示项目里程碑,连接顶点的边表示包含的活动。边上的权重表示活动的持续时间(天),则里程碑(17)不在关键路径上。在其他活动都按时完成的情况下,活动BE最多可以晚(18)天开始而不影响工期。
 
 
  A.  B
 
  B.  C
 
  C.  D
 
  D.  J
 
 
 

  相关试题:软件工程基础知识          更多>  
 
  第67题    2024年下半年  
   0%
某开发小组欲为一公司开发一个产品控制软件,监控产品的生产和销售过程,从购买各种材料开始,到产品的加工和销售进行全程跟踪。..
  第22题    2021年上半年  
   53%
模块A通过非正常入口转入模块B内部,则这两个模块之间是( )耦合。
  第19题    2018年下半年  
   19%
以下叙述中,( )不是一个风险。
   知识点讲解    
   · 活动图    · 进度管理    · 关键路径
 
       活动图
        活动图(Activity Diagram)是一种特殊的状态图,它展现了在系统内从一个活动到另一个活动的流程。
        活动图专注于系统的动态视图,它对于系统的功能建模特别重要,并强调对象间的控制流程。活动图一般包括活动状态和动作状态、转换和对象。当对一个系统的动态方面进行建模时,通常有两种使用活动图的方式:对工作流建模;对操作建模。
 
       进度管理
        软件开发项目的进度安排有两种方式:系统最终交付日期已经确定,软件开发部门必须在规定期限内完成;系统最终交付日期只确定了大致的年限,最后交付日期由软件开发部门确定。
        进度安排的常用图形描述方法有甘特(Gantt)图和计划评审技术(PERT)图。
        1)Gantt图
        Gantt图中横坐标表示时间,纵坐标表示任务,图中的水平线段则表示对一个任务的进度安排,线段的起点和终点对应在横坐标上的时间分别表示该任务的开始时间和结束时间,线段的长度表示完成该任务所需的时间。
        Gantt图能清晰地描述每个任务从何时开始,到何时结束以及各个任务之间的并行性;但是它不能清晰地反映出各任务之间的依赖关系,难以确定整个项目的关键所在,也不能反映计划中有潜力的部分。
        2)PERT图
        PERT图是一个有向图,箭头表示任务,它可以表示完成该任务所需的时间;箭头指向节点表示流入节点的任务的结束,并开始流出节点的任务,这里把节点当成事件。只有当流入该节点的所有任务都结束时,节点所表示的事件才出现,流出节点的任务才可以开始。事件本身不消耗时间和资源,它仅表示某个时间点。一个事件有一个事件号和出现该事件的最早时刻和最迟时刻。每个任务还有一个松弛时间,表示在不影响整个工期的前提下,完成该任务有多少机动余地。
        PERT图不仅给出了每个任务的开始时间、结束时间和完成该任务所需的时间,还给出了任务之间的关系,即哪些任务完成后才能开始另外一些任务,以及如期完成整个工程的关键路径。松弛时间则反映了完成某些任务是可以推迟其开始时间或延长其所需的完成时间。但是PERT图不能反映任务之间的并行关系。
 
       关键路径
        在AOV网络中,如果边上的权表示完成该活动所需的时间,则称这样的AOV为AOE网络。例如,下图表示一个具有10个活动的某个工程的AOE网络。图中有7个结点,分别表示事件V1~V7,其中V1表示工程开始状态,V7表示工程结束状态,边上的权表示完成该活动所需的时间。
        
        AOE网络的例子
        因AOE网络中的某些活动可以并行地进行,所以完成工程的最少时间是从开始结点到结束结点的最长路径长度,称从开始结点到结束结点的最长路径为关健路径(临界路径),关键路径上的活动为关键活动。为了找出给定的AOE网络的关键活动,从而找出关键路径,先定义几个重要的量:
        Vej)、V1j):结点j事件最早、最迟发生时间。
        eili):活动i最早、最迟开始时间。
        从源点V1到某结点Vj的最长路径长度,称为事件Vj的最早发生时间,记作Vej)。Vej)也是以Vj为起点的出边<VjVk>所表示的活动ai的最早开始时间ei)。
        在不推迟整个工程完成的前提下,一个事件Vj允许的最迟发生时间,记作V1j)。显然,li)=V1j)-(ai所需时间),其中jai活动的终点。满足条件li)=ei)的活动为关键活动。
        求结点VjVej)和V1j)可按以下两步来做:
               由源点开始向汇点递推
               
               其中,E1是网络中以Vj为终点的入边集合。
               由汇点开始向源点递推
               
               其中,E2是网络中以Vj为起点的出边集合。
               要求一个AOE的关键路径,一般需要根据以上变量列出一张表格,逐个检查。例如,求上图所示的AOE的关键路径的表格如下表所示。
               
               求关键路径的过程
               
               因此,上图的关键活动为a1a2a4a8a9,其对应的关键路径有两条,分别为(V1V2V5V7)和(V1V4V5V7),长度都是10。
               一般来说,不在关键路径上的活动时间的缩短,不能缩短整个工期。而不在关键路径上的活动时间的延长,可能导致关键路径的变化,因此可能影响整个工期。
               在实际解答试题时,一般所给出的活动数并不多,我们可以采取观察法求得其关键路径,即路径最长的那条路径就是关键路径。
   题号导航      2019年下半年 软件设计师 上午试卷 综合知识   本试卷我的完整做题情况  
1 /
2 /
3 /
4 /
5 /
6 /
7 /
8 /
9 /
10 /
11 /
12 /
13 /
14 /
15 /
 
16 /
17 /
18 /
19 /
20 /
21 /
22 /
23 /
24 /
25 /
26 /
27 /
28 /
29 /
30 /
 
31 /
32 /
33 /
34 /
35 /
36 /
37 /
38 /
39 /
40 /
41 /
42 /
43 /
44 /
45 /
 
46 /
47 /
48 /
49 /
50 /
51 /
52 /
53 /
54 /
55 /
56 /
57 /
58 /
59 /
60 /
 
61 /
62 /
63 /
64 /
65 /
66 /
67 /
68 /
69 /
70 /
71 /
72 /
73 /
74 /
75 /
 
第17题    在手机中做本题